【SOA仿真】SOA增益饱和特性仿真3
引言
为了更好的理解SOA的特性,见合八方近期将会发布【SOA仿真】系列文章。
在前面两篇文章中,我们分析了SOA的增益饱和特性。《【SOA仿真】SOA增益饱和特性仿真1》,我们由实际测试的输出饱和光功率Psat_out和峰值波长的小信号增益G0仿真绘制了增益饱和特性曲线;《【SOA仿真】SOA增益饱和特性仿真1》中我们根据SOA本身的结构参数(如波导长度、波导体积)、特性参数(增益系数、透明载流子浓度,耦合参数),注入参数(偏置电流、输入光功率)等作为输入,仿真求解SOA的增益特性。但这两篇文章均没有给出增益与波长的关系,本文主要仿真增益的波长相关性(增益谱)。
关键词
半导体光放大器SOA、增益、小信号增益、增益饱和、仿真、载流子、速率方程
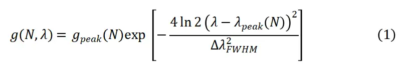
1.高斯增益谱模型
假设为高斯分布,表示为:

其中gpeak (N)是增益峰值,由下面公式表示:
![]()
其随N增大而增大,其中N0为透明载流子密度,a为微分增益参数;
λpeak(N)为增益峰值波长,随N增大而蓝移,满足
![]()
其中λ0为N=N0时的峰值波长,b为蓝移系数;
ΔλFWHM是增益谱的半高全宽FWHM,建成谱宽。
2.载流子速率方程
参考上一篇文章《【SOA仿真】SOA增益饱和特性仿真1》的第2节中的速率方程,达到稳态时,有下面公式[1]:

公式的左侧时电流注入带来的载流子产生,右侧是载流子复合带来的载流子消耗。
3.仿真
第一步:设置初始参数,各参数含义与物理意义如下表:

第二步:通过载流子方程(公式4),可由注入电流Ibias,求取载流子浓度N;

本次使用python中自带的fsolve函数求解速率方程,程序更简洁。
第三步:根据公式1的高斯增益模型,可获取增益谱;

4.结论和后续
本文利用简化的载流子速率方程,以及二分法迭代,仿真得到了外部注入(电流及输入光功率)与增益的关系。
后续我们还将仿真增益与波长的关系(增益谱曲线),以及增益的动态特性。
参考文献
[1] Niloy K. Dutta and Qiang Wang, “Semiconductor Optical Amplifiers,” 2nd edition, World Scientific Publishing Company, 2013.
[2] 王光全,沈世奎,王伟,曾志超等,“半导体光放大器SOA技术与应用白皮书”,2024版
[3] Aziz, Ahmed & Ng, Wai & Aly, Moustafa & Chiang, Ming. (2008). “Optimisation of the key SOA parameters for amplification and switching”.
