当前位置: 首页 > news >正文

多模卫星导航定位与应用-原理与实践(RTKLib)3

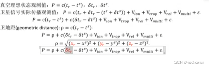
单点精度为m级,使用星历文件,红色的为未知数

l为验前残差

组法方程,最小二乘法求解

rtklib原作者不更新了,新的库是rtklib explorer

https://github.com/rtklibexplorer/RTKLIB/releases

现在的版本是2.5.0,可直接下载exe,也可通过VS2019+QT5编译生成

打开rtkpost,10种定位处理模式,Single伪距单点,第2-第6差分,最后3个是PPP

地心地固坐标系(Earth-Centered, Earth-Fixed,简称ECEF)简称地心坐标系,空间直角坐标

坐标原点与地球质心重合;
z轴指向协议地极;
x轴指向赤道与本初子午线(格林尼治子午线)的交点;
y轴在赤道平面上与xxx轴和zzz轴构成右手笛卡儿坐标系。

rtkcmn.c

enu站心坐标系

转换到enu的协方差

协方差,又称共变异数,被用来描述两个随机变量之间线性相关程度,常用的符号有cov(X, Y),σ(X, Y)等。

协方差 cov(X, Y) 定义为两个随机变量X和Y偏离其期望值的乘积的期望,即cov(X,Y) = E[(X - E[X])(Y - E[Y])] [1]。其中:E[X] 和 E[Y] 分别是随机变量 X 和 Y 的期望值, cov 是协方差的英文 “covariance” 的缩写。当协方差为正值时,表明随机变量X和Y倾向于同时偏离其平均值,呈正相关关系;反之,若协方差为负值,则表明一个变量高于平均值时,另一个倾向于低于平均值,呈负相关关系。如果协方差为零,这意味着两个变量之间没有线性关系。

绕X、Y、Z轴旋转矩阵

地心惯性坐标系(ECI)
         在空间保持静止或匀速直线运动(无加速度)的坐标系称为惯性坐标系。所有惯性器件在测量轴方向产生的都是惯性系下的测量结果。此外,还需要在惯性系下完成卫星绕地球的位置和速度的估计。对于近地卫星,通常采用地心惯性(ECI)坐标系。

地球质心为坐标系原点;
z轴沿着地球自转轴指向协议地极;
x轴位于赤道平面内,并指向春分点;
y轴符合右手笛卡儿坐标系。

跳秒,UTC和GPS时

bdt北斗时,gpstGPS时

转年积日

卫星编号satno

#define SYS_NONE    0x00                /* navigation system: none */
#define SYS_GPS     0x01                /* navigation system: GPS */
#define SYS_SBS     0x02                /* navigation system: SBAS */
#define SYS_GLO     0x04                /* navigation system: GLONASS */
#define SYS_GAL     0x08                /* navigation system: Galileo */
#define SYS_QZS     0x10                /* navigation system: QZSS */
#define SYS_CMP     0x20                /* navigation system: BeiDou */
#define SYS_IRN     0x40                /* navigation system: IRNS */
#define SYS_LEO     0x80                /* navigation system: LEO */
#define SYS_ALL     0xFF                /* navigation system: all */

#define MINPRNGPS   1                   /* min satellite PRN number of GPS */
#define MAXPRNGPS   32                  /* max satellite PRN number of GPS */
#define NSATGPS     (MAXPRNGPS-MINPRNGPS+1) /* number of GPS satellites */
#define NSYSGPS     1

