当前位置: 首页 > news >正文

计算机网络物理层

目录

物理层的基本概念

物理层的基本概念

物理层关注的四个主要特性

传输方式

数据通信的基础知识

数据通信系统的模型

有关信道的几个基本概念

信道的极限容量

信道道复用技术

频分复用、时分复用和统计时分复用

波分复用

码分复用

宽带接入技术

ADSL技术

光纤同轴混合网(HFC网)

FTTx技术


物理层的基本概念

物理层的基本概念

物理层的作用主要是解决比特如何在各种传输介质上传输的问题。
它不关心传的是什么数据(内容),也不关心传给谁,只关心怎么把 0/1 信号可靠地放到传输介质上,并接收回来。

因为计算机网络的硬件设备和传输介质种类很多(光纤、电缆、无线、双绞线……),物理层的任务就是屏蔽这些差异,让上层只看到“比特流可以传过去”,不用考虑底层的复杂性。

物理层关注的四个主要特性

1. 机械特性
接口的形状、大小、引脚数量和排列方式,以及固定和插装要求
例如网线插头的规格

2. 电气特性
接口上信号电压范围的规定
例如用 +5V 表示 1,用 0V 表示 0

3. 功能特性
每个信号线的作用是什么
比如某根线负责传数据,某根线负责提供时钟

4. 过程特性
不同信号可能出现的时序关系
例如“先发地址,再发数据”,这是传输过程中步骤的顺序

传输方式

计算机内部的数据是并行传输(多个比特同时走在总线上)

但在通信线路(网线、光纤等)上传输时,一般使用串行传输(比特一个接一个排队过去)
原因:经济、实现方便

物理层不管内容,只管比特如何在不同介质上传输

它要统一接口规范,保证各种设备能互联

常见的介质有:双绞线、同轴电缆、光纤、无线电波

物理层 = 比特传输+接口规范

数据通信的基础知识

数据通信系统的模型

一个完整的数据通信系统,可以分成三部分:

1. 源系统(发送端)

产生要传输的数据
包含:
源点:数据的产生者,比如键盘输入汉字,电脑里形成数字比特流
发送器:把数据编码成适合传输的信号。例如调制解调器,把数字信号转成模拟信号,才能在电话线上传输

2. 传输系统

负责把信号从发送端传到接收端
可以是简单的电缆、光纤、无线电波,也可以是复杂的网络(如互联网)

3. 目的系统(接收端)

接收并还原数据
包含:
接收器:把接收到的信号还原成数字比特流。例如解调器
终点:最终使用数据的设备,比如把汉字显示在接收方计算机屏幕上

具体工作流程(图 2-1)
输入阶段:用户在计算机键盘输入汉字并转化成数字比特流
调制阶段:发送端通过调制器,把数字比特流转为模拟信号
传输阶段:模拟信号通过公用电话网传输
解调阶段:接收端的解调器,把模拟信号还原为数字比特流
输出阶段:数字比特流送到计算机并在屏幕上显示汉字

常用术语
消息:要传输的内容(话音、文字、图片、视频)
数据:消息的表示形式,是可以处理和存储的符号
信号:数据在传输系统中的电或电磁表现形式

信号的两种分类

1. 模拟信号(连续信号)
参数取值连续
例如电话线里传输的波形(声音波)就是模拟信号

2. 数字信号(离散信号)
参数取值是离散的
例如计算机输出的二进制比特流(0 和 1)
 

码元

1. 背景

在数字通信中,需要通过信号来表示消息
如果是数字信号(离散信号),就意味着信号只能取有限个不同的值(不像模拟信号那样是连续的)
比如在计算机里,最常见的就是二进制信号 0 和 1

2. 什么是码元

在数字通信中,用来表示一个离散数值的基本波形,就叫做码元
可以理解为最小的单位信号
它在一个固定的时间间隔(称为码元宽度符号周期)里维持某个状态,表示一个离散的数值

举例:
在二进制通信里,只有两种码元:
一种波形(电压高)表示 1
另一种波形(电压低)表示 0

如果是四进制通信,就会有 4 种不同的码元,每个码元可能对应两个二进制比特(00、01、10、11)

