当前位置: 首页 > news >正文

【数值分析】解线性方程组的迭代法经典算法

1.雅可比迭代法

算法原理

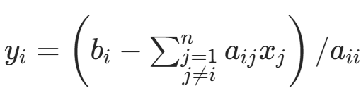
,在系数矩阵 A 的分裂 A=D−L−U=M−N 中,选取 M=D,得到解 Ax=b 的雅可比迭代法

其中。分量公式:

算法步骤

a. 输入 A,b,ep,it_max;

b. 初始向量 ​x_i=0 (i=1,…,n);

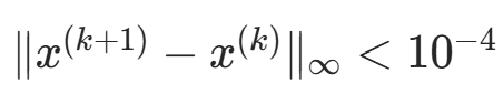
c. 若 ,退出;

d. 对 k=1,…,it_max;

e. 对 i=1,…,n,计算 ​;

f. 若 ,输出 y;否则 x=y,转 e。

MATLAB 程序

function [x,k] = Jacobi(A,b,ep,it_max)
% A 为系数矩阵,b 为方程组右端,x 为方程组解
% ep 为计算精度,it_max 为最大迭代次数,k 为实际迭代次数
if nargin < 4it_max = 100;
end
if nargin < 3ep = 1e-5;
end
d = diag(A);                % 提取系数矩阵的对角元素
if min(abs(d)) < 1e-10disp('对角矩阵包含零元素'); return;
end
n = length(A);    k = 0;    x = zeros(n,1);    y = zeros(n,1);
while k <= it_maxy = (b - A * x + d .* x) ./ d;if norm(y - x, inf) < epbreak;    endk = k + 1;    x = y;
end

数值实验

例 1:解方程组

要求  时终止。

>> A = [10 2 -1; -3 -6 2; 2 -3 5]; b = [-36 -2 -7]'; ep = 1e-4;
>> [x,k] = Jacobi(A,b,ep)

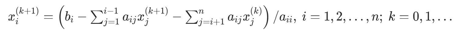
2. 高斯 - 塞德尔迭代法

算法原理:设,对 A=D−L−U=M−N,取 M=D−L,得迭代法:

其中

分量公式:

算法步骤

 a. 输入 A,b,ep,it_max;

b. 初始向量 ​x_i=0 (i=1,…,n);

c. 若 ,退出;

d. 对 k=1,…,it_max;

e. 对 i=1,…,n,计算 ​;

f. 若 ,输出 y;否则 x=y,转 e。

与雅可比类似,步骤 e 中 y_i​ 计算利用了已更新的 y_j​ (j<i)。

MATLAB 程序

function [x,k] = Gau_Seid(A,b,ep,it_max)
% A 为系数矩阵,b 为方程组右端,x 为方程组解
% ep 为计算精度,it_max 为最大迭代次数,k 为实际迭代次数
if nargin < 4it_max = 100;
end
if nargin < 3ep = 1e-5;
end
d = diag(A);                % 提取系数矩阵的对角元素
if min(abs(d)) < 1e-10disp('对角矩阵中包含零元素'); return;
end
n = length(A);    k = 0;    x = zeros(n,1);    y = zeros(n,1);
while k <= it_maxy(1) = (b(1) - A(1,2:n) * x(2:n)) / A(1,1);for i = 2:n-1y(i) = (b(i) - A(i,1:i-1) * y(1:i-1) - A(i,i+1:n) * x(i+1:n)) / A(i,i);endy(n) = (b(n) - A(n,1:n-1) * y(1:n-1)) / A(n,n);if norm(y - x, inf) < epbreak;    endk = k + 1;    x = y;
end

数值实验

例 2:解同例 1 的方程组(精度 10^{-4})。

>> A = [10 2 -1; -3 -6 2; 2 -3 5]; b = [-36 -2 -7]'; ep = 1e-4;
>> [x,k] = Gau_Seid(A,b,ep)

3. 逐次超松弛(SOR)迭代法

算法原理:取分裂矩阵(ω>0 为松弛因子),迭代矩阵:

分量公式(ω 为松弛因子):

算法步骤

 a. 输入 A,b,ep,it_max;

b. 初始向量 ​x_i=0 (i=1,…,n);

c. 若 ,退出;

d. 对 k=1,…,it_max;

e. 对 i=1,…,n,计算 ​;

f. 若 ,输出 y;否则 x=y,转 e。

MATLAB 程序

function [x,k] = SOR(A,b,w,ep,it_max)
% A 为系数矩阵,b 为方程组右端,x 为方程组解
% ep 为计算精度,it_max 为最大迭代次数,k 为实际迭代次数,w 为松弛因子
if nargin < 5it_max = 100;
end
if nargin < 4ep = 1e-5;
end
d = diag(A);                % 提取系数矩阵的对角元素
if min(abs(d)) < 1e-10disp('对角矩阵中包含零元素'); return;
end
n = length(A);    k = 0;    x = zeros(n,1);    y = zeros(n,1);
while k <= it_maxy(1) = (1 - w) * x(1) + w * (b(1) - A(1,2:n) * x(2:n)) / A(1,1);for i = 2:n-1y(i) = (1 - w) * x(i) + w * (b(i) - A(i,1:i-1) * y(1:i-1) - A(i,i+1:n) * x(i+1:n)) / A(i,i);endy(n) = (1 - w) * x(n) + w * (b(n) - A(n,1:n-1) * y(1:n-1)) / A(n,n);if norm(y - x, inf) < epbreak;    endk = k + 1;    x = y;
end

数值实验

例 3:解同例 1 的方程组,取 ep=10^{-4},it_max=200,松弛因子 ω=0.8,0.9,1.0,1.1,1.2,1.3。

>> A = [10 2 -1; -3 -6 2; 2 -3 5];    b = [-36 -2 -7]';    ep = 1e-4;
>> it_max = 200;    w = 0.8:0.1:1.3;
>> for i = 1:length(w)
>>     [x,k] = SOR(A,b,w(i),ep,it_max)
>> end
x =-4.00002.99991.9999k =15x =-4.00002.99991.9999k =12x =-4.00002.99991.9999k =9x =-4.00003.00002.0000k =7x =-4.00003.00002.0000k =10x =-3.99993.00002.0000k =14

结论:ω=1.1 迭代次数最少,ω=1 为高斯 - 塞德尔迭代。

例 4:讨论迭代法对

的收敛性。

  • 理论:A 正定,故高斯 - 塞德尔收敛;2D−A 非正定,雅可比不一定收敛;0<ω<2 时 SOR 收敛。
  • 计算(雅可比迭代,结果循环不收敛):
>> A = [1, 0.5, 0.5; 0.5, 1, 0.5; 0.5, 0.5, 1];    b = [12,21,2]';
>> ep = 1e-5;    it_max = 20:22;    m = length(it_max);
>> for i = 1:m
>> [x,k] = Jacobi(A,b,ep,it_max(i)), z = A * x
>> end
x =12.333330.3333-7.6667k =21z =23.666732.666713.6667x =0.666718.6667-19.3333k =22z =0.33339.3333-9.6667x =12.333330.3333-7.6667k =23z =23.666732.666713.6667
>> ep = 1e-5;    it_max = 100;
>> [x,k] = Gau_Seid(A,b,ep,it_max)

>> w = 0.9:0.05:1.2;    m = length(w);
>> for i = 1:m
>> [x,k] = SOR(A,b,w(i),ep,it_max)
>> end
x =6.500024.5000-13.5000k =17x =6.500024.5000-13.5000k =16x =6.500024.5000-13.5000k =14x =6.500024.5000-13.5000k =14x =6.500024.5000-13.5000k =14x =6.500024.5000-13.5000k =14x =6.500024.5000-13.5000k =15

结论:最佳松弛因子在 ω=1 附近;雅可比不收敛,高斯 - 塞德尔与 SOR 收敛。

4. 共轭梯度法

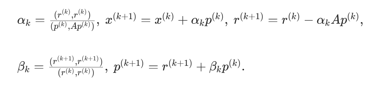
算法原理:取初始搜索方向,通过 A- 共轭方向迭代,公式:

算法步骤

(1) 任取 ,计算 ,取

(2) 对 k=1,2,…,n,按上述公式迭代。

(3) 若 ,停止。

MATLAB 程序

function [x,k] = CG(A,b,ep)
[m,n] = size(A);
if m ~= ndisp('系数矩阵非方阵');    return;
elseif m ~= length(b)disp('系数矩阵和右端向量维数不匹配');    return;
end
if A - A' ~= 0disp('系数矩阵非对称');    return;
end
x = zeros(n,1);    r0 = b - A * x;    r0n2 = r0' * r0;    p0 = r0;
for k = 1:nAp = A * p0;    alf = r0n2 / (p0' * Ap);    x1 = x + alf * p0;    r1 = r0 - alf * Ap;if norm(r1, inf) < epx = x1;    return;endif norm(x1 - x, inf) < epx = x1;    return;endr1n2 = r1' * r1;    beta = r1n2 / r0n2;    p1 = r1 + beta * p0;x = x1;    r0 = r1;    p0 = p1;    r0n2 = r1n2;
end