#ifdef ENAGLO
#define MINPRNGLO   1                   /* min satellite slot number of GLONASS */
#define MAXPRNGLO   27                  /* max satellite slot number of GLONASS */
#define NSATGLO     (MAXPRNGLO-MINPRNGLO+1) /* number of GLONASS satellites */
#define NSYSGLO     1
#else
#define MINPRNGLO   0
#define MAXPRNGLO   0
#define NSATGLO     0
#define NSYSGLO     0
#endif
#ifdef ENAGAL
#define MINPRNGAL   1                   /* min satellite PRN number of Galileo */
#define MAXPRNGAL   36                  /* max satellite PRN number of Galileo */
#define NSATGAL    (MAXPRNGAL-MINPRNGAL+1) /* number of Galileo satellites */
#define NSYSGAL     1
#else
#define MINPRNGAL   0
#define MAXPRNGAL   0
#define NSATGAL     0
#define NSYSGAL     0
#endif
#ifdef ENAQZS
#define MINPRNQZS   193                 /* min satellite PRN number of QZSS */
#define MAXPRNQZS   202                 /* max satellite PRN number of QZSS */
#define MINPRNQZS_S 183                 /* min satellite PRN number of QZSS L1S */
#define MAXPRNQZS_S 191                 /* max satellite PRN number of QZSS L1S */
#define NSATQZS     (MAXPRNQZS-MINPRNQZS+1) /* number of QZSS satellites */
#define NSYSQZS     1
#else
#define MINPRNQZS   0
#define MAXPRNQZS   0
#define MINPRNQZS_S 0
#define MAXPRNQZS_S 0
#define NSATQZS     0
#define NSYSQZS     0
#endif
#ifdef ENACMP
#define MINPRNCMP   1                   /* min satellite sat number of BeiDou */
#define MAXPRNCMP   46                  /* max satellite sat number of BeiDou */
#define NSATCMP     (MAXPRNCMP-MINPRNCMP+1) /* number of BeiDou satellites */

SBAS 星基增强系统

#define MINPRNSBS   120                 /* min satellite PRN number of SBAS */
#define MAXPRNSBS   158                 /* max satellite PRN number of SBAS */
#define NSATSBS     (MAXPRNSBS-MINPRNSBS+1) /* number of SBAS satellites */

C01转成satno

satno转成C01

单点定位pntpos.c

/* single-point positioning ----------------------------------------------------
* compute receiver position, velocity, clock bias by single-point positioning
* with pseudorange and doppler observables
* args   : obsd_t *obs      I   observation data
*          int    n         I   number of observation data
*          nav_t  *nav      I   navigation data
*          prcopt_t *opt    I   processing options
*          sol_t  *sol      IO  solution
*          double *azel     IO  azimuth/elevation angle (rad) (NULL: no output)
*          ssat_t *ssat     IO  satellite status              (NULL: no output)
*          char   *msg      O   error message for error exit
* return : status(1:ok,0:error)
*-----------------------------------------------------------------------------*/
extern int pntpos(const obsd_t *obs, int n, const nav_t *nav,
                  const prcopt_t *opt, sol_t *sol, double *azel, ssat_t *ssat,
                  char *msg)
{
    prcopt_t opt_=*opt;
    double *rs,*dts,*var,*azel_,*resp;
    int i,stat,vsat[MAXOBS]={0},svh[MAXOBS];
    
    char tstr[40];
    trace(3,"pntpos  : tobs=%s n=%d\n",time2str(obs[0].time,tstr,3),n);
    
    sol->stat=SOLQ_NONE;
    
    if (n<=0) {
        strcpy(msg,"no observation data");
        return 0;
    }
    sol->time=obs[0].time;
    msg[0]='\0';
    sol->eventime = obs[0].eventime;
    
    rs=mat(6,n); dts=mat(2,n); var=mat(1,n); azel_=zeros(2,n); resp=mat(1,n);
    
    if (ssat) {
        for (i=0;i<MAXSAT;i++) {
            ssat[i].snr_rover[0]=0;
            ssat[i].snr_base[0]=0;
        }
        for (i=0;i<n;i++)
            ssat[obs[i].sat-1].snr_rover[0]=obs[i].SNR[0];
    }
    
    if (opt_.mode!=PMODE_SINGLE) { /* for precise positioning */
        opt_.ionoopt=IONOOPT_BRDC;
        opt_.tropopt=TROPOPT_SAAS;
    }
    /* satellite positions, velocities and clocks */
    satposs(sol->time,obs,n,nav,opt_.sateph,rs,dts,var,svh);
    
    /* estimate receiver position and time with pseudorange */
    stat=estpos(obs,n,rs,dts,var,svh,nav,&opt_,ssat,sol,azel_,vsat,resp,msg);
    
