Leetcode 46
1 题目
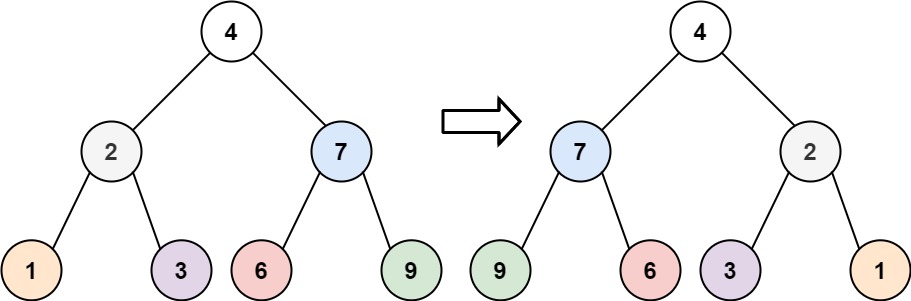
226. 翻转二叉树
给你一棵二叉树的根节点 root ,翻转这棵二叉树,并返回其根节点。
示例 1:

输入:root = [4,2,7,1,3,6,9] 输出:[4,7,2,9,6,3,1]
示例 2:

输入:root = [2,1,3] 输出:[2,3,1]
示例 3:
输入:root = [] 输出:[]
提示:
- 树中节点数目范围在
[0, 100]内 -100 <= Node.val <= 100
2 代码实现
分解
/*** Definition for a binary tree node.* struct TreeNode {* int val;* struct TreeNode *left;* struct TreeNode *right;* };*/
typedef struct TreeNode TreeNode;
struct TreeNode* invertTree(struct TreeNode* root) {if (root == NULL ){return NULL;}TreeNode* left = invertTree(root -> left);TreeNode* right = invertTree(root -> right);root -> left = right;root -> right = left;return root;
}
递归思想,完整读了笔记以后感觉没很难。之前也做过。这里想到的是分解的做法。
遍历
class Solution {
public:// 主函数TreeNode* invertTree(TreeNode* root) {// 遍历二叉树,交换每个节点的子节点if(root != NULL) traverse(root);return root;}// 二叉树遍历函数void traverse(TreeNode* root) {if(root != NULL) {// *** 前序位置 ***// 每一个节点需要做的事就是交换它的左右子节点TreeNode* tmp = root->left;root->left = root->right;root->right = tmp;// 遍历框架,去遍历左右子树的节点traverse(root->left);traverse(root->right);}}
};
二叉树心法(思路篇) | labuladong 的算法笔记
https://labuladong.online/algo/data-structure/binary-tree-part1/#%E7%AC%AC%E4%B8%80%E9%A2%98%E3%80%81%E7%BF%BB%E8%BD%AC%E4%BA%8C%E5%8F%89%E6%A0%91
用c实现
/*** Definition for a binary tree node.* struct TreeNode {* int val;* struct TreeNode *left;* struct TreeNode *right;* };*/
typedef struct TreeNode TreeNode;
struct TreeNode* invertTree(struct TreeNode* root) {if (root == NULL ){return NULL;}TreeNode * temp = root -> left;root -> left = root -> right;root -> right = temp;TreeNode* left = invertTree(root -> left);TreeNode* right = invertTree(root -> right);return root;
}
3 题目
116. 填充每个节点的下一个右侧节点指针
给定一个 完美二叉树 ,其所有叶子节点都在同一层,每个父节点都有两个子节点。二叉树定义如下:
struct Node {int val;Node *left;Node *right;Node *next;
}
填充它的每个 next 指针,让这个指针指向其下一个右侧节点。如果找不到下一个右侧节点,则将 next 指针设置为 NULL。
初始状态下,所有 next 指针都被设置为 NULL。
示例 1:

输入:root = [1,2,3,4,5,6,7] 输出:[1,#,2,3,#,4,5,6,7,#] 解释:给定二叉树如图 A 所示,你的函数应该填充它的每个 next 指针,以指向其下一个右侧节点,如图 B 所示。序列化的输出按层序遍历排列,同一层节点由 next 指针连接,'#' 标志着每一层的结束。
示例 2:
输入:root = [] 输出:[]
提示:
- 树中节点的数量在
[0, 212 - 1]范围内 -1000 <= node.val <= 1000
进阶:
- 你只能使用常量级额外空间。
- 使用递归解题也符合要求,本题中递归程序占用的栈空间不算做额外的空间复杂度。
4 代码实现
/*** Definition for a Node.* struct Node {* int val;* struct Node *left;* struct Node *right;* struct Node *next;* };*/
typedef struct Node Node;
void traverse(Node* node1 , Node* node2){if(node1 == NULL || node2 == NULL){return;} node1 -> next = node2 ;traverse(node1 -> left , node1 -> right);traverse(node2 -> left , node2 -> right);traverse(node1 -> right , node2 -> left);}struct Node* connect(struct Node* root) {if(root == NULL){return NULL ;}traverse(root -> left ,root -> right);return root;
}
结合算法笔记和题解豁然开朗了,二叉树没有那么可怕。
二叉树心法(思路篇) | labuladong 的算法笔记
class Solution {
public:// 主函数Node* connect(Node* root) {if (root == nullptr) return nullptr;// 遍历「三叉树」,连接相邻节点traverse(root->left, root->right);return root;}// 三叉树遍历框架void traverse(Node* node1, Node* node2) {if (node1 == nullptr || node2 == nullptr) {return;}// *** 前序位置 ***// 将传入的两个节点穿起来node1->next = node2;// 连接相同父节点的两个子节点traverse(node1->left, node1->right);traverse(node2->left, node2->right);// 连接跨越父节点的两个子节点traverse(node1->right, node2->left);}
};
这段代码是用于解决「填充每个二叉树节点的右侧指针」问题的,核心思路是通过一种类似「三叉树遍历」的方式,把二叉树中同一层的节点用 next 指针连接起来。下面我会用非常详细的方式解释每一步,确保你能理解。
先明确问题:什么是「填充右侧指针」?
假设我们有一棵完美二叉树(每个节点要么有 0 个孩子,要么有 2 个孩子,且同一层节点齐全),每个节点除了 left(左孩子)、right(右孩子),还有一个 next 指针。要求是:将同一层的所有节点通过 next 指针连接起来,每个节点的 next 指向它右侧的节点;如果右侧没有节点,next 为 null。
例如,一棵 3 层的完美二叉树:
1/ \2 3/ \ / \4 5 6 7
填充后,next 指针的指向应该是:2->3,4->5,5->6,6->7,且 3、7 的 next 为 null。
代码核心思路:把二叉树当「三叉树」遍历
常规的二叉树遍历(前序、中序、后序)只关注单个节点和它的左右孩子。但这里要连接同一层的相邻节点,这些节点可能来自不同的父节点(比如 5 和 6,它们的父节点分别是 2 和 3)。
所以代码的巧妙之处在于:不局限于单个节点的左右孩子,而是同时处理两个相邻的节点,通过递归让它们的子节点也互相连接。这就像把两个相邻节点和它们的子节点组成了一棵「三叉树」,从而能处理跨父节点的连接。
逐行解释代码
1. 主函数 connect(Node* root)
if (root == nullptr) return nullptr;
// 遍历「三叉树」,连接相邻节点
traverse(root->left, root->right);
return root;
- 作用:处理整个树的入口。
- 第一步:如果根节点为空,直接返回(空树无需处理)。
- 第二步:调用
traverse函数,传入根节点的左孩子和右孩子(因为根节点是第一层,它的next为null,无需处理;从第二层的root->left和root->right开始连接)。 - 最后返回处理完的根节点。
2. 核心函数 traverse(Node* node1, Node* node2)
这个函数是关键,它的参数是两个相邻的节点(node1 在左,node2 在右),作用是:
- 把
node1的next指向node2(直接连接这两个节点)。 - 递归处理
node1的左右孩子(同一父节点的相邻节点)。 - 递归处理
node2的左右孩子(同一父节点的相邻节点)。 - 递归处理
node1的右孩子和node2的左孩子(跨父节点的相邻节点)。
第一步:终止条件
if (node1 == nullptr || node2 == nullptr) {return;
}
- 如果两个节点中有一个为空,就无需处理(因为
next指针默认是null)。
第二步:前序位置 - 连接当前两个节点
// *** 前序位置 ***
// 将传入的两个节点穿起来
node1->next = node2;
- 「前序位置」指的是在处理子节点之前,先处理当前节点。这里的「当前节点」就是
node1和node2这一对相邻节点。 - 直接让
node1的next指向node2,完成它们的连接。
第三步:连接同一父节点的子节点
// 连接相同父节点的两个子节点
traverse(node1->left, node1->right);
traverse(node2->left, node2->right);
- 对于
node1来说,它的左孩子和右孩子是同一父节点的相邻节点,需要连接(比如node1是2,则连接4和5)。 - 同理,
node2的左孩子和右孩子也需要连接(比如node2是3,则连接6和7)。
第四步:连接跨父节点的子节点
// 连接跨越父节点的两个子节点
traverse(node1->right, node2->left);
- 这是最关键的一步!
node1的右孩子和node2的左孩子虽然来自不同的父节点,但它们在同一层且相邻(比如node1是2,node2是3,则5和6需要连接)。 - 通过递归处理这两个节点,让它们也通过
next连接起来。
用例子模拟整个过程
以开头的 3 层树为例,模拟 traverse 函数的调用过程:
- 主函数调用
traverse(2, 3)(根节点1的左右孩子)。- 前序位置:
2->next = 3(完成2和3的连接)。 - 递归 1:
traverse(2->left, 2->right)→traverse(4,5)。- 前序:
4->next=5。 - 递归
traverse(4->left,4->right)(都是null,返回)。 - 递归
traverse(5->left,5->right)(都是null,返回)。 - 递归
traverse(4->right,5->left)(都是null,返回)。
- 前序:
- 递归 2:
traverse(3->left,3->right)→traverse(6,7)。- 前序:
6->next=7。 - 后续递归都是
null,返回。
- 前序:
- 递归 3:
traverse(2->right,3->left)→traverse(5,6)。- 前序:
5->next=6(完成跨父节点的连接)。 - 后续递归都是
null,返回。
- 前序:
- 前序位置:
最终所有同一层的节点都被 next 连接起来,结果符合要求。
总结
- 核心思想:通过
traverse函数同时处理两个相邻节点,不仅连接它们本身,还递归连接它们的子节点(包括同一父节点和跨父节点的情况)。 - 为什么叫「三叉树遍历」?因为每个
traverse调用会处理两个节点,再衍生出三个递归调用(左孩子对、右孩子对、跨父节点对),类似三叉树的结构。 - 优势:时间复杂度是
O(n)(每个节点被处理一次),空间复杂度是O(h)(递归栈深度,h是树的高度),非常高效。