3. 码元和比特的关系

比特:是信息量的单位(0 或 1)
码元:是物理信号的单位,它在传输线上实际表现出来

比特:逻辑信息量(0/1)

码元:抽象的信号单元(在一个符号周期里要表现什么状态)

物理信号:具体实现码元的方式(电压、光、射频波等)

可以说:
物理信号是实现码元的方式
码元是承载比特的单元

对应关系:
如果用二进制调制(两种码元),那么一个码元 = 1 比特
如果用四进制调制(四种码元),那么一个码元 = 2 比特
如果用八进制调制(八种码元),那么一个码元 = 3 比特。

公式:
1 码元可以携带的比特数=log2​(M)       
其中 M 是码元的种类数

码元 = 波形单位,是物理层里真正传输的最小信号块

比特 = 信息单位,逻辑层里处理的 0/1

码元携带比特,码元种类越多,传输效率越高

有关信道的几个基本概念

信道的基本概念

信道 (Channel):信息在传输介质上的一个方向的通路
一条通信电路 = 发送信道 + 接收信道 

通路:单方向传输信息的路径

通信电路:通常由两条反向的通路组成,保证双方都能通信

按照方向区分的三种通信方式

1. 单向通信(单工)
只能单方向传输,不能反向
例子:无线电广播、电视

2. 双向交替通信(半双工)

双方都能发,也都能收,但不能同时
一次只能一方说话,另一方要等
例子:对讲机

3. 双向同时通信(全双工)

双方能同时发、同时收
每个方向需要独立信道
例子:电话

基带信号 & 调制
基带信号(基本频带信号):源设备直接产生的信号,比如计算机输出的数字比特流
问题:基带信号频率低,不能直接在电话线、无线电中传很远

频带,即带宽,指信号所占据的频带宽度;在被用来描述信道时,带宽是指能够有效通过该信道的信号的最大频带宽度。对于模拟信号而言,带宽又称为频宽,以赫兹(Hz)为单位。例如模拟电话的信号带宽为3100Hz,一个PAL-D电视频道的带宽为8MHz(含保护带宽)。对于数字信号而言,带宽是指单位时间内链路能够通过的数据量。例如ISDN的B信道带宽为64Kbps。由于数字信号的传输是通过模拟信号的调制完成的,为了与模拟带宽进行区分,数字信道的带宽一般直接用波特率或符号率来描述

解决方法是调制,调制分为两大类:

一类是仅仅对基带信号的波形进行变换,使它能够与信道特性相适应。变换后的信号仍然是基带信号。这类调制称为基带调制。由于这种基带调制是把数字信号转换为另一种形式的数字信号,因此大家更愿意把这种过程称为编码(coding)

另一类调制则需要使用载波(carrier)进行调制,把基带信号的频率范围搬移到较高的频段,并转换为模拟信号,这样就能够更好地在模拟信道中传输。经过载波调制后的信号称为带通信号(即仅在一段频率范围内能够通过信道),而使用载波的调制称为带通调制

带通信号:经过调制后,频谱只存在于某一频率范围内,只有这段频率能通过信道
信道的特性:信道像个过滤器,只让某个频段的信号过去,其他频率的信号会被削弱或消失  

数字信号的常用编码方式

数字信号就是 0/1,要把它们变成电平(高低电压)才能传输。不同的编码方式就是规定 0/1 对应的电平变化规则

常见编码方式:

1. 不归零制 (NRZ)

正电平代表 1,负电平代表 0
缺点:长时间连续 0 或 1 时,没有跳变,容易失去同步

2. 归零制 (RZ)

正脉冲代表 1,负脉冲代表 0
每个位都要回到零电平
缺点:占用频带宽

3. 曼彻斯特编码

每一位的中间一定有一次跳变:
中间“上跳” = 0
中间“下跳” = 1
优点:自带时钟同步,不会丢失节拍

4. 差分曼彻斯特编码

每个位的中点必定跳变
位开始边界是否跳变用来区分 0 和 1
跳变是 0,没跳变是 1
优点:抗干扰更强,也有自同步能力

基本的带通调制方法

当基带信号(0/1 电平)要在电话线、无线电里传输时,需要调制成高频波形
三种最基本的调制:


调幅 (AM, Amplitude Modulation)
用载波的振幅变化表示 0/1
例子:1 = 有波,0 = 无波

调频 (FM, Frequency Modulation)
用载波的频率变化表示 0/1
例子:1 = 高频 f1,0 = 低频 f2

调相 (PM, Phase Modulation)
用载波的相位变化表示 0/1
例子:1 = 相位 180°,0 = 相位 0°

相位 = 0°  从零点向上开始
相位 = 90°  正弦波到达最高点
相位 = 180°  回到零点向下
相位 = 270°  到达最低点
相位 = 360°  回到零点,完成一个周期

信道的极限容量

信道的极限容量指的是在一条通信线路上,数据传输速率最高能到多少

1. 为什么存在极限容量?

真实的信道都有问题:带宽有限、噪声干扰、失真等
数字通信的优点:只要接收端还能分辨出码元是 0 还是 1,那么小的失真就可以忽略
但是如果失真太严重,接收端就分不清楚,无法识别码元

图 2-4 解释了这个现象:
(a) 信号有失真但还能识别
(b) 失真过大,接收端根本分不清

结论:传输速率越高、距离越远、噪声越强,失真越严重,最终会出现不可识别的情况

2. 限制传输速率的两个主要因素

(1) 信道的频率范围(带宽)

发送信号里包含高频分量,但信道往往通不过,导致波形变形
波形失真导致码间串扰(相邻码元之间干扰)

奈奎斯特准则:
在带宽为 W Hz 的理想低通信道里(不考虑噪声),码元传输的最高速率 = 2W 码元/秒      
如果带宽 4000 Hz ,最高速率 8000 码元/秒
超过这个速率,就会严重码间串扰,接收端分不清

带宽是指能够有效通过该信道的信号的最大频带宽度

(2)信噪比

噪声:存在于所有通信系统中,随机变化,会导致接收端把 1 误判为 0 或 0 误判为 1
信噪比 = 信号平均功率 ÷ 噪声平均功率,记作 S/N
信噪比一般用分贝 (dB) 表示:

例如 S/N = 10 → 10 dB
S/N = 1000 → 30 dB    

结论:信号越强、噪声越弱 → 信噪比越大,通信质量越好

香农公式

1948 年,香农提出了著名的公式,给出了信道的极限信息传输速率:

W:信道带宽 (Hz)
S/N:信噪比

结论:
带宽越大、信噪比越高 → 极限速率越高
只要传输速率低于 C,就一定能找到方法实现无差错传输(理论上)
如果超过 C → 必然出错

编码提高效率

除了提高带宽和信噪比,还可以用更高级的编码让一个码元承载更多比特信息

例子:
普通情况:每个码元表示 1 bit
如果把 3 个 bit 编成一个码元(8 种状态),那么 1 个码元可以表示 3 bit → 速率提高 3 倍
如果 8 bit 编成一个码元(256 种状态),那么 1 个码元可以表示 8 bit
但问题是接收端必须能准确分辨 256 种码元中的哪一个,信噪比不够高时就做不到

信道道复用技术

频分复用、时分复用和统计时分复用

复用= 让很多用户共同用一条“粗管道”,做法主要有三种:频分复用 FDM、时分复用 TDM、统计时分复用 STDM。再配套两个盒子:复用器 MUX(把多路合成一路)和分用器 DEMUX(把一路拆回多路)

为什么要复用?

如果 A、B、C…各自拉一根独占链路,成本爆表
用复用:多路低速/独立的支路 ⇄(在 MUX 处“合成”)⇄ 一条高速共享干线 ⇄(在 DEMUX 处“拆分”)⇄ 多个终端

代价:需要 MUX/DEMUX 设备、要做同步/滤波/调度;但只要共享干线足够“粗”,总体更省钱

频分复用 FDM(Frequency Division Multiplexing)

