深度学习基础知识总结(一):深入理解卷积(Convolution)
在深度学习的世界中,卷积(Convolution)无疑是最核心的概念之一。无论是图像识别、目标检测,还是语音处理、自然语言理解,卷积操作都扮演着“特征提取”的重要角色。今天我们就从最基础的角度,带你彻底搞懂卷积的原理与作用。
一、为什么需要卷积?
在卷积神经网络(CNN)出现之前,我们处理图像的方式往往依赖“全连接层”。但图像的像素数量巨大,例如一张 224×224 的彩色图片有超过 15 万个输入特征,这样的网络不仅参数多,而且难以捕捉局部信息。
卷积操作的出现,正是为了解决这两个问题:
参数共享(Parameter Sharing) —— 一个卷积核在整个图像上滑动,同一个权重组反复使用,大幅减少参数数量。
局部感受野(Local Receptive Field) —— 卷积操作只关注局部区域,能够有效捕捉局部特征,如边缘、角点等。
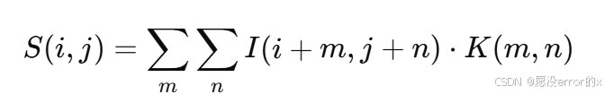
二、卷积的数学原理
以二维卷积为例,假设输入为一张灰度图像 III,卷积核(Filter)为 KKK,卷积操作可表示为:

通俗地说,就是把卷积核在图像上滑动,每次计算核内像素与图像对应区域像素的加权和。
输入图像 (5×5) 卷积核 (3×3)
------------------ --------------
|1 2 3 0 1| |1 0 1|
|0 1 2 3 1| |0 1 0|
|1 0 1 2 3| |1 0 1|
|2 1 0 1 2|
|3 2 1 0 1|当卷积核位于图像左上角时,计算:
(1×1 + 2×0 + 3×1 + 0×0 + 1×1 + 2×0 + 1×1 + 0×0 + 1×1) = 9
如此滑动卷积核,就得到了新的特征图(Feature Map)。
三、步长(Stride)与填充(Padding)
卷积并非只有“滑动+乘法”这么简单,步长和填充是影响输出特征图大小的重要因素。
步长(Stride):卷积核每次滑动的像素数。步长越大,输出尺寸越小。 你可以把卷积核想象成一个“放大镜”,在图像上滑动,观察局部区域。
当 步长 = 1 时,相当于放大镜“挪一步看一格”,观察得很仔细,每个像素几乎都被覆盖;
当 步长 = 2 时,相当于“隔一格看一格”,看得更快,但细节信息丢失一些;
当 步长 = 3 时,就像“走大步子”,只挑关键点看一眼,图像被大幅压缩。
填充(Padding):在图像边缘补零,使输出尺寸与输入一致(常见的有
same和valid两种)。假设我们卷积一张 5×5 的猫脸图片,使用 3×3 卷积核。如果不填充,最外面一圈像素(比如猫的胡须)几乎不会被卷积核看到;如果我们 在四周补一圈 0(Padding=1),那么卷积核就可以“看到”整张猫脸的每个区域。
计算公式如下:

其中:
O:输出尺寸
W:输入尺寸
K:卷积核大小
P:填充大小
S:步长
四、卷积层在CNN中的作用
在深度学习模型中,不同层的卷积有不同的“职责”:
| 卷积层类型 | 提取特征层次 | 举例说明 |
|---|---|---|
| 第一层卷积 | 低级特征 | 边缘、线条、颜色变化 |
| 中间层卷积 | 中级特征 | 纹理、形状、局部结构 |
| 深层卷积 | 高级特征 | 语义信息(如“猫的脸”、“汽车轮胎”) |
卷积层叠加后,网络就能逐渐从像素级信息中学习到抽象语义,这正是深度学习强大的原因所在。
五、卷积的类型
普通卷积(Standard Convolution)
最常见的形式,卷积核在所有通道上作用。深度可分离卷积(Depthwise Separable Convolution)
被 MobileNet 等轻量化模型采用,先对每个通道独立卷积(Depthwise),再做通道融合(Pointwise)。空洞卷积(Dilated Convolution)
用于扩大感受野而不增加参数量,常见于语义分割网络(如 DeepLab)。
六、可视化卷积:看见模型在看什么
一个有趣的实践是“卷积可视化”:
通过展示卷积核或特征图,我们可以看到网络学习到的模式。例如,第一层的卷积核通常类似“边缘检测器”,而高层卷积核则捕捉到语义结构。
# 示例代码:可视化卷积核
import torch
import torchvision.models as models
import matplotlib.pyplot as pltmodel = models.vgg16(pretrained=True)
weights = model.features[0].weight.data # 第一层卷积权重plt.figure(figsize=(10, 10))
for i in range(16):plt.subplot(4, 4, i + 1)plt.imshow(weights[i][0].cpu(), cmap='gray')plt.axis('off')
plt.show()
七、总结
卷积的核心思想就是局部连接 + 参数共享,它让神经网络既高效又强大。理解卷积不仅能帮助我们掌握 CNN 的原理,也为后续学习池化(Pooling)、激活函数(ReLU)、批归一化(BatchNorm)等知识打下坚实基础。
在下一篇文章中,我们将继续深入讲解 —— 激活函数(Activation Function) 的作用与设计思想。
