当前位置: 首页 > news >正文 【C++】四阶龙格库塔算法实现递推轨道飞行器位置速度 news 2025/10/15 8:09:27 四阶龙格库塔法递推轨道飞行器位置速度 算法 本篇介绍求解精度更高的四阶龙格库塔法(Runge-Kutta),其截断误差为O(h5)。 四阶龙格库塔法(Runge-Kutta)求解算法为: 上式是关于 y(k) 向 y(k+1) 的递推形式,可以根据初始条件按照递推关系依次求出 y(1)、y(2)、y(3)、… y(n) ,此离散序列即为微分方程的数值解。 原理 微分方程的数值解法,本质是使用数值积分来实现 y ˙ \dot{y} 查看全文 http://www.dtcms.com/a/482353.html 相关文章: 网站建设的费用怎么做账网站开发视频是存储的 张店学校网站建设哪家好高端品牌衣服有哪些 区域网站查询游戏代理平台 分布式控制系统(DCS)的智能组网技术解析及解决方案 React18学习笔记(六) React中的类组件,极简的状态管理工具zustand,React中的Typescript Jenkins 实现 Vue 项目自动化构建与远程服务器部署 Jenkins集成Jmeter压测实战攻略 Kubernetes 集群调度与PV和PVC 工具: 下载vscode .vsix扩展文件方法 FastbuildAI后端ConsoleModule模块注册分析 Ubuntu安装Hbase 恶意进程排查 Docker Desktop在MAC上无法强制关闭的命令清理方式 Android音频学习(二十二)——音频接口 河北网站备案流程抖音代运营交1600押金 专做正品 网站网站关键词优化培训 2025年--Lc184--62.不同路径(动态规划)--Java版 区块链的理解 【GUI自动化测试】YAML 配置文件应用:从语法解析到 Python 读写 使用llamaindex实现RAG时 的常见使用框架或工具 YOLOv3:高效精准的实时目标检测算法 怎么做坑人网站同城新闻app有哪些 网站建设需求调研问卷韶关网站开发 设计模式篇之 责任链模式 Chain of Responsibility 阿里云-ECS实例信息统计并发送统计报告到企业微信 LeetCode 刷题【119. 杨辉三角 II、120. 三角形最小路径和】 Jmeter跨线程组获取参数 Tomcat核心组件全解析 盈利型网站wordpress系列教程 pdf 基于OpenCASCADE的分层点云到STL实体模型转换技术
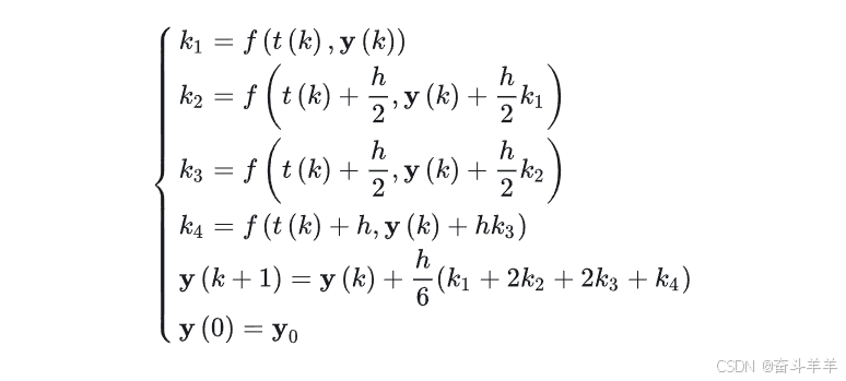
四阶龙格库塔法递推轨道飞行器位置速度 算法 本篇介绍求解精度更高的四阶龙格库塔法(Runge-Kutta),其截断误差为O(h5)。 四阶龙格库塔法(Runge-Kutta)求解算法为: 上式是关于 y(k) 向 y(k+1) 的递推形式,可以根据初始条件按照递推关系依次求出 y(1)、y(2)、y(3)、… y(n) ,此离散序列即为微分方程的数值解。 原理 微分方程的数值解法,本质是使用数值积分来实现 y ˙ \dot{y}