当前位置: 首页 > news >正文

【Leetcodenowcode数据结构】单链表的应用(初阶)

系列文章目录

《Leetcode&nowcode代码强化刷题》


文章目录

  • 系列文章目录
  • 前言
  • 正文
    • 一.移除链表元素
    • 二.反转链表
    • 三.链表的中间结点
    • 四.合并两个有序链表
    • 五.链表的回文结构
    • 六.相交链表
    • 七.环形链表I
    • 八.环形链表II
  • 总结


前言

数据结构与算法是计算机领域的核心,既是面试考察重点,也是优化项目性能的关键。而刷题是掌握它最有效的方式,能帮我们巩固理论、提升解题能力。​
我选择LeetCodeNowCode 作为主要刷题平台:LeetCode 题目丰富、分类清晰,适合夯实基础;NowCode 贴近国内企业笔试场景,助力对接实战需求,二者互补性强。​
这份刷题记录不只是题目与答案的罗列,更会记录解题思路、难点易错点,以及解法优化过程。希望它能成为我的复盘工具,也为其他学习者提供参考。​
接下来,就从第一道题开始,在刷题中积累提升,让数据结构与算法成为解决问题的有力工具。


正文

一.移除链表元素

题目链接:203.移除链表元素
题目描述
在这里插入图片描述
解题思路:创建新链表,把原链表中的值依次尾插到新链表的尾部
在这里插入图片描述

代码展示

/*** Definition for singly-linked list.* struct ListNode {*     int val;*     struct ListNode *next;* };*/typedef struct ListNode LTN;
struct ListNode* removeElements(struct ListNode* head, int val) {LTN* newHead = NULL; // 新头LTN* pcur = head;    // 遍历链表LTN* newTail = NULL; // 新尾while (pcur) {if (pcur->val != val) // 符合要求{// 尾插if (newHead == NULL) // 新链表为空newHead = newTail = pcur;// 新链表不为空else {newTail->next = pcur;newTail = newTail->next;}}pcur = pcur->next;}if (newTail)newTail->next = NULL;return newHead;
}

博主题解


二.反转链表

题目链接:206.反转链表
题目描述
在这里插入图片描述

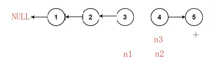
解题思路:
创建三个指针,分别指向,前一个节点,当前节点,后一个节点
在这里插入图片描述
依次反转当前节点的指向,利用后一个节点来 让三个指针继续向后走
在这里插入图片描述

代码展示

/*** Definition for singly-linked list.* struct ListNode {*     int val;*     struct ListNode *next;* };*/typedef struct ListNode LTN;
struct ListNode* reverseList(struct ListNode* head) {if(head==NULL){return head;}//定义三个指针
LTN* n1=NULL,*n2=head,*n3=n2->next;
//开始遍历
while(n2)//n2不为空
{
n2->next=n1;
n1=n2;
n2=n3;
if(n3)//如果3不为空的时候
n3=n3->next;}return n1;
}

博主题解


三.链表的中间结点

题目链接:876.链表的中间结点
题目描述
在这里插入图片描述

解题思路
创建一个快指针,一个慢指针
快指针每次走两步
慢指针每次走一步
当快指针走完,慢指针指向的就是链表的中间结点
在这里插入图片描述

代码展示

/*** Definition for singly-linked list.* struct ListNode {*     int val;*     struct ListNode *next;* };*/typedef struct ListNode LTN;
struct ListNode* middleNode(struct ListNode* head) {//创建快慢指针LTN* fast=head;LTN* slow=head;//慢指针走一步,快指针走两步while(fast!=NULL&&fast->next!=NULL)//不能换顺序,要先确保fast不为NULL{slow=slow->next;fast=fast->next->next;}return slow;
}

