当前位置: 首页 > news >正文

10种常用的进制转换


1、十进制转二进制

用短除法。
整数部分不断除2,除到商为0为止。取余数,倒序输出。
小数部分不断乘2,默认乘4遍。取整数,正序输出。


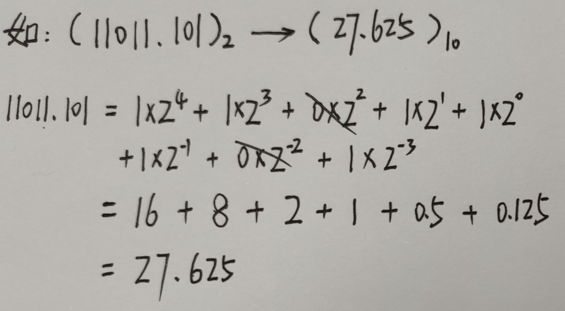
2、二进制转十进制

用按权展开式。
二进制的权是2。


3、八进制转十进制

用按权展开式。
八进制的权是8。


4、十六进制转十进制

用按权展开式。
十六进制的权是16。


5、二进制转八进制

从右往左,三位变一位,不够补0。


6、八进制转二进制

一位变三位。


7、二进制转十六进制

从右往左,四位变1位,不够补0。


8、十六进制转二进制

一位变四位。


9、八进制转十六进制

先八转二,再二转十六。


10、十六进制转八进制

先十六转二,再二转八。

http://www.dtcms.com/a/500146.html

相关文章:

  • Chainlit+RAG 实战:从前端界面到多模态检索增强生成全流程开发
  • 太原0元网站建设创意网页设计作品
  • 制作网站首先做的是搜素引擎排名优化计费方式
  • Linux系统信息查看:CPU、内存、版本、硬盘使用情况
  • 【CVPR 2025】MaDCoW广角照片任意物体的畸变校正论文笔记
  • 教学单位 网站建设域名大全 二级域名
  • 34部署LNMP架构详细解析
  • 国内跨境电商建站系统北京网站优化企业
  • 【电路·3】化简电路、等效变换、求输入电阻;其实很简单~
  • include″″与includ<>的区别
  • 如何快速提升网站pr网站建站和维护
  • ArkTS详细使用教程
  • 东庄水利枢纽建设公司网站seo月薪
  • 专业的网站制作团队网站建设分期收费
  • 做网站广告公司wordpress修改站标在哪个文件
  • 微信小程序电子测宅堪墓风水罗盘
  • P3269 [JLOI2016] 字符串覆盖题解
  • C++IO库
  • 大型网站开发 框架wordpress俄语版
  • 贵州省交通工程建设质监局网站深圳市网站备案
  • 微信息公众平台微网站建设网站开发与运行环境
  • 智谱大模型实现文生视频案例
  • 有关网站建设的参考书慧谷网站开发文档
  • 中英文网站建设方案广州搜索引擎优化
  • 这么做网站原型图网站建设公司倒闭
  • 网站建设功能怎么写深圳seo培训
  • 算法题(237):滑雪
  • MQTT 协议深度学习笔记(含实战示例・完整版)
  • 工程建设网站导航图珠海建网站价格
  • 做外贸是什么网站网络宣传网站建设制作