数值实验

例 5:解方程组

要求

>> A = [4,-1,-1,0; -1,4,0,-1; -1,0,4,-1; 0,-1,-1,4];    b = [0,0,1,1]';    ep = 1e-4;
>> [x,k] = CG(A,b,ep)

对比其他迭代法

  • 雅可比迭代(it_max=100,ep=1e−4):
>> A = [4,-1,-1,0; -1,4,0,-1; -1,0,4,-1; 0,-1,-1,4];    b = [0,0,1,1]';    ep = 1e-4;
>> [x,k] = Jacobi(A,b,ep,it_max)

  • 高斯 - 塞德尔迭代:
>> A = [4,-1,-1,0; -1,4,0,-1; -1,0,4,-1; 0,-1,-1,4];    b = [0,0,1,1]';    ep = 1e-4;
>> [x,k] = Gau_Seid(A,b,ep,it_max)

  • SOR 迭代(w=1.072):
>> A = [4,-1,-1,0; -1,4,0,-1; -1,0,4,-1; 0,-1,-1,4];    b = [0,0,1,1]';    ep = 1e-4;
>> w = 1.072;
>> [x,k] = SOR(A,b,w,ep,it_max)

结论:共轭梯度法收敛最快,效率最高。

总结

本文介绍了四种求解线性方程组的迭代法:雅可比迭代法、高斯-塞德尔迭代法、逐次超松弛(SOR)迭代法和共轭梯度法。详细阐述了各算法的原理、分量公式及MATLAB实现步骤,并通过数值实验对比了其收敛性能。结果表明:雅可比法简单但收敛性较差;高斯-塞德尔法通过即时更新变量提高了效率;SOR法通过引入松弛因子(ω=1.1时最优)进一步加速收敛;共轭梯度法对对称正定矩阵收敛最快。实验数据验证了各方法的适用条件,为线性方程组求解提供了有效的迭代方案选择依据。

http://www.dtcms.com/a/478716.html

相关文章:

  • 东莞网站空间wordpress迁移hexo
  • 小白如何建网站wordpress gstatic
  • 关于JMM
  • 嵌入式学习笔记- 单片机的低功耗以及唤醒
  • Dify从入门到精通 第12天 RAG知识库概念引入:深入理解知识库、分词与向量化
  • C语言项目:文本统计程序
  • 龙游县建设局网站晋州建设规划局网站
  • Java-Spring入门指南(二十四)SSM整合HTML:解决CSS/JS静态资源被过滤问题
  • 安阳做网站多少钱邢台最新通告今天
  • 如何做高并发网站的架构设计地方型旅游网站
  • 网站文章伪原创怎么做网站建设策划基本流程图
  • 条件概率、全概率、贝叶斯
  • 用mvc做网站报告自己的电脑做服务器搭建网站
  • 更换网站模板html所有标签大全
  • 软件模拟存储,SCSI映射StarWind5.4 企业版
  • DFS和BFS算法和回溯算法
  • c++ 标准模板库练习
  • 购物网站建设费用wordpress调用python脚本
  • 基于深度学习的数字图像分类实验与分析
  • 图像视觉——颜色识别
  • 扬州网站建设哪家公司好电商运营适合女生吗
  • HTML应用指南:利用POST请求获取全国兴业银行网点位置信息
  • Excel处理控件Aspose.Cells教程:使用 Python 将 HTML 转换为 Excel
  • 菏泽做网站的公司可玩儿小程序可以加盟么
  • 阿里云发布《AI 原生应用架构白皮书》
  • 如何在百度上注册自己的网站做网站运营有提成吗
  • 分布式数据库架构:从分库分表到NewSQL实战
  • Java的双重检查锁机制(DCL)与懒加载的单例模式
  • Qt代码-QVector向量数组的增删改查插入统计复制
  • 深圳建设门户网站博客wordpress