基于java技术的田径俱乐部网站的设计与实现
摘 要
本系统是基于Java技术开发的田径俱乐部管理网站,旨在为学员、教练和管理员提供便捷的管理与互动平台。系统分为三个主要角色:学员、管理员和教练。学员可以浏览公告、商品信息、查看课程安排、报名课程、查看个人信息和管理购物车等;教练可以管理公告、商品、课程安排以及签到记录等;管理员则负责学员、教练、公告、商品、课程和订单的全面管理。系统的前端采用Vue.js或React,后端则基于Spring Boot进行开发,前后端通过RESTful API进行交互,确保数据的高效传输和用户操作的便捷性。
学员功能包括首页展示、公告信息查看、商品浏览与购买、课程安排查看与报名、个人中心和购物车管理等。管理员端则包括学员管理、教练管理、公告信息管理、商品管理、课程安排管理、课程签到管理、订单管理和统计中心等功能模块。教练则可以管理与自己相关的课程安排、商品、公告和签到记录。所有角色的权限通过Spring Security进行控制,确保不同角色的用户只能访问和操作符合其权限范围的内容,保障系统的安全性和数据一致性。
系统采用Spring Boot作为后端框架,使用MySQL数据库进行数据存储,Spring Data JPA或MyBatis进行ORM操作,确保数据的高效存取。前端使用Vue.js或React开发,采用响应式设计,确保在不同设备上的用户体验。所有功能模块通过RESTful API进行前后端数据交互,支持数据的动态更新和实时响应。系统还实现了邮件通知、公告推送、订单管理等功能,提供完整的学员、教练和管理员管理解决方案,提升了俱乐部的管理效率与服务水平。
1 绪 论
1.1背景与意义
随着社会对健身与体育的关注不断增加,田径俱乐部作为健身和竞技的主要场所之一,承担着提升个人健康水平和竞技能力的重要任务。然而,传统的田径俱乐部管理方式依赖于手工操作,存在信息不对称、数据管理混乱、学员体验不佳等问题。因此,构建一个高效、智能的管理平台,不仅可以提升俱乐部的管理效率,还能为学员、教练以及管理员提供更好的服务和体验。通过引入信息化管理手段,能够实现学员信息的集中管理、课程安排的自动化、商品交易的便捷化、订单和签到的实时监控,从而大幅度优化管理流程,减少人工干预,提升俱乐部的运营效率。
田径俱乐部网站的建设,意义在于为学员提供了一个便捷的在线平台,使其能够随时了解最新的俱乐部动态、公告、商品信息以及课程安排,方便报名和参与各类活动。同时,学员可以通过个人中心管理个人资料、查看历史记录,并且通过购物车管理和商品购买功能,轻松选购运动相关商品。而对于教练来说,系统提供了课程安排、签到管理以及公告信息发布的功能,方便教练对学员的管理和课程的调度。系统中的订单管理和统计中心模块,也能帮助管理员实时了解学员的购买与参与情况,为决策提供数据支持。
借助现代信息技术的优势,系统不仅在功能上实现了学员、教练和管理员的高效协同,还确保了数据的准确性与安全性。采用Spring Boot作为后端框架,结合Spring Security进行权限控制,确保每个角色只能访问与操作其权限范围内的内容,极大地提升了系统的安全性。同时,通过RESTful API的设计,实现了前后端的高效分离,使得系统更易于扩展和维护。因此,田径俱乐部管理系统不仅具备较高的实用性,还能够有效推动俱乐部管理向数字化、智能化方向发展。
1.2国内外研究现状
