将有序数组转换为二叉搜索树解题思路
题目:
给你一个整数数组 nums ,其中元素已经按 升序 排列,请你将其转换为一棵 平衡 二叉搜索树。
示例 1:

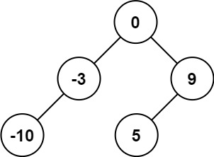
输入:nums = [-10,-3,0,5,9] 输出:[0,-3,9,-10,null,5] 解释:[0,-10,5,null,-3,null,9] 也将被视为正确答案:

示例 2:

输入:nums = [1,3] 输出:[3,1] 解释:[1,null,3] 和 [3,1] 都是高度平衡二叉搜索树。
提示:
1 <= nums.length <= 104-104 <= nums[i] <= 104nums按 严格递增 顺序排列
思路:
数组中间靠左(长度为偶数时)作为根节点,利用二分思想进行递归,实现小在左,大在右;
代码:
/*** Definition for a binary tree node.* struct TreeNode {* int val;* struct TreeNode *left;* struct TreeNode *right;* };*/struct TreeNode* toBST(int* nums, int left, int right) {if (left > right) {return NULL;}//选择中间位置左边的数字作为根节点int mid = (left + right) / 2;struct TreeNode* root = (struct TreeNode*)malloc(sizeof(struct TreeNode));root->val = nums[mid];root->left = toBST(nums, left, mid - 1);root->right = toBST(nums, mid + 1, right);return root;
}struct TreeNode* sortedArrayToBST(int* nums, int numsSize) {return toBST(nums,0,numsSize - 1);
}总结:
根据二分法,将数组的中间值作为根结点接在二叉树上,实现左小右大;
