考研数学——一元函数微分学篇
一元函数微分学
一元函数微分学相关命题的常见反例
- 狄利克雷函数:f(x)f(x)f(x)不连续
- sin1x\sin\frac{1}{x}sinx1(震荡间断点)
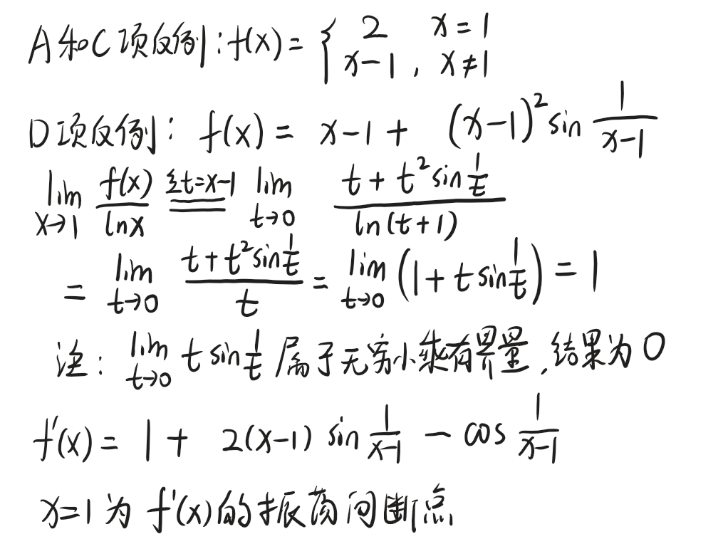
下面这题选B,请你为其他三个选项分别举出反例


曲率计算公式
直角坐标下的曲率计算公式

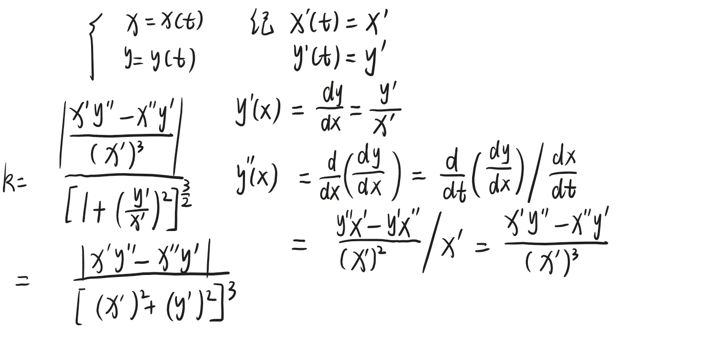
参数方程的曲率计算公式

推导过程如下

极坐标下的曲率计算公式
这个我们就是用上面的参数方程公式来做的

微分方程
伯努利方程
伯努利方程的标准形式
一阶伯努利方程的严格定义需满足以下形式:
dydx+P(x)y=Q(x)yn\frac{dy}{dx} + P(x)y = Q(x)y^ndxdy+P(x)y=Q(x)yn
伯努利方程的求解关键是通过变量代换消去非线性的yny^nyn项,将其转化为一阶线性方程。具体步骤分为3步,逻辑清晰且具有通用性:
步骤1:消去方程右边的yny^nyn项
方程两边同时除以yny^nyn(需注意y≠0y≠0y=0,后续需验证y=0是否为解),将方程改写为:
y−ndydx+P(x)y1−n=Q(x)y^{-n}\frac{dy}{dx} + P(x)y^{1-n} = Q(x)y−ndxdy+P(x)y1−n=Q(x)
步骤2:引入变量代换,转化为线性方程
观察上式,y−ndydxy^{-n}\frac{dy}{dx}y−ndxdy 可表示为某一新变量导数的“常数倍”。定义新变量:
z=y1−nz = y^{1-n}z=y1−n
对z关于x求导(利用复合函数求导法则):
dzdx=(1−n)y−ndydx\frac{dz}{dx} = (1-n)y^{-n}\frac{dy}{dx}dxdz=(1−n)y−ndxdy
将 dydx=11−nyn⋅dzdx\frac{dy}{dx} = \frac{1}{1-n}y^n \cdot \frac{dz}{dx}dxdy=1−n1yn⋅dxdz 代入步骤1的方程,化简后得到:
11−ndzdx+P(x)z=Q(x)\frac{1}{1-n}\frac{dz}{dx} + P(x)z = Q(x)1−n1dxdz+P(x)z=Q(x)
两边同乘(1−n)(1-n)(1−n),最终转化为一阶线性非齐次微分方程的标准形式:
dzdx+(1−n)P(x)z=(1−n)Q(x)\frac{dz}{dx} + (1-n)P(x)z = (1-n)Q(x)dxdz+(1−n)P(x)z=(1−n)Q(x)
步骤3:求解线性方程并回代
此时方程已转化为关于z(x)z(x)z(x)的一阶线性方程,记为:
dzdx+P∗(x)z=Q∗(x)\frac{dz}{dx} + P^*(x)z = Q^*(x)dxdz+P∗(x)z=Q∗(x)
其中 P∗(x)=(1−n)P(x)P^*(x) = (1-n)P(x)P∗(x)=(1−n)P(x),Q∗(x)=(1−n)Q(x)Q^*(x) = (1-n)Q(x)Q∗(x)=(1−n)Q(x)。
这类线性方程的解法是“常数变易法”,其通解公式为:
z=e−∫P∗(x)dx[∫Q∗(x)e∫P∗(x)dxdx+C]z = e^{-\int P^*(x)dx} \left[ \int Q^*(x) e^{\int P^*(x)dx} dx + C \right]z=e−∫P∗(x)dx[∫Q∗(x)e∫P∗(x)dxdx+C]
将z=y1−nz = y^{1-n}z=y1−n回代到上述通解中,即可得到原伯努利方程关于y(x)y(x)y(x)的通解。
最后需补充:若y=0y=0y=0满足原方程(代入后左右两边均为0),则y=0y=0y=0也是方程的一个解,需根据初始条件判断是否纳入最终结果。
欧拉方程
1. 标准形式(二阶)
对于自变量 x>0x > 0x>0,方程形式为:
x2y′′+pxy′+qy=0x^2 y'' + p x y' + q y = 0 x2y′′+pxy′+qy=0
其中:
- y=y(x)y = y(x)y=y(x) 是待求函数,y′y'y′、y′′y''y′′ 分别是一阶、二阶导数;
- ppp、qqq 是常数(与 xxx 无关)。
2. 求解方法:变量代换
令 t=lnxt = \ln xt=lnx(即 x=etx = e^tx=et),将自变量从 xxx 转化为 ttt,利用复合函数求导法则:
- y′=dydx=dydt⋅dtdx=1x⋅dydty' = \frac{dy}{dx} = \frac{dy}{dt} \cdot \frac{dt}{dx} = \frac{1}{x} \cdot \frac{dy}{dt}y′=dxdy=dtdy⋅dxdt=x1⋅dtdy;
- KaTeX parse error: Expected group as argument to '\left' at end of input: …c{1}{x^2} \left\frac{d2y}{dt2} - \frac{dy}{dt} \right)$。
代入原方程后,可转化为常系数线性微分方程:
d2ydt2+(p−1)dydt+qy=0\frac{d^2y}{dt^2} + (p-1)\frac{dy}{dt} + q y = 0 dt2d2y+(p−1)dtdy+qy=0
再通过求解特征方程(如 r2+(p−1)r+q=0r^2 + (p-1)r + q = 0r2+(p−1)r+q=0)得到通解,最后代回 t=lnxt = \ln xt=lnx 即可。