近年来,随着体育产业的快速发展,许多国内外学者和技术人员开始关注体育俱乐部管理系统的设计与实现。在国外,尤其是欧美国家,体育行业信息化管理的研究已较为成熟,许多高校和企业通过引入信息技术开发出了一系列适用于体育俱乐部和健身场所的管理平台。这些系统不仅支持学员的报名、课程管理、订单处理,还实现了数据的智能分析与个性化推荐。例如,美国的一些体育俱乐部已经开始使用基于大数据分析的会员管理系统,通过分析会员的消费习惯和运动偏好,为其提供个性化的课程安排和商品推荐。国外系统的研究多集中在数据挖掘、人工智能与物联网技术的结合,旨在通过技术手段提升管理效率和用户体验。
在国内,虽然体育俱乐部管理的数字化进程起步较晚,但随着体育产业的兴起,尤其是近年来全民健身的推广,越来越多的俱乐部开始注重信息化建设。国内的研究主要集中在传统管理模式向现代信息化管理模式的转变,尤其是在运动健身俱乐部的学员管理、课程安排和商品交易等方面。许多学者提出了基于互联网的管理系统设计方案,利用云计算、大数据和移动互联网技术,优化体育俱乐部的资源配置和服务质量。同时,国内一些知名的健身俱乐部已经逐步引入智能化系统,不仅支持学员在线预约课程、购买商品,还能通过系统分析优化课程安排,提高教练与学员的匹配度。
尽管国内外在体育俱乐部管理系统的研究和应用方面已取得了一定的成果,但仍存在一些挑战。例如,如何在保证系统安全性的同时提供灵活的功能设计、如何通过数据分析提升个性化服务、以及如何提升系统的可扩展性和适应性等问题,仍是当前研究的重点方向。此外,如何将新兴技术(如人工智能、物联网)与传统体育管理模式相结合,提升整体管理水平,也是未来发展的重要趋势。
尽管国内外在体育俱乐部管理系统的设计与实施上已有诸多成功案例,但在智能化、个性化服务以及系统的综合性和稳定性方面,仍有很大的发展空间。本研究通过结合Java技术开发一个高效、智能的田径俱乐部管理系统,力求在当前研究的基础上,进一步完善学员、教练和管理员三方角色的功能,推动国内田径俱乐部管理信息化进程。
1.3研究目的
本研究的主要目的是设计并实现一个基于Java技术的田径俱乐部管理系统,以解决当前田径俱乐部在管理过程中存在的信息不对称、管理效率低下以及学员体验不佳等问题。通过该系统的设计与实现,旨在为学员、教练和管理员提供一个高效、便捷、安全的管理平台,优化课程安排、商品交易和订单管理等功能,提升俱乐部的运营效率和服务质量。同时,通过系统化的数据管理和统计分析,帮助俱乐部进行决策支持,实现智能化管理,推动田径俱乐部向信息化、数字化方向发展。
1.4研究内容
1.系统需求分析:
本田径俱乐部管理系统的需求分析包括功能需求和非功能需求两个方面。功能需求方面,学员可以通过系统浏览公告、商品信息、查看课程安排,进行在线报名和购物,管理个人信息及购物车等。教练则能够管理与自己相关的公告、商品、课程安排、签到记录等,方便进行学员管理和课程调整。管理员则负责学员、教练、公告、商品、课程、订单等的综合管理,确保系统的顺畅运行。系统还应具备订单管理、数据统计、角色权限控制等功能,以保障不同角色间的操作权限和数据安全。
2.技术选型与框架设计:
本系统采用Spring Boot框架作为后端开发基础,结合MySQL数据库进行数据存储。Spring Boot具备高效的开发效率和良好的扩展性,MySQL作为开源关系型数据库,能有效支持系统的高并发请求。前端采用Vue.js或React框架,提供灵活、响应式的用户界面,以增强系统的用户体验和界面互动性。技术选型以系统性能、开发效率以及未来可扩展性为基础,确保系统的高效性和稳定性。
3.可行性分析:
可行性分析从技术、经济和运营三个方面进行了详细评估。技术可行性方面,采用的技术栈(Spring Boot、Vue.js、MySQL)是当前行业内广泛应用的成熟技术,具备较高的技术稳定性。经济可行性方面,系统的开发和运维成本合理,符合中小型俱乐部的预算。运营可行性方面,系统功能的设计紧密贴合田径俱乐部的管理需求,具备较好的市场应用前景。
