高级机器学习作业(二)度量学习 + 稀疏学习 + GMM-EM半监督学习
目录
1. 度量学习
1.1 马氏距离的优势(变换后 协方差矩阵为单位阵)
1.2 协方差不可逆的情形
1.3 马氏距离是否满足距离度量 的四个性质
1.4 联系 PCA和 LDA
2. 特征选择与稀疏学习
2.1 正则化与条件约束
2.2 字典学习与压缩感知
3. 半监督学习 - 高斯混合 - EM - 参数更新公式
1. 度量学习
度量学习旨在学习一个适用于某个任务的距离度量,等价于为实现某个距离度量找到合适的特征变换。
马氏距离,标准版 M 为样本协方差的逆,度量学习可看做优化 M。
![]()
1.1 马氏距离的优势(变换后 协方差矩阵为单位阵)
![]()
可导出-> 去除了变量之间的相关性,并且与量纲无关。
协方差矩阵:维度为特征数量;特征与特征之间的协方差;
协方差矩阵 对称,因为 i 维度对于 j 维度,也等于 j 维度对于 i 维度。
![]()
实对称矩阵的性质:
1. 特征值都是实数;
2. 不同特征值对应的特征向量正交;
3. 存在一组完整的、标准正交的特征向量基。
还可推出协方差矩阵半正定:
![]()
![]()
协方差 也可以写成 中心化减去均值之后 X^T X

综合上述 实对称 + 半正定的性质,可对协方差矩阵进行正交分解:
![]()
还可以进一步,因为特征值非负,可对 D 对角线特征值开根号。
![]()
![]()
所以标准马氏距离,即为乘以 L^T 空间变换后的距离 X' = XL 。
![]()
假设已经中心化 Σ = 1/m X^T X Σ' = 1/m (XL)^T (XL) = L^T Σ L = I
所以变换后的 X' 对应的协方差矩阵为单位阵。
1.2 协方差不可逆的情形
是否存在某些情况下协方差矩阵不可逆,应该如何应对这个问题?
协方差,即 中心化后的 1/m X^T X;X^T X 可逆 等价于 X列满秩。
证明:左右互推充要性。
右乘 即列变换,列向量(特征)线性相关则 Xv = 0. -> X^T Xv = 0 即不可逆。
![]()
![]()
所以 X 列满秩,则不存在这样的 v,则 X^X 可逆。
列满秩可能因为:
样本个数 m 较少;
或者收集到的样本 特征之间存在线性关系;
解决方法:
1. 增加样本数量
2. 使用 PCA 降维减少特征数,选择大特征值重构协方差矩阵
3. 算伪逆
1.3 马氏距离是否满足距离度量 的四个性质

由于半正定 z^T M z ≥ 0,满足非负性。
根据式子定义,i j 对调符合对称性。
当 M 正定时,z^T M z = 0 当且仅当 z = 0 (即 xi = xj) 符合同一性。
但若 M 半正定:
存在 z≠0 满足 z^T M z = 0,不符合同一性。 若 M 的非零特征值数 d' < d,
若前 d'维度相同,后 d-d'维不同,两不同样本的距离也为0。不符合同一性。
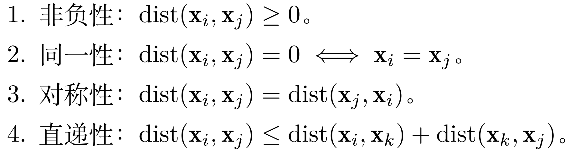
4. Cauchy–Schwarz 不等式 -> 直递性&范数三角不等式;
即原来的三角不等式前面的 x 多乘一下 L。

即满足直递性!
![]()
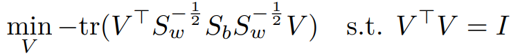
1.4 联系 PCA和 LDA
(4)请写出PCA和LDA 对应的马氏距离中的 M。
PCA 的目标: 找到一组正交的投影方向(主成分),使得投影后的数据方差最大。
![]()
乘以投影矩阵 W,我们在1中推导 投影矩阵 L。
![]()
LDA:最大化类间散度/最小化类内散度(有监督)
类内 Sw 为条件,最大化类间 Sb 投影后方差。
![]()
![]()
![]()
把条件化成类似 PCA 格式的
记作 a
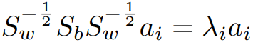
又 w = Sw ^(-1/2) a
两把都左乘 Sw^(-1/2) ![]()
![]()
这两个都是有投影矩阵 W,即 M = W W^T.
2. 特征选择与稀疏学习
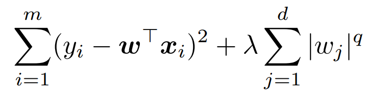
2.1 正则化与条件约束

