当前位置: 首页 > news >正文

数值计算-线性方程组的迭代解法

线性方程组的迭代解法

1.迭代法基本理论

矩阵的谱半径

迭代法收敛的条件

 矩阵特征向量的性质

2.经典迭代法

2.1 Jacobi迭代法(雅可比)

条件:矩阵A的对角元不为0

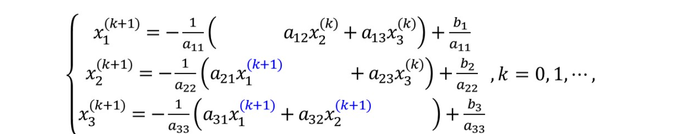
2.2 G-S (Gauss-Seidel)迭代法

条件:矩阵A的对角元不为0

有一半填上新的值(左下角)

2.3 SOR (Successive Over Relation)迭代法

雅可比迭代法

收敛条件

严格对角占优

http://www.dtcms.com/a/495070.html

相关文章:

  • win设置
  • 基于波动率自适应的ETF动态止盈止损模型构建与优化
  • C++ 继承笔记
  • H20裸金属租赁:捷智算安全隔离,独立配置保障数据安全
  • 装饰公司怎么做网站建设asp网站视频教程
  • 商业综合体 BAS 楼宇自控系统 + 能效管理系统:双系统协同打造高效低碳运营标杆
  • sm2025 模拟赛22 (2025.10.17)
  • 矢量图形AI 2025软件百度网盘下载与安装步骤分享
  • 建筑公司网站作用支付商城网站制作
  • 多模态文档理解视觉token剪枝思路
  • 本文讲解什么是PD诱骗协议以及如何避免充电器功率不足导致充电器不充电问题
  • 洛谷 - 线段树详解 1 (超详细版)
  • uni-app 入门学习教程,从入门到精通,uni-app基础扩展 —— 详细知识点与案例(3)
  • 解决uniapp中showLoading与showToast相互覆盖问题
  • 网站建设的外国文献三星网上商城怎么取消订单
  • 电子商务网站的建设内容家庭装什么宽带最划算
  • 轮廓系数(一个异型簇的分类标准)
  • 把 1688 商品详情搬进 MySQL:PHP 爬虫全链路实战(2025 版)
  • python+uniapp基于微信小程序的个人物品租售系统
  • 中国(新疆)航空航天国防展--三款MEMS惯性导航系统解析
  • 十大拿货网站爱做奈官方网站
  • 图像处理之膨胀
  • AI部署001 - C++环境部署与服务器使用
  • MP4格式视频无法播放怎么修?4个修复方法,解决难题
  • 语音处理:音频移形幻影,为何大振幅信号也无声
  • dedecms学校网站模板wordpress 3d插件
  • 注册一个新公司需要多少钱seo如何进行优化
  • Git流程规范介绍
  • Python 第十五节 OS文件操作相关方法用途详解
  • 动态规划的“递归之舞”:破解字符串的深层结构——扰乱字符串