4.功能需求分析:
本田径俱乐部管理系统需要满足不同用户角色的功能需求。对于学员来说,系统应提供公告信息查看、商品浏览与购买、课程安排查看与报名、个人信息管理、购物车功能以及订单管理等。学员可以随时查看最新的活动与课程信息,报名参与课程,购买相关商品,并管理个人资料与订单。
对于教练,系统应提供公告信息发布、商品信息管理、课程安排管理和课程签到等功能。教练能够发布与自己相关的公告,管理自己的课程安排,并通过系统进行学员签到,确保课程的顺利进行。
管理员功能则包括学员管理、教练管理、公告信息管理、商品管理、课程安排管理、订单管理等。管理员需要对系统中的所有学员、教练、公告、商品以及课程进行有效的管理与维护,确保系统的高效运转。同时,管理员还需要处理订单信息、生成数据报告和统计分析,支持决策和运营优化。
整个系统应确保不同角色的权限和操作分离,保障数据安全,并提供简洁流畅的用户体验。
5.非功能需求分析:
非功能需求方面,系统应具备高安全性、稳定性、易用性和可扩展性。安全性要求系统能够有效防止非法访问,确保用户数据的安全;稳定性要求系统在高并发情况下能够保持稳定运行;易用性要求系统界面友好、操作便捷,方便不同背景的用户使用;可扩展性要求系统能够随着俱乐部的发展,灵活地进行功能扩展和优化,适应未来需求的变化。
6.系统实现目标:
系统实现目标是设计并实现一个高效、便捷的田径俱乐部管理平台,通过系统化的功能模块提升管理效率,简化运营流程,改善用户体验,推动俱乐部的数字化转型,并为其他体育俱乐部提供借鉴和参考。
2 技术综述
2.1Spring Boot框架
SpringBoot是基于Spring框架的开发工具,通过自动配置和简化的设置,使开发者能够快速构建应用程序。与传统的Spring框架相比,SpringBoot减少了繁琐的XML配置,提供了开箱即用的功能,帮助开发者专注于业务逻辑而非底层配置。
SpringBoot采用分层架构,主要包括控制层、服务层和数据访问层,支持RESTful风格的API开发。其内嵌的Web服务器使得应用程序能够快速启动和部署,同时具有良好的扩展性和高可维护性。在酒店管理系统中,SpringBoot为实现高效的数据处理、系统安全和快速响应提供了稳定的平台支持。通过与数据库的紧密集成,SpringBoot能够处理系统中的大量数据交互,提升系统的性能和可扩展性。
2.2MySQL数据库
MySQL是一种高效、开源的关系型数据库管理系统,广泛应用于Web和企业级系统中。它通过使用标准的SQL语言进行数据操作,提供了强大的数据存储、检索和事务处理能力。MySQL具有高性能、高可靠性和高扩展性,支持事务、存储过程、触发器等高级功能,能够确保数据的完整性和一致性。
MySQL的表格化数据存储结构使得它能够高效地处理各种类型的数据,包括复杂的查询和大规模数据的存储。在酒店管理系统中,MySQL可以用来存储客户信息、房间状态、预订记录、账单数据等,为系统提供稳定的数据支持,并通过快速的查询能力满足高并发请求的需求。
2.3Vue.js
Vue.js是一款轻量级、渐进式的JavaScript框架,专注于构建用户界面。它采用数据驱动的方式,提供响应式的数据绑定和组件化的开发模式,使得开发者能够高效地构建复杂的前端应用。Vue.js的核心库只关注视图层,易于上手并且灵活,可以与其他库或现有项目进行无缝集成。它支持单文件组件的开发,使得HTML、CSS和JavaScript能够在同一个文件中组织,极大地提高了开发效率。由于其简洁的API和良好的文档支持,Vue.js成为了前端开发中备受欢迎的框架之一。