类比:一条高速公路划成多条并行车道,每个用户固定一条车道;大家同时走,但互不干扰

频分复用将信道的总频带划分为若干个互不重叠的子频带,并将各路信号分别调制到不同的载波频率上,使它们在同一信道中同时传输,互不干扰

特点:
        各用户连续占用各自的频带;实时、延迟小
        带宽是按“车道”长期保留的,空跑也占带宽
        设备侧需要滤波器、频谱规划;适合模拟/连续业务(广播、有线电视、早期电话)

效率 ≈(各子带带宽之和)/(分配的总带宽),受保护带影响

FDMA(Frequency Division Multiple Access)= 把 FDM 用成多用户接入的办法,本质上还是频分,只是强调允许很多用户接入同一介质

FDM 就像修了一条多车道高速公路

FDMA 就是给不同用户发车道通行证,每人固定走一条车道

FDM = 技术(怎么切频谱)

FDMA = 策略(让不同用户接入共享介质,每人分一段频谱)

时分复用 TDM(Time Division Multiplexing)

时分复用将时间划分为一系列周期性重复的时隙(time slot),并按照固定顺序把每个时隙分配给不同的用户,使多路低速信号能够在同一条高速信道上轮流传输

用户速率:

例子(电话TDM):
E1系统每 125 μs 为一帧,共 32 个时隙(其中30路语音,每路在自己的时隙放入8 bit 采样),每路语音 64 kb/s;干线把30路交替送出,看起来同时,本质是轮流

先算每秒多少采样

每秒有 8000 个采样

每秒多少比特
8000 采样/秒×8 bit/采样=64000 bit/秒

转换成 kb/s

64000 bit/s=64 kb/s

优点:
技术实现相对简单
特别适合等时、连续型的数字业务,比如数字语音,每 125 μs 采样一次,形成 E1/T1 体系

缺点:
当某个用户在某帧内没有数据时,该时隙仍然保留,导致带宽浪费
系统存在抖动和延迟,典型量级约为半个帧周期

TDMA(Time Division Multiple Access):将 TDM 用于多用户共享接入的场景,即多用户通过分时隙的方式共享同一物理信道

注意:FDMA或TDMA中的“MA”表明多址,意思是强调这种复用信道可以让多个用户接入进来。而“FD”或“TD”则表示所使用的复用技术是频分复用或时分复用。但术语FDM或TDM则说明是在频域还是在时域进行复用,而并不强调复用的信道是用于多个用户还是一个用户

统计时分复用 STDM(Statistical TDM)

统计时分复用通过对各支路的输入数据进行缓存与动态调度,根据各用户的实际数据发送情况按需分配时隙,从而在一条公共信道上实现多路信号的高效传输。

与同步时分复用不同,STDM 的帧中时隙分配不固定,每个数据段附带通道标识(地址或编号),接收端据此将数据正确分发到相应用户。

简单来说就算是TDM 固定时隙会浪费。STDM 解决了浪费,按需分配时隙,谁有数据谁上车,不再保证每帧人人都有固定时隙。

STDM = 动态分时 + 按需分配时隙 + 带地址识别 + 高效率但有时延抖动

波分复用

波分复用 WDM 的概念

WDM (Wavelength Division Multiplexing):就是把光纤的频分复用用在光通信中。
光波载波的频率极高(THz 级别),所以我们习惯用波长 (nm) 而不是频率来表示。
核心思路:在一根光纤里,同时传多个不同波长的光信号,每个波长就像一条独立的“光通道”。

发展阶段

最初只能在一根光纤上传 2 路光信号(两个波长),称为 WDM(波分复用)
后来可以复用几十个甚至上百个波长,称为 DWDM(Dense WDM,密集波分复用)
例子:每路 40 Gbit/s × 64 路 = 2.56 Tbit/s
所以 DWDM 已经是今天骨干网光纤的关键技术

WDM 的工作方式

1. 光调制器:把数字信号调到特定波长(如 1550nm, 1551nm…)
2. 复用器 (Multiplexer):把多个不同波长的光合并到一根光纤里
3. 光纤传输:光信号在同一根光纤里传输
4. 分用器 (Demultiplexer, 又叫分波器):把合在一起的不同波长拆开,还原成多路独立光信号

