当前位置: 首页 > news >正文

MTPA算法原理及仿真验证

MTPA算法原理及实现

        MTPA 主要解决永磁同步电机在转矩输出与效率、功耗之间的优化平衡。本质是基于凸极电机的磁阻特性,实现 “转矩 - 电流比” 的全局最优,核心解决 “如何用最小的电流产生给定转矩” 的效率优化问题。

电流幅值越小,铜耗越低。MTPA 通过最小化电流,直接降低了电机的能耗。

相同转矩下电流更小,意味着电机可在更低的电流负荷下工作,从而减少发热、缩小体积,提升功率密度(转矩 / 体积比)。

利用磁阻转矩拓展了低电流 - 高转矩的运行区间,使电机在宽转速范围内保持高效,避免了仅依赖永磁转矩时的电流浪费。

表面式 PMSM(SPMSM):永磁体贴在转子表面,(L_d = L_q)(隐极特性),此时磁阻转矩为零,转矩仅由永磁转矩产生。这种情况下,产生给定转矩T_e时,(i_q)是唯一变量

电流幅值,因此表面式 PMSM 中(i_d = 0)时电流最小。

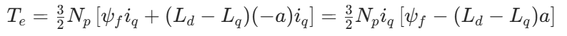
内置式 PMSM(IPMSM):永磁体嵌入转子内部,(通常(L_d < L_q),凸极特性),此时转矩由两部分组成:其中第二项为磁阻转矩,由(L_d)与(L_q)的差异产生

由于(L_d - L_q < 0),当(i_d为负值(去磁电流)、(i_q)为正值时,磁阻转矩为正值(可辅助产生总转矩)。

对于内置式 PMSM,给定转矩\(T_e\)下,id=0控制时转矩全部由永磁转矩承担

此时电流幅值为Is=Iq0

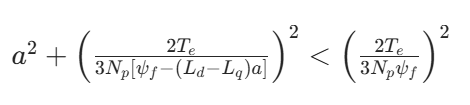
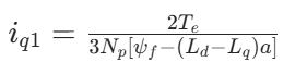
若引入负的Id,id=-a,则磁阻转矩为正值(辅助发力)

由于Iq1<Iq0

因此,电流幅值对比:MTPA下的Is小于Id=0控制的电流幅值Is

接下来是MTPA具体实现的算法
磁链与转矩方程

方法总结:

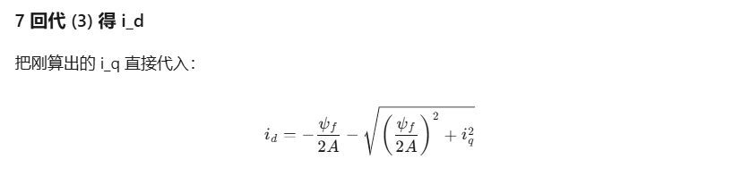
  1. 用拉格朗日乘子法导出 MTPA 轨迹 (L_d−L_q)(i_q²−i_d²)=ψ_f i_d;
  2. 把 i_d 用 i_q 表示后代入转矩方程,平方消根号得到 i_q 的二次方程;
  3. 解二次方程 → i_q,再回代轨迹公式 i_d即完成“同样转矩下电流最小”的 MTPA 计算。

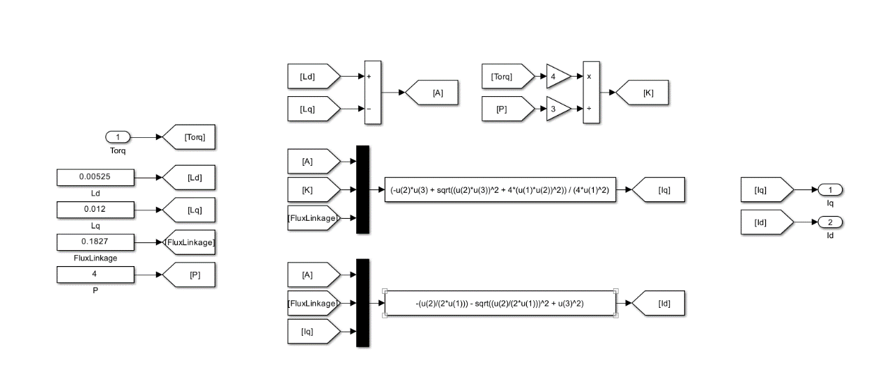
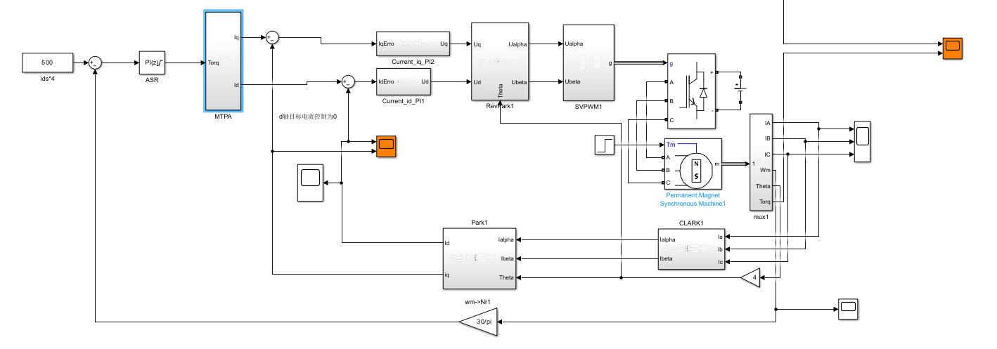
MTPA算法模型搭建:

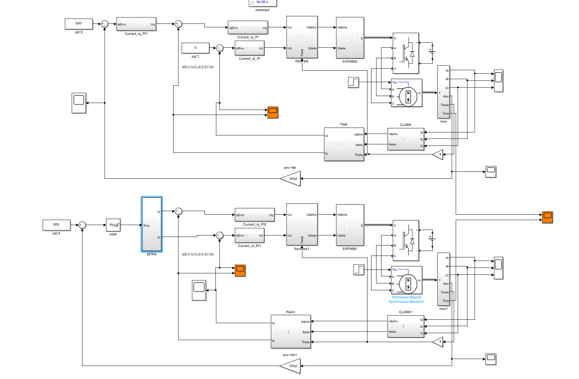
接入FOC系统

与传统FOC,id=0策略对比

仿真参数

磁链

0.1827

Ld

0.00525

Lq

0.012

Pn

4

逆变器电压

310

对比实验:

设置目标转速500转、对电机施加阶跃扭矩控制,空载启动,0.2s时刻施加12牛米扭矩。

仿真结果:

电机扭矩

D/Q轴电流曲线

电流幅值比较

现在,将扭矩阶跃请求调大到20牛米,转速调到800转,此时观察Id=0控制策略和MTPA控制策略的电流幅值情况,就比较清晰明了了。

http://www.dtcms.com/a/515929.html

相关文章:

  • 【记录62】网站输入框搜索内容页面定位
  • 2025年新版ADB工具箱下载+驱动+ADB指令集+fastboot刷机ROOT工具
  • 上海网站建设平台站霸网络快速提升关键词排名软件
  • 【Android】从源码角度理解Handler机制
  • docker技术之部署docker
  • node框架做网站国外浏览器推荐
  • 悬赏平台 wordpress免费网站优化怎么做
  • java数据结构--LinkedList与链表
  • 【笔记--如何安装python环境】
  • 汇川H5U 威纶通HMI双仿真编程
  • 平均指数移动(EMA)
  • 可灵AI邀请码
  • 做外贸的网站怎么建立矿大师德建设网站
  • C语言需要掌握的基础知识点之前缀和
  • Java Optional orElse orElseGet orElseThrow()
  • windows10 wordpress十堰seo优化
  • 优选算法:01 双指针巧解移动零问题
  • 消息队列Kafka
  • 做游戏陪玩网站连锁销售网站制作
  • 【数字逻辑】数字逻辑实验实战:74HC151实现逻辑函数+74HC138搭全加器(附接线步骤+避坑指南)
  • Ubuntu上vue3 vite使用MBTiles搭建地图服务器
  • CClink转EtherCAT协议转换落地——汇川PLC管控球磨机CClink伺服案例
  • wordpress handsome长沙seo免费诊断
  • ChatGPT Atlas 发布:把 AI 直插进浏览器的一次重构
  • 第1章:初识Linux系统——第9节:安装服务软件、维护文件系统安全与文件权限配置实例
  • openAI发布的AI浏览器:什么是Atlas?(含 ChatGPT 浏览功能)macOS 离线下载安装Atlas完整教程
  • 西安市高陵区建设局网站聊城网站制作信息
  • ssh别名和多服务器同步文件
  • 苏州建设网站的公司软件开发和编程的区别
  • Linux I²C 总线驱动开发:从架构到实战的完整指南