2.4Java
Java是一种广泛应用的面向对象编程语言,以其平台无关性、高安全性和强大的类库支持在软件开发中占据重要地位。与C语言和C++相比,Java简化了内存管理,通过自动垃圾回收机制减少了内存泄漏的风险,且其异常处理机制使得开发者能够高效捕捉和处理错误。Java的跨平台特性使得开发者能够编写一次代码并在不同操作系统上运行,从而降低了开发和维护的成本。
Java不仅广泛应用于Web开发、企业级应用和桌面软件,还被用于构建高性能、可扩展的系统。其多线程编程能力使得开发者能够更好地利用现代多核处理器,提升系统的处理效率和响应能力。在酒店管理系统中,Java通过提供稳定可靠的技术平台,支持系统的高并发处理和大规模数据处理。
3 需求分析
3.1系统整体框架分析
系统整体框架设计采用前后端分离的架构模式,后端使用Spring Boot框架开发,前端采用Vue.js进行构建。Spring Boot作为后端核心框架,提供了高效的开发环境,简化了配置和部署流程,并且具备强大的扩展性,能够支持日后功能的不断增加。前端部分使用Vue.js,通过组件化开发和响应式设计,能够为用户提供流畅的交互体验。前后端通过RESTful API进行数据交互,确保前后端的解耦和系统的可维护性。数据库采用MySQL进行数据存储,确保系统的数据安全性和高效性。整体框架旨在提升开发效率、系统稳定性和用户体验,同时具有良好的可扩展性和灵活性,能够支持系统在未来的功能扩展和维护。
3.2可行性分析
技术可行性
技术可行性方面,基于Spring Boot和Vue.js的开发框架是目前业界广泛应用且成熟的技术,具有良好的性能和稳定性。Spring Boot提供了高效的开发环境,支持微服务架构,并且能够方便地与MySQL数据库进行集成,满足系统的功能需求和扩展性。前端Vue.js采用组件化开发,提升了开发效率并保证了良好的用户体验。所有技术栈均是开源且有广泛社区支持,确保了开发过程中的技术可行性。
经济可行性
经济可行性方面,采用开源技术可以大幅度减少开发和运营成本。系统的开发不会涉及昂贵的许可证费用,而数据库和框架的使用也不会对预算造成过大压力。同时,系统的设计注重可扩展性,能够随着俱乐部的业务发展逐步加入新功能,避免了频繁的系统重构和高昂的维护成本。总体来看,项目具备较好的经济效益,能够在合理的预算范围内顺利完成。
社会可行性
社会可行性方面,随着人们对健康和体育活动的重视,田径俱乐部的需求逐渐增加,尤其是在青少年和成年人群体中,推动了体育产业的发展。该系统的实现能够提升俱乐部管理效率,改善会员的参与体验,促进体育文化的传播和普及,有助于推动社会健康生活方式的倡导。系统的社会价值和应用前景广泛,符合社会发展趋势。
操作可行性
操作可行性方面,系统采用现代化的前后端分离架构,前端界面简洁直观,操作流畅,适合不同层次的用户使用。管理员端功能齐全,操作便捷,能够有效管理俱乐部的各项事务。系统还提供了详细的帮助文档和用户指南,确保管理员和会员能够快速上手和使用。系统在操作上具备较高的可行性。
时间可行性
时间可行性方面,系统的开发周期合理,采用Spring Boot和Vue.js等成熟框架,开发团队能够在规定时间内完成系统设计、开发和测试工作。考虑到该系统的功能范围适中,技术栈的选型成熟且开发效率高,预计在3-6个月内可以完成系统的主要功能开发与测试,确保项目按时交付。
3.3功能需求分析
田径俱乐部管理系统的功能需求涵盖了学员、教练和管理员三个角色的不同需求。对于学员而言,系统应提供全面的服务,包括查看公告信息、浏览商品与课程安排、在线报名课程、管理个人信息和购物车、以及查看订单状态。学员可以通过系统了解最新的活动与商品信息,轻松进行课程选择和购买商品,提升其使用体验和参与度。
