当前位置: 首页 > news >正文

无刷直流电机(BLDC)数学模型深度解析

无刷直流电机(BLDC)数学模型深度解析

1. 引言

无刷直流电机(Brushless DC Motor,简称BLDC)作为现代电力电子技术与电机技术相结合的产物,已成为工业自动化、航空航天、电动汽车等领域的核心动力元件。与传统有刷直流电机相比,BLDC电机取消了机械换向器和电刷结构,采用电子换向方式,大大提高了电机的可靠性、效率和使用寿命。

要深入理解BLDC电机的工作原理并设计高性能的控制系统,建立准确的数学模型是至关重要的基础。本文将从电磁原理出发,系统推导BLDC电机的数学模型,为电机控制算法的设计与仿真分析提供理论支撑。

2. BLDC电机基本结构和工作原理

2.1 基本结构组成

BLDC电机主要由以下部分组成:

  • 定子:通常采用三相集中式或分布式绕组,绕组按120°电角度对称分布

  • 转子:采用永磁体结构,磁极对数通常为2对、4对或更多

  • 位置传感器:霍尔传感器、光电编码器或旋转变压器等,用于检测转子位置

2.2 电子换向原理

BLDC电机通过检测转子位置信号,控制逆变器中功率开关器件的导通与关断,实现电子换向。三相六状态控制是BLDC最常用的控制方式,每个60°电角度区间内只有两相导通,另一相悬空,形成六步换相序列。

3. BLDC电机数学模型推导

3.1 基本假设

在建立数学模型前,我们作如下合理假设:

  1. 电机三相绕组完全对称,空间互差120°电角度

  2. 磁路不饱和,忽略磁滞和涡流效应

  3. 永磁体产生的气隙磁场呈梯形波分布

  4. 转子的阻尼效应可以忽略

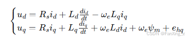
3.2 电压方程

根据基尔霍夫电压定律,三相绕组的电压平衡方程可表示为:

其中,$u_a$$u_b$$u_c$为三相相电压,$i_a$$i_b$$i_c$为三相相电流,$R_s$为每相绕组电阻,$\psi_a$$\psi_b$$\psi_c$为三相磁链。

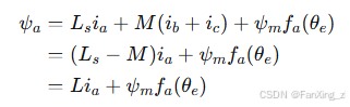
各相磁链由电流自感、互感以及永磁体磁链共同作用产生:

式中,$L_{aa}$$L_{bb}$$L_{cc}$为各相自感,$M_{ab}$$M_{ac}$$M_{bc}$为相同互感,$\psi_m$为永磁体磁链幅值,$f_a(\theta_e)$$f_b(\theta_e)$$f_c(\theta_e)$为转子位置相关的梯形波函数,$\theta_e$为电角度。

3.3 电感分析

对于表面贴装式BLDC电机,由于气隙均匀,自感和互感可近似为常数:

考虑到三相绕组为星形连接且无中线,满足$i_a + i_b + i_c = 0$,可得:

其中,$L = L_s - M$为等效电感。

同理可得其他两相的磁链表达式。将磁链表达式代入电压方程,得到:

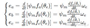
式中,$e_a$$e_b$$e_c$为三相反电动势:

其中,$\omega_e = \frac{d\theta_e}{dt}$为电角速度。

3.4 反电动势分析

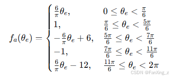
BLDC电机的反电动势波形由永磁体磁场分布和绕组结构决定,理想情况下为梯形波,平顶宽度为120°电角度。梯形波函数可表示为:

$f_b(\theta_e)$$f_c(\theta_e)$函数形式相同,相位依次滞后120°。

3.5 转矩方程

根据机电能量转换原理,电磁转矩可表示为:

其中,$\omega_m = \frac{\omega_e}{p}$为机械角速度,$p$为极对数。

在任意时刻,只有两相导通,设导通相的反电动势绝对值为$E$,电流绝对值为$I$,则电磁转矩可简化为:

其中,$K(\theta_e)$为反电动势波形系数,在平顶区$K(\theta_e)=1$

3.6 运动方程

根据牛顿第二定律,电机机械运动方程为:

式中,$T_L$为负载转矩,$B$为粘滞摩擦系数,$J$为转动惯量。

4. 状态空间模型

选取三相电流和机械角速度为状态变量,建立BLDC电机的状态空间模型。

由电压方程可得电流微分方程:

由运动方程可得角速度微分方程:

该状态空间模型为非线性系统,可用于系统动态特性分析和控制器设计。

5. dq坐标系下的数学模型

虽然BLDC电机通常不在dq坐标系下分析,但通过适当变换也可得到其dq模型,便于与永磁同步电机对比分析。

定义dq变换矩阵:

由于BLDC反电动势为非正弦波,dq坐标系下的电压方程包含谐波分量:

其中,$e_{hq}$为反电动势谐波在q轴上的分量,电磁转矩为:

$T_{harm}$为谐波转矩分量。对于表面贴装式BLDC电机,,转矩公式简化为:

6. 数学模型在控制中的应用

6.1 仿真模型建立

基于上述数学模型,可在Simulink等环境中搭建BLDC电机仿真模型,主要包括以下模块:

  • 电压方程模块

  • 反电动势计算模块

  • 转矩计算模块

  • 运动方程模块

  • 逆变器模块

  • 换相逻辑模块

6.2 控制策略分析

BLDC电机的经典控制策略包括:

  • 六步换相控制:基于霍尔位置信号,简单可靠

  • 矢量控制:通过坐标变换实现转矩与磁链解耦控制

  • 直接转矩控制:通过滞环控制直接调节转矩和磁链

数学模型为这些控制策略的设计与参数整定提供了理论基础。

7. 结论

本文系统推导了BLDC电机的数学模型,从基本的电压方程、磁链方程到转矩方程和运动方程,建立了完整的理论体系。通过对数学模型的分析,可以得出以下结论:

  1. BLDC电机的数学模型本质上是非线性、强耦合的多变量系统

  2. 反电动势的梯形波特性是BLDC与PMSM的主要区别

  3. 状态空间模型为系统动态分析和控制器设计提供了便利

  4. dq坐标系下的模型揭示了BLDC与PMSM的内在联系与区别

准确的数学模型是高性能BLDC电机控制系统设计的基础,对于电流环设计、转速估算、位置检测等关键技术具有重要指导意义。随着现代控制理论的发展,基于精确数学模型的先进控制算法将在BLDC电机控制中发挥越来越重要的作用。

参考文献

  1. Krishnan, R. (2001). Electric Motor Drives: Modeling, Analysis, and Control. Prentice Hall.

  2. Pillay, P., & Krishnan, R. (1989). Modeling, simulation, and analysis of permanent-magnet motor drives. IEEE Transactions on Industry Applications, 25(2), 265-273.

  3. 王成元,夏家宽,杨俊友. (2014). 电机现代控制技术. 机械工业出版社.

  4. 袁登科,陶生桂. (2010). 交流永磁电机变频调速系统. 机械工业出版社.


http://www.dtcms.com/a/503073.html

相关文章:

  • 第七届全球校园人工智能算法精英大赛-算法巅峰赛产业命题赛第二赛季--最后一题解读
  • Spring Boot 3零基础教程,WEB 开发 内容协商源码分析 默认的 HttpMessageConverter 自定义返回值格式 笔记34
  • 【嵌入式面试题】STM32F103C8T6 完整元器件解析 + 面试问题答案
  • docker入门教程--部署nginx和tomcat
  • 3.1.2 从NoSQL到图数据库的转型
  • 【洛谷】哈希表实战:5 道经典算法题(unordered_map/set 应用 + 避坑指南)
  • 昆明 网站推广营销策划公司简介
  • 医院做网站是最简单的前端吗长沙水业网站是哪家公司做的
  • GridPlayer,一个好用的多视频同步播放器
  • 用 Go 语言实现《周易》大衍筮法起卦程序
  • 2025年渗透测试面试题总结-209(题目+回答)
  • 深度学习6-激活函数-参数初始化和正则化-搭建神经网络-损失函数
  • HakcMyVM-Apaches
  • OCR文字识别前沿:PaddleOCR/DBNet++的端到端文本检测与识别
  • 例行性工作任务(定时任务)
  • C++——list链表
  • 泉州网站关键词推广费用泉州网站建设优化公司
  • 动画基础:动画里的18种基本相机角度
  • 上海做高端网站建设wordpress自动分享
  • 【含文档+PPT+源码】基于小程序开发的宠物寄养平台管理系统
  • 【LeetCode】81. 搜索旋转排序数组 II
  • 力扣21:合并两个有序链表
  • FastAPI之 HTTP响应
  • 中国建设银行广西分行网站首页wordpress 数字商城
  • UE5 材质-5:砖缝不透明材质系列,掩码节点 ComponentMask,材质函数 CustomRotator 旋转UV,
  • 2510C++,rest_rpc
  • [Power BI] 卡片图与多行卡
  • 大模型理论概述
  • 做风险投资网站商城网站建设策划书
  • 【STM32项目开源】STM32单片机智能家居控制系统