博主题解


四.合并两个有序链表

题目链接:21.合并两个有序链表
题目描述
在这里插入图片描述

解题思路
创建一个哨兵位,依次比较两个链表的值,按序插入新链表
一个链表插完,把另一个剩下的直接插到后面
在这里插入图片描述

代码展示

/*** Definition for singly-linked list.* struct ListNode {*     int val;*     struct ListNode *next;* };*/typedef struct ListNode LTN;
struct ListNode* mergeTwoLists(struct ListNode* list1, struct ListNode* list2) {LTN* newhead=malloc(sizeof(LTN));//创建链表哨兵位newhead->next=NULL;LTN* l1=list1;LTN* l2=list2;
LTN* newTail=newhead;
while(l1!=NULL&&l2!=NULL)
{if(l1->val>l2->val){
newTail->next=l2;
newTail=newTail->next;
l2=l2->next;}else{newTail->next=l1;newTail=newTail->next;l1=l1->next;}
}if(l1!=NULL)
{newTail->next=l1;
}
if(l2!=NULL)
{newTail->next=l2;
}
return newhead->next;
}

博主题解


五.链表的回文结构

题目链接:链表的回文结构
题目描述
在这里插入图片描述

解题思路
会了上面两道,这道题目就很简单了
先快慢指针找中间节点
从中间节点开始三指针逆置
逆置完比较
在这里插入图片描述

逆置完之后,对逆置那部分链表与原来的链表进行比较
在这里插入图片描述

代码展示

/*
struct ListNode {int val;struct ListNode *next;ListNode(int x) : val(x), next(NULL) {}
};*/
//快慢指针找中间节点
ListNode* FindMid(ListNode* head)
{
ListNode* fast=head;
ListNode* slow=head;
while(fast->next!=NULL&&fast!=NULL)
{slow=slow->next;fast=fast->next->next;
}
return slow;
}ListNode* reList(ListNode* head)//三指针反转链表
{if(head==NULL)return head;ListNode* n1=NULL,*n2=head,*n3=head->next;while(n2!=NULL){n2->next=n1;n1=n2;n2=n3;if(n3!=NULL)n3=n3->next;}return n1;
}class PalindromeList {
public:bool chkPalindrome(ListNode* A) {ListNode* mid=FindMid(A);//找中间节点ListNode* newhead=reList(mid);//反转后新节点while(newhead!=NULL){if(newhead->val!=A->val)return false;else{newhead=newhead->next;A=A->next;}}return true;}
};

博主题解


六.相交链表

题目链接:160.相交链表
题目描述
在这里插入图片描述

解题思路
单链表,方向唯一
如果相交,那么最后肯定会到相同的终点
由于交点之后的路程一样,差别就在前面
①分别计算两个链表的长度
②计算差值
③让长链表先走差的绝对值步,这样两个链表到交点距离相同了
在这里插入图片描述

④再一起走到的同一个位置,就是交点了

代码展示

/*** Definition for singly-linked list.* struct ListNode {*     int val;*     struct ListNode *next;* };*/typedef struct ListNode LTN;
struct ListNode *getIntersectionNode(struct ListNode *headA, struct ListNode *headB) {//相交链表,必有相同的终点//计算两条链表的长度int lenA=0,lenB=0;LTN* pa=headA;LTN* pb=headB;while(pa!=NULL){pa=pa->next;lenA++;}while(pb!=NULL){pb=pb->next;lenB++;}//计算长度差的绝对值size_t cnt=abs(lenA-lenB);//定义长短指针
LTN* longList=headA;
LTN* shortList=headB;    
//根据实际情况调整
if(lenA<lenB)
{
longList=headB;
shortList=headA;
}
//让长指针先走
while(cnt--)
{
longList=longList->next;
}
//长短指针一起走
while(longList!=NULL)
{if(longList==shortList){return longList;}longList=longList->next;shortList=shortList->next;
}
//出来了说明不是相交链表
return NULL;}

博主题解


七.环形链表I

题目链接:141.环形链表
题目描述:
在这里插入图片描述
解题思路:
快慢指针,如果最后两个指针相遇,就存在环
兔子和乌龟在跑道上面跑,兔子套了乌龟一圈,最后二者会相遇,说明跑道是圆形的,即存在环
在这里插入图片描述

代码展示:

/*** Definition for singly-linked list.* struct ListNode {*     int val;*     struct ListNode *next;* };*/
typedef struct ListNode LTN;
bool hasCycle(struct ListNode* head) {// 快慢指针LTN* fast = head;LTN* slow = head;while (fast != NULL && fast->next !=NULL) // 顺序不能变,防止空指针解引用{slow = slow ->next;if(fast->next!=NULL)fast = fast->next->next;//相遇if (fast == slow)return true;}return false;
}

博主题解


八.环形链表II

题目链接:142.环形链表II
题目描述:
在这里插入图片描述

解题思路:
这里需要掌握一个技巧,就是找到相遇结点之后,我们再分别从头结点和相遇结点开始向后依次遍历,两个指针会在入环结点相遇,证明如下:
在这里插入图片描述
(字有点丑,大家不要介意ovo)
代码展示:

/*** Definition for singly-linked list.* struct ListNode {*     int val;*     struct ListNode *next;* };*/typedef struct ListNode LTN;
struct ListNode *detectCycle(struct ListNode *head) {// 快慢指针LTN* fast = head;LTN* slow = head;while (fast != NULL && fast->next !=NULL) // 顺序不能变,防止空指针解引用{slow = slow ->next;if(fast->next!=NULL)fast = fast->next->next;//找到后和头一起向后遍历,就会相遇if (fast == slow){
LTN* pcur=head;
while(fast!=NULL)
{if(fast==pcur)return pcur;fast=fast->next;pcur=pcur->next;
}}}return NULL;
}

博主题解


总结

单链表部分的题目,我们需要去多多注意一些空链表的情况(博主刚开始写WA了好多次),掌握一些快慢指针的用法,和一些技巧,下一篇我会为大家带来单链表进阶题目,希望大家可以多多支持,有什么问题可以评论留言或者后台私信,感谢大家

后续会开始感谢数据结构相关的知识性内容,C语言栏会再上上传一些剩下的知识性内容!!!

http://www.dtcms.com/a/486387.html

相关文章:

  • ECEF坐标系中椭球简化为球的可行性与实践
  • 网站建设 中企高程企业邮箱
  • 逻辑回归实战:泰坦尼克号生存预测
  • 医疗网站建设哪个好用会员充值消费管理系统
  • 【Bug:docker】--Docker国内镜像源加载失败
  • 安阳做网站的公司网站建设开发软件教程
  • php做网站优点ui设计职业培训机构
  • 【ADS-1】【python基础-2】基本语法与数据结构(列表、字典、集合)
  • 简单的网站源码娱乐网站后缀是什么
  • C# 基于halcon的视觉工作流-章46-不匀面划痕
  • 一个手机的奇幻之旅(手机在基站间的切换)
  • Android thermal (4)_cooling device(上)
  • JavaEE初阶——TCP/IP协议栈:从原理到实战
  • 建设网站要买服务器徐闻网站建设公司
  • 我想网上做网站怎么做卖东西的网站
  • 用于汽车雷达应用的步进频率PMCW波形——论文阅读
  • 使用 python-docx 和 difflib 对比 Word 文档
  • 食品电子商务网站建设规划书开发网站的好处
  • 找人做的网站怎么运行精神堡垒设计
  • 开源 Linux 服务器与中间件(一)基本介绍
  • 开源 Linux 服务器与中间件(二)嵌入式Linux服务器和中间件
  • 公司建设一个网站有什么好处国外网站建设现状图分析
  • 绿色 网站 源码个人建网站怎么赚钱
  • 定时器的学习(二)
  • SpringBoot模特兼职网站zu3n3(程序+源码+数据库+调试部署+开发环境)带论文文档1万字以上,文末可获取,系统界面在最后面。
  • windows开发中使用flutter开发鸿蒙
  • calibre LVS 跑不起来 就将setup 的LVS Option connect下的 connect all nets by name 打开。
  • 向RAGFlow中上传文档到对应的知识库
  • 网站后台发邮件建设网站都需要哪些内容
  • 惠州网站建设 英语外贸论坛有哪些?