教练角色的功能主要集中在课程与学员管理上。教练应能够发布公告信息,管理与自己相关的商品,安排课程,并对学员的签到情况进行记录和管理。教练可以实时掌握学员的参与情况,调整课程内容或时间安排,以更好地满足学员需求和提高教学效果。
管理员则负责系统的整体管理与监督。管理员需要具备学员管理、教练管理、公告信息发布、商品管理、课程安排管理等功能,确保各项服务顺利进行。管理员还需要处理订单管理、数据统计与报表生成,以优化俱乐部运营,提供决策支持。此外,管理员应有权限进行角色权限控制,保障系统安全和数据的完整性。
总的来说,系统的功能需求必须支持各个角色的操作权限分配,确保数据安全与操作顺畅,同时优化用户体验,提升俱乐部管理效率。
3.4非功能需求分析
非功能需求分析是基于java技术的田径俱乐部网站的设计与实现的重要组成部分,关注系统的性能、质量和操作要求,确保系统在高效、可靠的基础上为用户提供优质服务。
1.性能需求:
性能需求要求系统能够高效处理大量并发请求,确保用户在参与活动、查看信息和进行互动时能够获得流畅的体验。系统需要支持高并发的操作,并具备快速响应的能力,尤其是在用户量较大或活动报名集中时,确保服务的稳定性和流畅性。
2.安全性需求:
安全性需求方面,系统必须保证用户信息、活动数据等重要数据的安全。需要实施严格的权限管理,确保不同角色的用户只能访问和操作授权范围内的数据。同时,应具备防止非法访问、数据泄露和恶意攻击的机制,如数据加密、登录认证等,确保平台数据的完整性和保密性。
3.可靠性:
可靠性方面,系统必须具有较高的容错性,能够在出现异常或故障时自动恢复,并确保服务的持续运行。系统应具备自动备份、日志审计和错误检测功能,帮助及时发现并解决问题,确保数据不丢失,服务不中断。
4.可用性:
可用性方面,系统应具备良好的用户体验,界面简洁、易于操作,保证用户能够轻松完成活动报名、信息查询等操作。系统的响应时间应尽可能短,避免长时间的等待,同时需要确保在高负载情况下仍能维持可用状态,不影响用户的正常使用。
5.兼容性:
兼容性要求系统能够在多种平台和设备上正常运行,包括不同版本的浏览器和主流操作系统。前端界面应能够适配不同屏幕尺寸,提供一致的体验,确保用户在移动设备和桌面设备上都能顺畅使用。
4 系统设计
4.1系统实现目标
本系统的主要实现目标是提供一个高效、便捷的田径俱乐部管理平台,帮助学员、教练和管理员在日常操作中提高效率和体验。系统通过简洁直观的界面设计,确保学员能够轻松浏览公告、商品信息、查看课程安排、在线报名和管理个人资料,同时提供购物车和订单管理功能,提升学员的参与感和互动性。
对于教练,系统实现了课程安排、学员签到和公告发布等功能,使得教练可以更加高效地管理自己的教学活动,实时了解学员的课程参与情况,从而优化教学安排和提升教学效果。教练能够通过系统的反馈与管理工具,快速响应学员需求,确保课程的顺利进行。
对于管理员,系统提供了全面的管理工具,包括学员与教练管理、课程安排、商品管理、订单处理和数据统计等,帮助管理员有效地进行资源调度与优化。管理员可以通过系统监控各类操作,生成报表和统计数据,为俱乐部的运营决策提供依据。通过角色权限控制,确保各个用户的操作在其权限范围内进行,保障系统的安全性和数据的可靠性。
系统的实现目标是通过集成各类功能模块,提升田径俱乐部的管理效率和服务水平,为学员提供更好的体验,并为教练和管理员提供高效的管理工具。
4.2系统体系结构
在系统功能分析的基础上,做系统功能模块图如图4-1所示。