    /* RAIM FDE */
    if (!stat&&n>=6&&opt->posopt[4]) {
        stat=raim_fde(obs,n,rs,dts,var,svh,nav,&opt_,ssat,sol,azel_,vsat,resp,msg);
    }
    /* estimate receiver velocity with Doppler */
    if (stat) {
        estvel(obs,n,rs,dts,nav,&opt_,sol,azel_,vsat);
    }
    if (azel) {
        for (i=0;i<n*2;i++) azel[i]=azel_[i];
    }
    if (ssat) {
        for (i=0;i<MAXSAT;i++) {
            ssat[i].vs=0;
            ssat[i].azel[0]=ssat[i].azel[1]=0.0;
            ssat[i].resp[0]=ssat[i].resc[0]=0.0;
        }
        for (i=0;i<n;i++) {
            ssat[obs[i].sat-1].azel[0]=azel_[  i*2];
            ssat[obs[i].sat-1].azel[1]=azel_[1+i*2];
            if (!vsat[i]) continue;
            ssat[obs[i].sat-1].vs=1;
            ssat[obs[i].sat-1].resp[0]=resp[i];
        }
    }
    free(rs); free(dts); free(var); free(azel_); free(resp);
    return stat;
}

  1. 按照观测数据的顺序,首先将将当前观测卫星的 rs、dts、var和svh数组的元素置 0。
  2. 通过判断某一频率下信号的伪距是否为 0,来得到此时所用的频率个数。注意,频率个数不能大于 NFREQ(默认为 3)。
  3. 用数据接收时间减去伪距信号传播时间,得到卫星信号的发射时间。
  4. 调用 ephclk函数,由广播星历计算出当前观测卫星的钟差。注意,此时的钟差是没有考虑相对论效应和 TGD(Tgd:the time group delay卫星内部 L1、L2信号从产生到发射的时延之差。当使用单频接收机时,用Tgd改正所观测的结果,以减小电离层效应影响提高定位精度;当采用双频接收机时,就不必要采用这个时延差改正。该值在定位计算中,最终应用在卫星钟差计算中。)的。
  5. 用 3中的信号发射时间减去 4中的钟偏,得到 GPS时间下的卫星信号发射时间。
  6. 调用 satpos函数,计算信号发射时刻卫星的 P(ecef,m)、V(ecef,m/s)、C((s|s/s))。注意,这里计算出的钟差是考虑了相对论效应的了,只是还没有考虑 TGD。
  7. 如果由 6中计算出的钟偏为 0,就再次调用 ephclk函数,将其计算出的卫星钟偏作为最终的结果。

extern void satposs(gtime_t teph, const obsd_t *obs, int n, const nav_t *nav,
                    int ephopt, double *rs, double *dts, double *var, int *svh)
{
    gtime_t time[2*MAXOBS]={{0}};
    double dt,pr;
    int i,j;

    char tstr[40];
    trace(3,"satposs : teph=%s n=%d ephopt=%d\n",time2str(teph,tstr,3),n,ephopt);

    for (i=0;i<n&&i<2*MAXOBS;i++) {
        for (j=0;j<6;j++) rs [j+i*6]=0.0;
        for (j=0;j<2;j++) dts[j+i*2]=0.0;
        var[i]=0.0; svh[i]=0;

        /* search any pseudorange */
        for (j=0,pr=0.0;j<NFREQ;j++) if ((pr=obs[i].P[j])!=0.0) break;

        if (j>=NFREQ) {
            trace(2,"no pseudorange %s sat=%2d\n",time2str(obs[i].time,tstr,3),obs[i].sat);
            continue;
        }
        /* transmission time by satellite clock */
        time[i]=timeadd(obs[i].time,-pr/CLIGHT);

        /* satellite clock bias by broadcast ephemeris */
        if (!ephclk(time[i],teph,obs[i].sat,nav,&dt)) {
            trace(3,"no broadcast clock %s sat=%2d\n",time2str(time[i],tstr,3),obs[i].sat);
            continue;
        }
        time[i]=timeadd(time[i],-dt);

        /* satellite position and clock at transmission time */
        if (!satpos(time[i],teph,obs[i].sat,ephopt,nav,rs+i*6,dts+i*2,var+i,
                    svh+i)) {
            trace(3,"no ephemeris %s sat=%2d\n",time2str(time[i],tstr,3),obs[i].sat);
            continue;
        }
        /* if no precise clock available, use broadcast clock instead */
        if (dts[i*2]==0.0) {
            if (!ephclk(time[i],teph,obs[i].sat,nav,dts+i*2)) continue;
            dts[1+i*2]=0.0;
            *var=SQR(STD_BRDCCLK);
        }
        trace(4,"satposs: %d,time=%.9f dt=%.9f pr=%.3f rs=%13.3f %13.3f %13.3f dts=%12.3f var=%7.3f\n",
            obs[i].sat,time[i].sec,dt,pr,rs[i*6],rs[1+i*6],rs[2+i*6],dts[i*2]*1E9,
            var[i]);

