深度学习中的正交化:理论、应用与实现
摘要:本文系统阐述“正交化”(Orthogonalization)在深度学习中的数学本质、核心作用及典型应用场景。我们将从线性代数基础出发,推导 Gram-Schmidt 正交化过程,介绍正交初始化、正交约束、特征解耦等关键技术,并提供 PyTorch 的完整代码实现。
一、引言:为何需要正交化?
在深度神经网络训练中,我们常面临以下问题:
- 梯度爆炸/消失:深层网络中梯度逐层放大或衰减;
- 优化困难:参数空间高度相关,导致损失曲面崎岖;
- 表示冗余:特征向量之间存在强相关性,降低模型效率。
正交化(Orthogonalization)通过强制权重矩阵或特征向量保持正交性(即相互垂直、无冗余信息),可有效缓解上述问题。
✅ 核心思想:
若权重矩阵满足
,则其列向量构成一组标准正交基,能保持输入信号的范数不变,从而稳定前向传播和反向传播。
二、数学基础:什么是正交化?
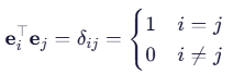
2.1 正交向量与正交矩阵
- 正交向量:两个向量
满足
- 标准正交基:一组向量
满足

- 正交矩阵:方阵
满足
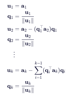
2.2 Gram-Schmidt 正交化过程
给定线性无关向量组,构造正交基
:

💡 该过程将任意基转化为标准正交基,是正交化的经典算法。
三、正交化在深度学习中的三大应用
3.1 正交初始化(Orthogonal Initialization)
动机
- Xavier/Glorot 初始化假设激活函数线性,但在 ReLU 等非线性下失效;
- 正交初始化保证初始权重矩阵为正交矩阵,使信号在前向传播中范数不变。
数学原理
设输入,权重
,若
正交
,则:
即使,也可通过 SVD 构造近似正交矩阵。
实现方式
- 对随机矩阵
进行 SVD 分解:
- 取
(若 ( m > n ))或
(若 ( m < n ))
3.2 正交约束(Orthogonal Regularization)
动机
- 训练过程中权重可能偏离正交性;
- 添加正交惩罚项,鼓励
损失函数设计
其中 为
范数。
⚠️ 注意:该方法计算开销大,通常用于小规模网络或特定层。
3.3 特征解耦(Disentangled Representation)
动机
- 学习到的特征应尽可能独立(如人脸图像中:表情、姿态、光照应分离);
- 正交性是解耦的一种强形式。
方法
- 在潜在空间施加正交约束;
- 使用正交投影层(Orthogonal Projection Layer)。
四、代码实现
4.1 正交初始化(PyTorch)
import torch
import torch.nn as nndef orthogonal_init(layer, gain=1.0):"""对线性层进行正交初始化"""if isinstance(layer, nn.Linear):nn.init.orthogonal_(layer.weight, gain=gain)if layer.bias is not None:nn.init.zeros_(layer.bias)# 示例:构建带正交初始化的网络
class OrthoNet(nn.Module):def __init__(self):super().__init__()self.fc1 = nn.Linear(784, 256)self.fc2 = nn.Linear(256, 128)self.fc3 = nn.Linear(128, 10)# 应用正交初始化orthogonal_init(self.fc1)orthogonal_init(self.fc2)orthogonal_init(self.fc3, gain=1.0) # 输出层通常不用缩放def forward(self, x):x = torch.relu(self.fc1(x))x = torch.relu(self.fc2(x))return self.fc3(x)
4.2 正交约束(自定义正则化)
def orthogonal_regularization(W, lambda_reg=1e-3):"""计算正交正则化项: ||W^T W - I||_F^2"""m = W.shape[0] # 输出维度n = W.shape[1] # 输入维度if m >= n:# W^T W 应接近 I_ntarget = tf.eye(n)gram = tf.matmul(W, W, transpose_a=True) # W^T Welse:# W W^T 应接近 I_mtarget = tf.eye(m)gram = tf.matmul(W, W) # W W^Treturn lambda_reg * tf.reduce_sum(tf.square(gram - target))# 在损失函数中使用
loss = task_loss + orthogonal_regularization(W1) + orthogonal_regularization(W2)
4.3 完整训练示例(MNIST + 正交初始化)
import torch
import torch.nn as nn
import torchvision
import torchvision.transforms as transforms# 数据加载
transform = transforms.Compose([transforms.ToTensor()])
trainset = torchvision.datasets.MNIST(root='./data', train=True, download=True, transform=transform)
trainloader = torch.utils.data.DataLoader(trainset, batch_size=128, shuffle=True)# 模型
class Net(nn.Module):def __init__(self):super().__init__()self.fc1 = nn.Linear(784, 512)self.fc2 = nn.Linear(512, 256)self.fc3 = nn.Linear(256, 10)self._initialize_weights()def _initialize_weights(self):for m in self.modules():if isinstance(m, nn.Linear):nn.init.orthogonal_(m.weight)nn.init.zeros_(m.bias)def forward(self, x):x = x.view(-1, 784)x = torch.relu(self.fc1(x))x = torch.relu(self.fc2(x))return self.fc3(x)# 训练
device = torch.device('cuda' if torch.cuda.is_available() else 'cpu')
model = Net().to(device)
criterion = nn.CrossEntropyLoss()
optimizer = torch.optim.Adam(model.parameters(), lr=0.001)for epoch in range(10):for inputs, labels in trainloader:inputs, labels = inputs.to(device), labels.to(device)optimizer.zero_grad()outputs = model(inputs)loss = criterion(outputs, labels)loss.backward()optimizer.step()print(f'Epoch {epoch+1}, Loss: {loss.item():.4f}')
五、局限性与注意事项
- 仅适用于全连接层和 RNN:CNN 的卷积核结构不适合直接正交化;
- 不能完全替代 BatchNorm:BN 解决的是内部协变量偏移,正交化解决的是信号缩放问题;
- 过强的正交约束可能限制表达能力:需合理设置正则化强度 ( \lambda )。
六、总结
| 技术 | 作用 | 适用场景 |
|---|---|---|
| 正交初始化 | 稳定初始信号流 | 全连接网络、RNN |
| 正交约束 | 训练中维持正交性 | 小规模网络、生成模型 |
| 特征正交化 | 学习解耦表示 | 自监督学习、VAE |
🔑 核心价值:
正交化通过消除冗余、保持尺度、增强独立性,为深度学习提供了更稳定、高效的优化路径。