图4-1 系统功能模块图
4.3实体属性图

图4-2 学员实体属性图

图4-3 教练实体属性图

图4-4 课程实体属性图

图4-5 商品实体属性图

图4-6 订单实体属性图

图4-7 公告实体属性图
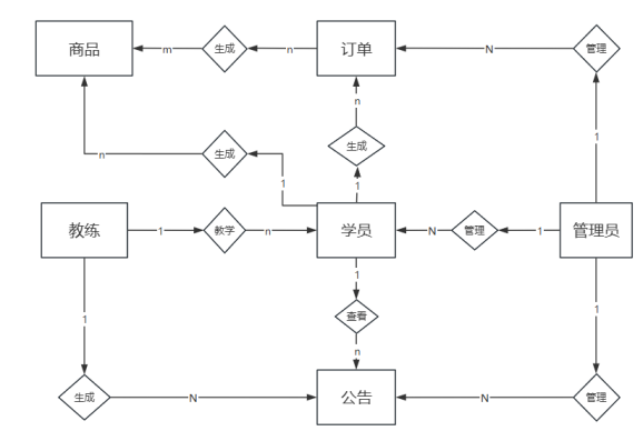
4.4系统E-R图

图4-8 系统E-R图
5 系统实现
5.1.1学员首页
田径俱乐部网站提供了简洁明了的用户界面,旨在为学员和管理者提供便捷的服务。网站的首页包含了公告信息、商品信息、课程安排、个人中心、后台管理和购物车等功能模块,方便用户快速浏览和操作。学员可以在商品信息页面查看俱乐部出售的各类商品,包括运动服装、器材等,每个商品展示了商品ID、名称、类型以及价格。页面支持商品搜索功能,学员可以根据需要快速找到相关商品。此外,网站还展示了多个商品的例子,如“BARCA”和“UNITE”等,价格信息也清晰标示,帮助学员做出购物决策。在购物车模块,学员可以将商品加入购物车,并进行订单管理和结算。整个系统的设计确保了用户能够方便地进行商品浏览、购买操作和个人信息管理,从而提升了俱乐部服务的效率与体验。如图5-1所示。

图5-1 学员首页界面
5.1.2公告信息
用户可以在公告信息页面查看最新发布的公告,了解俱乐部的动态和活动。页面上列出了多个公告标题,用户可以通过搜索功能快速找到感兴趣的公告。公告标题如“标题1”、“标题2”等显示在页面上,学员可以查看详情或翻阅历史公告。分页功能(上一页、下一页)使得用户能够便捷地浏览所有公告。系统的设计简洁明了,确保了学员和管理员能够高效访问和管理信息,提升了整体使用体验。如图5-2所示。

图5-2 公告信息界面
5.1.3商品信息

商品展示了名称、类型和价格(99.9 RMB)。页面还提供了搜索功能,方便用户快速查找商品。商品如“商品名称1”和“商品名称2”也清晰列出,用户可以根据需求进行选择。页面简洁易用,提升了购物体验。如图5-3所示。
图5-3 商品信息界面
5.1.4课程安排
在课程安排页面,用户可以查看和搜索课程信息,包括学员姓名、教练姓名和课程名称。页面提供了分页功能(上一页、下一页),便于浏览不同的课程安排。搜索功能帮助用户快速找到特定的课程,提升了使用便捷性。如图5-4所示。

图5-4 课程安排界面
5.1.5个人中心
在个人中心页面,用户可以查看和管理个人信息,包括学员账号、姓名、性别、手机号和出生日期等。页面还提供了“我的订单”和“我的地址”功能,方便用户查看订单历史和管理收货地址。此外,用户可以修改密码,并上传个人头像,进一步完善个人资料。如图5-5所示。

图5-5 个人中心界面
5.1.6购物车
在购物车页面,用户可以查看已添加的商品,包括商品名称、单价、数量和总价。每个商品旁边有“删除”按钮,方便用户移除不需要的商品。页面底部显示购物车的总价,并提供“点击购买”按钮,用户可以直接进入结算流程。如图5.6所示。

图5-6 购物车界面
5.2.1公告信息管理
公告信息管理页面列出了所有公告的标题、封面、视频和发布时间,教练可以方便地进行预览和管理。每个公告旁边都有“预览”和“详情”按钮,教练可以查看公告的详细内容。页面设计简洁,支持公告信息的查看与操作,确保教练能高效发布和管理俱乐部的通知和活动。如图5-7所示。

图5-7 公告信息管理
5.2.2商品信息管理
在教练功能的商品信息管理页面,教练可以查看和管理各类商品,包括商品ID、名称、类型、图片和价格等信息。每个商品条目都提供了“详情”按钮,教练可以查看商品的详细信息。页面展示了不同的商品,如“商品名称1”、“商品名称2”等,每个商品都清晰标注了类型(如装备)和价格(99.9 RMB),帮助教练方便地管理商品信息。如图5-8所示。

图5-8 商品信息管理
5.2.3课程安排管理
在教练功能的课程安排管理页面,教练可以查看学员的课程安排,包括学员姓名、教练姓名、课程编号、课程名称、上课时间和上课地点等信息。每个课程条目提供了“详情”和“考勤签到”功能,教练可以查看课程详情并进行考勤管理。页面简洁清晰,帮助教练高效管理课程安排和学员签到。如图5-9所示。
图5-9 课程安排管理