    }
    for (i=0;i<n&&i<2*MAXOBS;i++) {
        trace(4,"%s sat=%2d rs=%13.3f %13.3f %13.3f dts=%12.3f var=%7.3f svh=%02X\n",
              time2str(time[i],tstr,9),obs[i].sat,rs[i*6],rs[1+i*6],rs[2+i*6],
              dts[i*2]*1E9,var[i],svh[i]);
    }
}

}
/* satellite position and clock ------------------------------------------------
* compute satellite position, velocity and clock
* args   : gtime_t time     I   time (gpst)
*          gtime_t teph     I   time to select ephemeris (gpst)
*          int    sat       I   satellite number
*          int    ephopt    I   ephemeris option (EPHOPT_???)
*          nav_t  *nav      I   navigation data
*          double *rs       O   sat position and velocity (ecef)
*                               {x,y,z,vx,vy,vz} (m|m/s)
*          double *dts      O   sat clock {bias,drift} (s|s/s)
*          double *var      O   sat position and clock error variance (m^2)
*          int    *svh      O   sat health flag (-1:correction not available)
* return : status (1:ok,0:error)
* notes  : satellite position is referenced to antenna phase center
*          satellite clock does not include code bias correction (tgd or bgd)
*-----------------------------------------------------------------------------*/
extern int satpos(gtime_t time, gtime_t teph, int sat, int ephopt,
                  const nav_t *nav, double *rs, double *dts, double *var,
                  int *svh)
{
    char tstr[40];
    trace(4,"satpos  : time=%s sat=%2d ephopt=%d\n",time2str(time,tstr,3),sat,ephopt);

    *svh=0;

    switch (ephopt) {
        case EPHOPT_BRDC  : return ephpos     (time,teph,sat,nav,-1,rs,dts,var,svh);
        case EPHOPT_SBAS  : return satpos_sbas(time,teph,sat,nav,   rs,dts,var,svh);
        case EPHOPT_SSRAPC: return satpos_ssr (time,teph,sat,nav, 0,rs,dts,var,svh);
        case EPHOPT_SSRCOM: return satpos_ssr (time,teph,sat,nav, 1,rs,dts,var,svh);
        case EPHOPT_PREC  :
            if (!peph2pos(time,sat,nav,1,rs,dts,var)) break; else return 1;
    }
    *svh=-1;
    return 0;
}

BRDC广播星历,PREC精密星历

/* satellite position and clock by broadcast ephemeris -----------------------*/
static int ephpos(gtime_t time, gtime_t teph, int sat, const nav_t *nav,
                  int iode, double *rs, double *dts, double *var, int *svh)
{
    eph_t  *eph;
    geph_t *geph;
    seph_t *seph;
    double rst[3],dtst[1],tt=1E-3;
    int i,sys;

    char tstr[40];
    trace(4,"ephpos  : time=%s sat=%2d iode=%d\n",time2str(time,tstr,3),sat,iode);

    sys=satsys(sat,NULL);

    *svh=-1;

    if (sys==SYS_GPS||sys==SYS_GAL||sys==SYS_QZS||sys==SYS_CMP||sys==SYS_IRN) {
        if (!(eph=seleph(teph,sat,iode,nav))) return 0;
        eph2pos(time,eph,rs,dts,var);
        time=timeadd(time,tt);
        eph2pos(time,eph,rst,dtst,var);
        *svh=eph->svh;
    }
    else if (sys==SYS_GLO) {
        if (!(geph=selgeph(teph,sat,iode,nav))) return 0;
        geph2pos(time,geph,rs,dts,var);
        time=timeadd(time,tt);
        geph2pos(time,geph,rst,dtst,var);
        *svh=geph->svh;
    }
    else if (sys==SYS_SBS) {
        if (!(seph=selseph(teph,sat,nav))) return 0;
        seph2pos(time,seph,rs,dts,var);
        time=timeadd(time,tt);
        seph2pos(time,seph,rst,dtst,var);
        *svh=seph->svh;
    }
    else return 0;