码分复用

什么是码分复用(CDM/CDMA)
CDM (Code Division Multiplexing):码分复用,一种让多个用户在同一信道里通信的方式。
CDMA (Code Division Multiple Access):码分多址,表示多个用户可以同时接入通信。

在 码分复用 (CDM) 里:
每个用户在发送数据前,先把自己的数据用一组特定的编码序列(也叫码片序列)扩展
这些码序列之间具有正交性(互不干扰)
所以即使多个用户的信号叠加在一起,接收端用对应的解码序列就能把属于自己的那部分提取出来


频分复用是不同用户用不同频率
时分复用是不同用户用不同时间片
而码分复用就是所有用户都用相同的频率和时间,但用不同的“码”来区分

每个用户的数据在传输前会被扩展成一个码片序列码片之间互不干扰,通过接收端解码可以区分开不同用户的信号。

想象在一个房间里,有很多人同时说话:
如果每个人用不同的“时间”说话 → 就是 TDM(时分)
 如果每个人用不同的“频率”说话 → 就是 FDM(频分)
 而如果大家同时、在同一个频率说话,但每个人用不同语言(中文、英文、日语……)
你就能只听懂属于你语言的那一个,这就是 CDM(码分)  
“语言”在这里就相当于 “码”
一句完整的话(“语言”)由很多个字组成,每个“字”对应一个码片
所以码片就是组成“专属语言”的最小单位

”码片序列” 是你说出的整句话

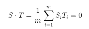
数学表示

设站点 S 的码片序列是向量 S = (S₁, S₂, …, Sₘ),
站点 T 的码片序列是 T = (T₁, T₂, …, Tₘ)。

它们的正交性要求:

意思是不同站点的码片向量点积为 0(互不干扰)

同时,一个码片序列和它自己的内积恒等于 1:
S⋅S=1

而一个码片序列和它的反码的内积恒等于 -1

CDMA 的工作原理
假设有多个用户(站点)同时发数据,所有用户的信号会混合在一起。
接收端拿到的信号是所有用户信号的叠加。
但接收端只要用“匹配滤波器”或“相关运算”去和自己站点的码片序列做内积,就能把属于自己的信号提取出来,而其他用户的信号由于正交性,结果为 0,不会干扰。

CDMA 的优点
抗干扰能力强:因为信号被扩展到更宽的频带,即使有噪声或干扰,也能恢复。
容量大:理论上允许更多用户同时共享同一频带。
保密性好:码片序列相当于“密钥”,没有正确的码无法解码。
无线通信优势明显:GSM 系统一个频带最多 4-5 倍容量,而 CDMA 可以进一步提升。

扩频:把原始的数据比特扩展成更长的码片序列,让信号占用更宽的频带,抗干扰能力增强

宽带接入技术

ADSL技术

ADSL(Asymmetric Digital Subscriber Line,非对称数字用户线)是用数字技术改造传统的模拟电话线,使其可以承载宽带数字业务

传统电话线频率范围:300–3400 Hz

实际铜线可承受的频率:>1 MHz
也就是说,电话线的高频部分原来没用,现在被开辟出来传输上网数据

ADSL 把 0–4 kHz 留给普通电话语音,把高频部分分配给用户上网
因为互联网下载(ISP→用户)数据量远大于上传(用户→ISP),所以 ADSL 是非对称的,下行带宽大、上行带宽小

光纤同轴混合网(HFC网)

HFC = Hybrid Fiber Coax = 光纤 + 同轴电缆混合
它是在有线电视网的基础上发展出来的宽带接入网
除了能传电视,还能提供电话、数据、宽带上网等业务
早期有线电视网:完全靠同轴电缆(树形拓扑),频分复用模拟传输 → 只能单向广播电视
后来改造 → 光纤到前端 + 同轴到用户,形成现在的 HFC 网

早期有线电视网(全同轴):就像古代的驿道系统。信使(电视信号)从京城(电视台)出发,骑着马沿着土路(同轴电缆)一个驿站一个驿站(放大器)地跑,最终送到边疆(用户家)。路途遥远,速度慢,而且只能从京城到边疆单向传递信息。

现代的HFC网(光纤+同轴):就像现代物流系统

光纤到前端:相当于用喷气式飞机(光纤)把货物从中央仓库(总台)快速、无损地运到各个城市的区域分拨中心(光节点)

同轴到用户:相当于从区域分拨中心出来,再用小货车(同轴电缆)进行“最后一公里”的配送,把货物送到每个小区和每家每户

双向通信:这个系统不仅有从中心到用户的“配送”服务(下行),还有从用户到中心的“退货和下单”服务(上行)

FTTx技术

为什么需要 FTTx?