5.2.4课程签到管理

在教练功能的课程签到管理页面,教练可以查看学员的签到状态,包括学员姓名、课程编号、课程名称、上课地点和教练姓名等信息。每个学员的签到状态显示为“正常”或其他状态,教练可以点击“详情”查看具体信息,或进行修改操作。页面还提供分页功能,方便教练浏览更多课程签到记录。如图5-10所示。
图5-10 课程签到管理
5.3管理员端
5.3.1学员管理
在管理员功能的学员管理页面,管理员可以查看学员的基本信息,包括学员账号、姓名、性别、手机号、出生年月、家庭住址和头像等。每个学员的资料旁边有“修改”、“详情”和“删除”操作,管理员可以进行相应的管理操作。页面简洁明了,支持学员信息的快速查看和更新,方便管理员有效管理学员资料。如图5-11所示。

图5-11 学员管理
5.3.2教练管理
在管理员功能的教练管理页面,管理员可以查看教练的基本信息,包括教练工号、姓名、年龄、性别、身份证号码、联系电话等。每个教练的资料旁边有“详情”、“修改”和“删除”操作,管理员可以管理教练信息。页面提供了简洁的操作界面,便于管理员有效地进行教练资料的查看和更新。如图5-12所示。

图5-12 教练管理
5.3.3统计中心管理
管理员可以查看不同类型的统计信息,包括商品统计和用户统计。每项统计内容旁边显示统计数量,并提供“详情”、“修改”和“删除”操作。管理员可以通过这些操作查看详细信息、修改统计数据或删除不需要的数据。界面支持分页显示,方便管理员管理大量的统计数据。如图5-13所示。

图5-13 统计中心管理
5.3.4课程信息管理
管理员可以在统计中心管理中查看不同的统计类型,如商品统计和用户统计。每项统计显示统计数量,且提供操作选项,包括查看详情、修改和删除。管理员可以轻松管理数据,支持分页浏览,便于处理多条统计信息。如图5-14所示。

图5-14 课程信息管理
5.3.5订单管理
管理员可以查看和管理订单信息,包括订单编号、商品名称、商品图片、购买数量、价格、折扣、支付类型、订单状态和收货人信息。还可以对订单进行修改、发货等操作,支持查看不同状态的订单,如已支付、未支付、已发货等,方便订单管理和跟踪。如图5-15所示。