    /* satellite velocity and clock drift by differential approx */
    for (i=0;i<3;i++) rs[i+3]=(rst[i]-rs[i])/tt;
    dts[1]=(dtst[0]-dts[0])/tt;

    return 1;
}

  1. 将 sol->rr的前 3项赋值给 x数组。
  2. 开始迭代定位计算,首先调用 rescode函数(计算伪距残差),计算在当前接收机位置和钟差值的情况下,定位方程的右端部分 v(nv\*1)、几何矩阵 H(NX*nv)、此时所得的伪距残余的方差 var、所有观测卫星的 azel{方位角、仰角}、定位时有效性 vsat、定位后伪距残差 resp、参与定位的卫星个数 ns和方程个数 nv
  3. 确定方程组中方程的个数要大于未知数的个数。
  4. 以伪距残余的标准差的倒数作为权重,对 H和 v分别左乘权重对角阵,得到加权之后的 H和 v。
  5. 调用 lsq函数,根据 和 ,得到当前 x的修改量和定位误差协方差矩阵中的权系数阵。
  6. 将 5中求得的 x加入到当前 x值中,得到更新之后的 x值。
  7. 如果 5中求得的修改量小于截断因子(目前是1e-4),则将 6中得到的 x值作为最终的定位结果,对 sol的相应参数赋值,之后再调用 valsol函数确认当前解是否符合要求(伪距残余小于某个 值和 GDOP小于某个门限值)。否则,进行下一次循环。
  8. 如果超过了规定的循环次数,则输出发散信息后,返回 0。

/* estimate receiver position ------------------------------------------------*/
static int estpos(const obsd_t *obs, int n, const double *rs, const double *dts,
                  const double *vare, const int *svh, const nav_t *nav,
                  const prcopt_t *opt, const ssat_t *ssat, sol_t *sol, double *azel,
                  int *vsat, double *resp, char *msg)
{
    double x[NX]={0},dx[NX],Q[NX*NX],*v,*H,*var,sig;
    int i,j,k,info,stat,nv,ns;
    
    trace(3,"estpos  : n=%d\n",n);
    
    v=mat(n+NX-3,1); H=mat(NX,n+NX-3); var=mat(n+NX-3,1);
    
    for (i=0;i<3;i++) x[i]=sol->rr[i];

    for (i=0;i<MAXITR;i++) {

        /* pseudorange residuals (m) */
        nv=rescode(i,obs,n,rs,dts,vare,svh,nav,x,opt,ssat,v,H,var,azel,vsat,resp,
                   &ns);
        
        if (nv<NX) {
            sprintf(msg,"lack of valid sats ns=%d",nv);
            break;
        }
        /* weight by variance (lsq uses sqrt of weight */
        for (j=0;j<nv;j++) {
            sig=sqrt(var[j]);
            v[j]/=sig;
            for (k=0;k<NX;k++) H[k+j*NX]/=sig;
        }
        /* least square estimation */
        if ((info=lsq(H,v,NX,nv,dx,Q))) {
            sprintf(msg,"lsq error info=%d",info);
            break;
        }
        for (j=0;j<NX;j++) {
            x[j]+=dx[j];
        }
        if (norm(dx,NX)<1E-4) {
            sol->type=0;
            sol->time=timeadd(obs[0].time,-x[3]/CLIGHT);
            sol->dtr[0]=x[3]/CLIGHT; /* receiver clock bias (s) */
            sol->dtr[1]=x[4]/CLIGHT; /* GLO-GPS time offset (s) */
            sol->dtr[2]=x[5]/CLIGHT; /* GAL-GPS time offset (s) */
            sol->dtr[3]=x[6]/CLIGHT; /* BDS-GPS time offset (s) */
            sol->dtr[4]=x[7]/CLIGHT; /* IRN-GPS time offset (s) */
#ifdef QZSDT
            sol->dtr[5]=x[8]/CLIGHT; /* QZS-GPS time offset (s) */
#endif
            for (j=0;j<6;j++) sol->rr[j]=j<3?x[j]:0.0;
            for (j=0;j<3;j++) sol->qr[j]=(float)Q[j+j*NX];
            sol->qr[3]=(float)Q[1];    /* cov xy */
            sol->qr[4]=(float)Q[2+NX]; /* cov yz */
            sol->qr[5]=(float)Q[2];    /* cov zx */
            sol->ns=(uint8_t)ns;
            sol->age=sol->ratio=0.0;
            
