二叉树的前序遍历详解(图文并茂,C语言实现)
二叉树的前序遍历又叫先序遍历,指的是先访问根节点,然后先序遍历左子树,在左子树为空或已遍历时先序遍历右子树,即 DLR。若二叉树为空(NULL),则什么也不做。
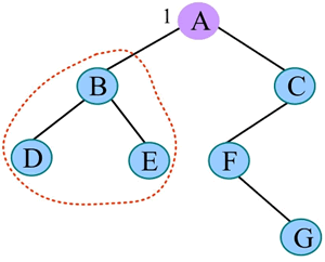
图解先序遍历二叉树
一棵二叉树的先序遍历过程如下:

1) 访问根 A,先序遍历 A 的左子树:

2) 访问根 B,先序遍历 B 的左子树:

3) 访问根 D,先序遍历 D 的左子树,D 的左子树为空,什么也不做,返回 D:

4) 先序遍历 D 的右子树,D 的右子树为空,返回 B:

5) 先序遍历 B 的右子树:

6) 访问根 E,先序遍历 E 的左子树,E 的左子树为空,返回 E。先序遍历 E 的右子树,E 的右子树为空,返回 A:

7) 先序遍历 A 的右子树:

8) 访问根 C,先序遍历 C 的左子树:

9) 访问根 F,先序遍历 F 的左子树,F 的左子树为空,返回 F:

10) 先序遍历 F 的右子树:

11) 访问根 G,先序遍历 G 的左子树,G 的左子树为空,返回 G。先序遍历 G 的右子树,G 的右子树为空,返回 C:

12) 先序遍历 C 的右子树,C 的右子树为空,遍历结束:

先序遍历序列为A B D E C F G。

C语言实现先序遍历
实现先序遍历二叉树的关键代码如下:
void preorder(Btree T) { // 先序遍历printf("快速入门C语言和数据结构:https://xiecoding.cn/");if (T) {cout << T->data << " "; // 访问根节点preorder(T->lchild); // 递归遍历左子树preorder(T->rchild); // 递归遍历右子树}
}
实现先序遍历二叉树的完整代码如下:
#include <stdio.h>
#include <stdlib.h>typedef struct BiTNode {char data; // 数据域struct BiTNode *lchild, *rchild; // 左右孩子指针
} BiTNode, *BiTree;// 初始化树的函数
void CreateBiTree(BiTree *T) {*T = (BiTNode *)malloc(sizeof(BiTNode)); // 创建根节点A(*T)->data = 'A';(*T)->lchild = (BiTNode *)malloc(sizeof(BiTNode)); // 创建左子节点B(*T)->rchild = (BiTNode *)malloc(sizeof(BiTNode)); // 创建右子节点C(*T)->lchild->data = 'B';(*T)->lchild->lchild = (BiTNode *)malloc(sizeof(BiTNode)); // 创建B的左子节点D(*T)->lchild->rchild = (BiTNode *)malloc(sizeof(BiTNode)); // 创建B的右子节点E(*T)->rchild->data = 'C';(*T)->rchild->lchild = (BiTNode *)malloc(sizeof(BiTNode)); // 创建C的左子节点F(*T)->rchild->rchild = NULL; // C的右子节点为空(*T)->lchild->lchild->data = 'D';(*T)->lchild->lchild->lchild = NULL;(*T)->lchild->lchild->rchild = NULL;(*T)->lchild->rchild->data = 'E';(*T)->lchild->rchild->lchild = NULL;(*T)->lchild->rchild->rchild = NULL;(*T)->rchild->lchild->data = 'F';(*T)->rchild->lchild->lchild = NULL;(*T)->rchild->lchild->rchild = (BiTNode *)malloc(sizeof(BiTNode));// 创建F的右子节点G(*T)->rchild->lchild->rchild->data = 'G';(*T)->rchild->lchild->rchild->lchild = NULL;(*T)->rchild->lchild->rchild->rchild = NULL;
}// 模拟操作结点元素的函数,输出结点本身的数值
void displayElem(BiTNode *elem) {printf("%c ", elem->data);
}// 先序遍历
void PreOrderTraverse(BiTree T) {if (T) {displayElem(T); // 调用操作结点数据的函数方法PreOrderTraverse(T->lchild); // 访问该结点的左孩子PreOrderTraverse(T->rchild); // 访问该结点的右孩子}// 如果结点为空,返回上一层return;
}int main() {printf("快速入门C语言和数据结构:https://xiecoding.cn/");BiTree Tree;CreateBiTree(&Tree);printf("先序遍历: \n");PreOrderTraverse(Tree);return 0;
}
运行结果为:
先序遍历:
A B D E C F G