随着互联网视频(高清视频、流媒体等)的普及,用户对更高带宽、更快下载和上传速度的需求越来越大。于是运营商需要升级接入方式。
ADSL、HFC 已经不能完全满足高带宽需求。
光纤接入(FTTx)逐渐成为主流,尤其是光纤直接入户(FTTH),能提供最高速率。

什么是 FTTx?

FTTx = Fiber To The x,这里的 x 代表不同的光纤接入终点。

FTTx(总称)
 ├── FTTH:光纤到户(家)
 ├── FTTB:光纤到楼
 ├── FTTC:光纤到路边
 └── FTTN:光纤到节点

PON 无源光网络(Passive Optical Network)

光纤接入一般配合无源光网络 PON 来使用,PON 的最大特点是无源(光分路器不需要电源),降低维护成本。

组成:
OLT (Optical Line Terminal):局端设备,放在运营商机房
ODN (Optical Distribution Network):无源光分配网,光分路器等组成
ONU (Optical Network Unit):用户端设备,比如家庭光猫

工作方式:
下行:OLT 发数据,分光器把信号分发给多个 ONU
上行:ONU 把用户数据发回 OLT,但必须用 TDMA 方式避免冲突(不同时间片上传)

PON 技术分类

EPON (Ethernet PON)
基于以太网,标准是 IEEE 802.3ah
优点:兼容现有以太网,扩展性强,成本低

GPON (Gigabit PON)
ITU-T G.984 标准(2003 年开始)
采用 通用封装方法 GEM,支持多种业务(语音、视频、数据),QoS(服务质量)更好
速率比 EPON 高,但成本也更高
现在国内大部分运营商用的是 GPON

http://www.dtcms.com/a/441829.html

相关文章:

  • 2025 最新 Docker 镜像源加速列表与使用指南(10月更新)
  • D3.js简介:用于定制数据可视化的JavaScript库
  • 数据可视化的陷阱:颜色、坐标轴、双轴图的误导性案例
  • 大数据Spark(六十六):Transformation转换算子sample、sortBy和sortByKey
  • 基于Python的招聘信息可视化分析系统
  • 深圳网站建设公司平台专业做曝光引流网站
  • LabVIEW超声换能器成像
  • 网站是否降权查询城市建设灯具网站
  • StatefulSet:有状态应用的“定海神针”
  • Go 语言的 panic 和 recover
  • Spring Cloud Netflix Eureka:从微服务基础到高可用集群实战
  • 网站建设 人天价格游戏制作软件免费下载
  • CSP-S2025复赛模拟4补题报告(无AC code)
  • 什么是Agent及其在人工智能中的角色
  • 爱授权系统V3.0免授权版 支持插件和插件商城
  • MySQL 本机压测分析
  • 华清远见25072班C++学习假期10.4作业
  • 建网站学什么软件全国医院的网站建设
  • 【深度学习计算机视觉】09:语义分割和数据集——应用场景与前沿探索
  • 【LeetCode热题100】No.1——两数之和(Java)
  • 系分论文《论边缘计算在工业质检系统中的分析与设计》
  • 利用 ArcMap 的 MXD 布局视图以及ArcPy 脚本实现批量自动生成油井点之记并导出 PDF(实操+亲测)
  • 计算机工作原理(简单介绍)
  • 自己如何建设网站聊天室做医药代表去什么招聘网站
  • 指针和数组解析
  • 【AI4S】3DSMILES-GPT:基于词元化语言模型的3D分子生成
  • Transformer推理优化全景:从模型架构到硬件底层的深度解析
  • MySQL 索引全解析:结构、优化与索引下推实战指南​
  • clear configuration interface概念及题目
  • 设计模式(C++)详解——策略模式(1)