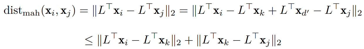
证明左右 正则化与带约束等价。讨论 η 和 正则化系数 λ≥0 之间的联系。
要证等价,即证:
L1对 w 求导,其中 |w|^q 求导还需要引入 符号sign(w)

L2 引入拉格朗日函数,并找对应的 KKT条件:


要想 w2* 满足 L1 的导数条件,即取 λ = v;
要想 w1* 满足 L2,即取 ![]()
2.2 字典学习与压缩感知
字典学习与压缩感知都有对稀疏性的利用,请你分析两者对稀疏性利用的异同点。
均利用:稀疏表示在提取信号本质特征方面的优势。
字典学习:旨在从给定的训练数据中学习一个字典,使得原始数据可以在该字典下获得 最稀疏的表示。
压缩感知:如何利用信号本身所具有的稀疏性,从部分观测样本中恢复原信号。
3. 半监督学习 - 高斯混合 - EM - 参数更新公式

下面两个部分之和:
带标记样本 (x,y) 讨论来自第 i 个分布,为类别 j 的概率。

无标记样本 出现的概率(来自各个分布的概率加权和)

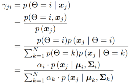
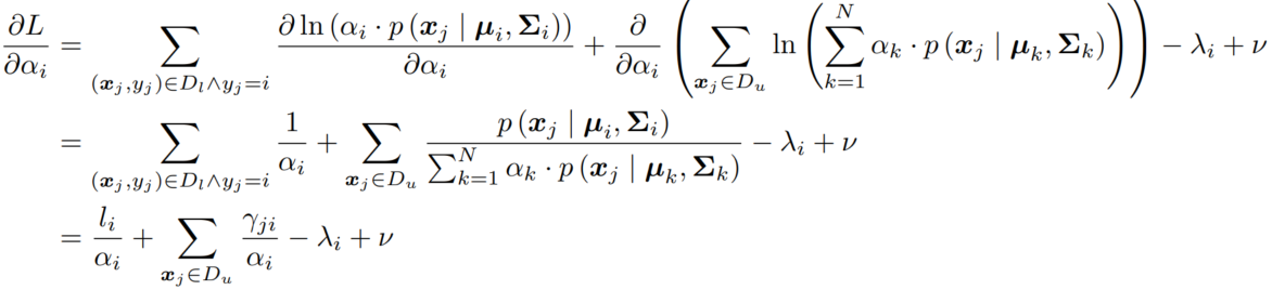
1. 推导 E 步更新公式:根据当前模型参数计算:
未标记样本 xj 属于第 i 个高斯混合成分的概率为:

2. 推导 M 步更新公式 μ Σ α:

3.1 M 步 μ 和 Σ 的推导:
多元正态分布形式,以及对 μ 和 Σ 的求导结果:


![]()
![]()
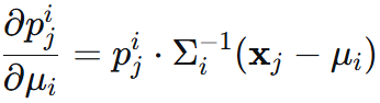
先推对 μ 偏导:
有标签的部分:

后面那个 在第 i 个分布下的 p 和 μ 无关,和前面的 α一样为常数系数。
单个 μ,里面的求和不需要。

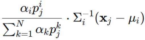
无标签的部分:

分母是所有类,分子只有第 i 类。(上面那个 分母分子的 p 都是第 i 类,消掉了)

前面这个系数表示 第 j 个样本属于 第 i 个分布的概率,可写作 γji。
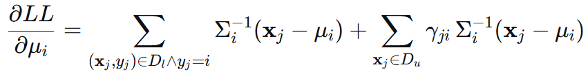
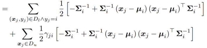
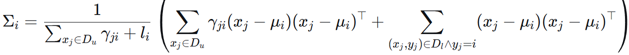
再进行样本求和,总体对 μ 和 Σ 求导为如下:

![]()

(得出并分析结果)
令导数=0得 μ 和 Σ 为:


即为 归属于组件 i 的有效点数。γji 为软分配的权重。
新的均值 μi 就是所有被认为属于组件 i 的数据点(包括软分配和硬分配)的加权平均中心。
新的协方差矩阵 Σi 是所有被认为属于组件 i 的数据点(包括软分配和硬分配)的加权平均散布矩阵。
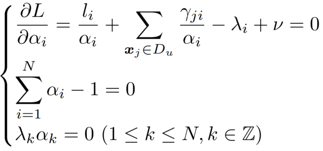
3.2 M 步 权重 α 的推导 -- 凸优化 KKT
α 权重分配,限制和为 1,对于函数 LL。


对 KKT 条件进行化简:

可得最后的更新答案为
即簇的重要性占比。
可以理解为:【所有数据(有标签 + 无标签)中,归属于簇 i 的“有效点数”的总和】/ 总点数