            /* validate solution */
            if ((stat=valsol(azel,vsat,n,opt,v,nv,NX,msg))) {
                sol->stat=opt->sateph==EPHOPT_SBAS?SOLQ_SBAS:SOLQ_SINGLE;
            }
            free(v); free(H); free(var);
            return stat;
        }
    }
    if (i>=MAXITR) sprintf(msg,"iteration divergent i=%d",i);
    
    free(v); free(H); free(var);
    return 0;
}

recode伪距残差计算

  1. 将之前得到的定位解信息赋值给 rrdtr数组,以进行关于当前解的伪距残余的相关计算。
  2. 调用 ecef2pos函数,将上一步中得到的位置信息由 ECEF转化为大地坐标系。
  3. 将 vsatazel和 resp数组置 0,因为在前后两次定位结果中,每颗卫星的上述信息都会发生变化。
  4. 调用 satsys函数,验证卫星编号是否合理及其所属的导航系统。
  5. 检测当前观测卫星是否和下一个相邻数据重复。是,则 i++后继续下一次循环;否,则进入下一步。
  6. 调用 geodist函数,计算卫星和当前接收机位置之间的几何距离和 receiver-to-satellite方向的单位向量。然后检验几何距离是否 >0。
  7. 调用 satazel函数,计算在接收机位置处的站心坐标系中卫星的方位角和仰角,检验仰角是否 截断值。
  8. 调用 prange函数,得到伪距值。
  9. 可以在处理选项中事先指定只选用哪些导航系统或卫星来进行定位,这是通过调用 satexclude函数完成的。
  10. 调用 ionocorr函数,计算电离层延时(m)。
  11. 上一步中所得的电离层延时是建立在 L1信号上的,当使用其它频率信号时,依据所用信号频组中第一个频率的波长与 L1波长的关系,对上一步得到的电离层延时进行修正。
  12. 调用 tropcorr函数,计算对流层延时(m)。
  13. 由 ,计算出此时的伪距残余。
  14. 组装几何矩阵,前 3行为 6中计算得到的视线单位向量的反向,第 4行为 1,其它行为 0。
  15. 将参与定位的卫星的定位有效性标志设为 1,给当前卫星的伪距残余赋值,参与定位的卫星个数 ns加 1.
  16. 调用 varerr函数,计算此时的导航系统误差(可能会包括 IFLC选项时的电离层延时),然后累加计算用户测距误差(URE)。
  17. 为了防止亏秩,人为的添加了几组观测方程。

NX=8,H0~H3为单点方程未知数,增加了系统接收机偏差H4~H7

参考文献

https://blog.csdn.net/qq_34885669/article/details/124344320

https://blog.csdn.net/hltt3838/article/details/122840106

http://www.dtcms.com/a/449126.html

相关文章:

  • 数字婵娟:一部关于中秋节的计算主义宣言
  • ED2K技术
  • 【数据结构】顺序表0基础知识讲解 + 实战演练
  • GPU即服务:Linux与云原生如何联手开启AI算力“自来水“时代
  • 【数据结构】算法复杂度
  • 校园网门户网站建设招聘网站如何做
  • 深度学习(十六):数据归一化处理
  • 力扣70.爬楼梯
  • 【深度学习计算机视觉】10:转置卷积
  • 电子商务网站策划素材网站 模板
  • Coze源码分析-资源库-编辑知识库-后端源码-安全/错误处理机制
  • 【无标题】标签单击事件
  • GAMES101:现代计算机图形学入门(Chapter5 光栅化1(三角形遍历))迅猛式学习笔记(附Homework 0)
  • 【Linux操作系统】进程概念
  • 【Linux】Linux进程信号(上)
  • 海思SS528/22AP30开发笔记之环境搭建和SDK编译
  • 算法二分法详解
  • 信号 | 基本描述 / 分类 / 运算
  • 【环境配置 升级gcc】RK3588 Ubuntu20.04 gcc9升级为gcc10
  • 资产信息收集与指纹识别:HTTPX联动工具实战指南
  • 鼠标消息超时处理——实现图形界面自动操作,避免鼠标消息阻塞
  • 用AI帮忙,开发刷题小程序:微信小程序在线答题系统架构解析
  • 用AI帮忙,开发刷题小程序:从零开始,构建微信小程序答题系统
  • 简单一点的网站建设个人网页设计页眉
  • 生成式人工智能赋能高中物理教学:范式转型、实践路径与效果评估
  • ✅XXL-JOB的基本使用
  • Windows+Docker+AI开发板打造智能终端助手
  • Linux如何修改主机名?
  • 虹桥做网站竞价推广平台
  • SQL-窗口函数做题总结