图5-15 订单管理
6 系统测试
系统测试概述是对整个系统进行全面的检查和验证,目的是确保系统在不同条件下能够稳定运行并符合需求。在测试过程中,首先会对系统的各个功能模块进行详细测试,确保每个功能的实现都符合设计要求,比如用户管理、活动报名、投诉处理等。同时,系统测试也涵盖非功能性需求的验证,特别是在高负载、高并发等情况下,验证系统的性能是否达到预期,响应速度是否满足用户的使用需求。除此之外,安全性也是测试的重要内容,系统需要确保用户数据的隐私性和安全性,防止任何形式的攻击或数据泄露。通过这些全面的测试,系统能够在发布前发现潜在的问题,减少上线后出现故障的风险,最终确保用户能够获得稳定、流畅、安全的使用体验。
表 6-1 功能测试表
| 功能模块 | 测试用例ID | 预期结果 | 测试结果 |
| 首页 | TC001 | 测试学员首页显示功能 | 学员能够成功访问首页并查看公告、商品信息等内容 |
| 公告信息 | TC002 | 测试学员查看公告信息功能 | 学员能够查看所有公告信息并点击查看详情 |
| 商品信息 | TC003 | 测试学员浏览商品信息功能 | 学员能够浏览商品列表、查看商品详情,并将商品加入购物车 |
| 课程安排 | TC004 | 测试学员查看课程安排功能 | 学员能够查看课程安排列表,并查看课程详细信息 |
| 个人中心 | TC005 | 测试学员个人中心功能 | 学员能够查看和编辑个人信息,保存信息正确 |
| 购物车 | TC006 | 测试学员购物车功能 | 学员能够成功将商品添加到购物车,并进行结算操作 |
| 学员管理 | TC007 | 测试管理员管理学员功能 | 管理员能够成功增、删、改学员账号,并查看学员信息 |
| 教练管理 | TC008 | 测试管理员管理教练功能 | 管理员能够成功增、删、改教练信息,并查看教练详情 |
| 公告信息管理 | TC009 | 测试管理员管理公告信息功能 | 管理员能够成功发布、修改、删除公告信息 |
| 商品信息管理 | TC010 | 测试管理员管理商品信息功能 | 管理员能够成功添加、修改、删除商品信息并查看商品详情 |
| 课程安排管理 | TC011 | 测试管理员管理课程安排功能 | 管理员能够成功创建、修改、删除课程信息,并查看课程安排 |
| 课程签到管理 | TC012 | 测试管理员管理课程签到功能 | 管理员能够查看课程签到情况,管理签到记录 |
| 统计中心管理 | TC013 | 测试管理员查看统计数据功能 | 管理员能够查看学员、教练、商品等相关统计数据 |
| 课程信息管理 | TC014 | 测试管理员管理课程信息功能 | 管理员能够查看并管理课程信息,调整课程内容 |
| 订单管理 | TC015 | 测试管理员管理订单功能 | 管理员能够查看订单详情、管理订单状态 |
| 公告信息管理 | TC016 | 测试教练查看和管理公告信息功能 | 教练能够查看和管理公告信息,包括发布和修改公告 |
| 商品信息管理 | TC017 | 测试教练查看商品信息功能 | 教练能够查看商品信息,但无权限修改商品信息 |
| 课程安排管理 | TC018 | 测试教练查看和管理课程安排功能 | 教练能够查看并管理自己的课程安排 |
| 课程签到管理 | TC019 | 测试教练查看和管理课程签到功能 | 教练能够查看课程签到情况,并管理签到记录 |
通过功能测试,系统的各个功能模块得到了有效的验证,确保了系统在实际使用中的可靠性和准确性。这些测试不仅确认了系统功能的正确性,还为后续的系统优化和用户体验改进提供了坚实的基础。
非功能测试是对系统在非功能性方面进行的评估,主要关注系统的性能、可靠性、安全性、可用性等方面,以确保系统在高负载、异常情况或长期使用时仍然能够稳定可靠地运行。性能测试验证系统在不同并发量下的响应时间、处理速度和吞吐量,确保其能够满足预期的用户负载。可靠性测试主要评估系统在不同操作环境下的稳定性,确保系统能够应对各种异常情况并快速恢复。安全性测试则是检测系统在数据存储、传输过程中的安全性,防止恶意攻击、数据泄露等风险。可用性测试确保系统操作界面的友好性和易用性,提升用户的体验感。此外,兼容性测试检查系统在不同设备、操作系统、浏览器等环境下的兼容性,确保用户能够在各种平台上顺利访问系统。通过非功能测试,能够全面评估系统的健壮性,保障系统上线后能够在复杂环境中稳定运行。
在本次功能测试中,针对基于Java技术实现的田径俱乐部网站的各项功能进行了全面验证。测试涵盖了学员、管理员和教练三类角色的核心功能,包括用户注册与登录、个人信息管理、课程安排、商品信息浏览与购物车、公告信息管理、订单管理、课程签到等。每个功能模块的测试用例都详细验证了各项功能是否按预期进行,确保了不同角色的权限分配合理,数据的准确性和一致性得到了保障。
在学员功能方面,测试验证了学员是否能够成功浏览商品、查看课程安排、管理个人信息并进行购物车操作。管理员功能的测试则确保了管理员能够有效管理学员、教练、公告、商品和课程等模块,保障了后台管理的顺利进行。对于教练功能,测试确保了教练能够查看和管理公告、课程安排及签到等信息,且操作流畅无误。
整个测试过程中,还特别注意了权限控制和数据正确性的检查,确保不同角色无法访问或修改超出其权限范围的信息。通过这些测试,能够确认系统的主要功能均能正常运行,且用户体验顺畅。测试结果为系统的后续开发和上线提供了有力保障,并为系统优化和维护提供了参考依据。
