一阶时域信号的分类
信号与系统分析中最核心的三个基本一阶时域信号:单位阶跃信号、单位斜变信号和单位冲击信号。理解它们是理解整个系统分析的基础。
一、单位阶跃信号
单位阶跃信号通常用符号 u(t) 或 ε(t) 表示。
定义

在 t=0 时刻,信号从0跃变到1。其值在跳变点可以定义为1、0或1/2,但在经典信号分析中通常定义为1。
物理意义与作用
“开关”作用:它可以用来表示一个在 t=0 时刻突然接通(或开始作用)的直流信号。
- 例如,一个1V的直流电源在 t=0 时接通,其电压可表示为:v(t)=1⋅u(t) V。
表示信号的作用区间:利用单位阶跃信号,可以方便地表示任何有始信号或截取信号的某一段。
例如,一个门函数(矩形脉冲)可以表示为两个阶跃信号之差:
G(t)=u(t−a)−u(t−b)这表示一个从 t=a 开始,到 t=b 结束的矩形脉冲。
因果系统的表征:因果系统的单位冲激响应 h(t) 必须满足 h(t)=0,∀t<0,这通常可以写成 h(t)=[某些表达式]⋅u(t)。
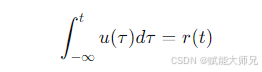
二、单位斜变信号
单位斜变信号通常用符号 r(t) 表示。
定义

它也可以简洁地写成:r(t)=t⋅u(t)。
物理意义与作用
表示线性增长:它可以用来模拟一个从t=0 时刻开始随时间线性增长的物理量,例如匀速运动物体的位移。
与其他信号的关系:
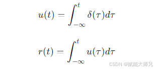
与阶跃信号的关系:单位斜变信号是单位阶跃信号的积分。

直观理解:阶跃信号在 t<0 时为零,积分为0;在 t>0 时,对常数1进行积分,结果就是 t。
与冲击信号的关系:单位阶跃信号是单位斜变信号的导数(在广义函数意义上)。我们接下来会看到冲击信号。
三、单位冲击信号
单位冲击信号,也称为狄拉克δ函数,用符号 δ(t) 表示。
注意:它不是一个普通的函数,而是一个“广义函数”或“分布”。它通过其对其他函数的作用来定义。
定义(通过性质定义)
强度(面积)为1:

抽样(筛选)特性:这是其最核心、最常用的性质。对于任意在 t=0 处连续的函数 f(t),

更一般地,对于时移的冲击δ(t−T),

这就像一把“筛子”,能从f(t) 中筛选出在t=T 时刻的值。
直观理解
我们可以将δ(t) 看作是一个宽度极窄、幅度极高、但总面积(强度)始终保持为1的矩形脉冲的极限情况。
当脉冲宽度 ϵ→0 时,脉冲高度1/ϵ→∞,但其面积始终为 (1/ϵ)×ϵ=1。
物理意义与作用
理想化的瞬时现象:
力学中,一个作用时间极短、冲量为1的力。
电路中,一个持续时间极短、电荷量为1的电流脉冲。
系统的“指纹”:在LTI(线性时不变)系统分析中,单位冲激响应 h(t) 是系统在单位冲击信号 δ(t) 激励下的零状态响应。知道了 h(t),就可以通过卷积求出系统对任意输入信号的响应。这是时域分析法的基石。
建模突变量:可以用来表示信号中的跳变或不连续点。
四、一阶时域信号总结
这三个基本信号通过微分和积分运算紧密相连,构成了一个完美的关系链。
从下往上,是微分关系:

从上往下,是积分关系:

