当前位置: 首页 > news >正文

有序逻辑回归的概念、适用场景、数据要求,以及其在Stata中的操作命令及注意事项,Stata ologit回归结果怎么看?并附详细示例

有序逻辑回归(Ordinal Logistic Regression)详解

有序逻辑回归是一种处理因变量为有序分类变量​(例如满意度评级:不满意、一般、满意;疾病严重程度:轻度、中度、重度)的统计方法。它通过建模因变量的累积概率来捕捉自变量对类别顺序的影响,比多元无序逻辑回归更高效,因为它利用了因变量的顺序信息。以下从概念、适用场景、数据要求、Stata操作、结果解读及示例等方面详细说明。


一、基本概念

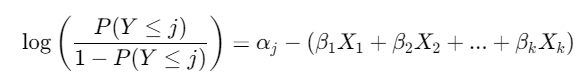
有序逻辑回归的核心思想是将有序因变量(如 Y有 J个类别,Y=1,2,...,J)转换为累积概率的建模。模型假设存在一个潜在连续变量,其值域被阈值(cut points)分割成有序类别。模型形式为:

其中:

  • P(Y≤j)是因变量小于等于第 j类的累积概率。

  • αj​是第 j个类别的阈值(截距)​,满足 α1​<α2​<...<αJ−1​。

  • β是自变量的系数,表示自变量每单位变化对对数优势比(log-odds)​​ 的影响。

  • 关键假设​:模型需满足平行性假设​(proportional odds assumption),即所有自变量的系数 β在不同类别间相同,仅阈值 αj​不同。这确保自变量对累积概率的影响一致。

与二分类逻辑回归的区别:有序模型同时拟合 J−1个二分类模型(如 Y≤1vs Y>1, Y≤2vs Y>2),但系数共享,提高统计效能。


二、适用场景

有序逻辑回归适用于因变量有自然顺序,但类别间距离未知的场景:

  • 医学研究​:疾病严重程度(如癌症分期Ⅰ、Ⅱ、Ⅲ、Ⅳ)与年龄、治疗方式的关系。

  • 社会科学​:满意度调查(如员工满意度:低、中、高)受收入、教育水平的影响。

  • 市场研究​:产品评级(如差、中、优)与价格、品牌的关系。

  • 教育研究​:学生成绩等级(如及格、良、优)与学习时间、教学方法的关系。

注意​:若因变量无顺序(如颜色偏好)或顺序不明确,应使用多元无序逻辑回归;若平行性假设不成立,也需改用无序模型。


三、数据要求

使用有序逻辑回归前,需验证数据满足以下条件:

  1. 因变量​:唯一且为有序分类变量(如赋值1,2,3表示低、中、高)。类别数通常≥3,且频数不宜严重不平衡(如某一类别样本过少)。

  2. 自变量​:可为连续变量(如年龄、收入)或分类变量(如性别、种族)。分类变量需设为哑变量​(如性别男=0、女=1)。

  3. 独立性​:观测值相互独立(如重复测量数据需用混合模型)。

  4. 无多重共线性​:自变量间相关性不宜过高(可通过方差膨胀因子VIF检验)。

  5. 平行性假设​:需通过统计检验(如Stata的oparallel命令),若P值>0.05则假设成立。

常见问题处理​:

  • 样本量:每个自变量至少需10-20个事件(小样本可能导致估计偏差)。

  • 类别赋值:整数赋值(1,2,3)最常用,但若类别间距不等(如年龄分段),可考虑中点赋值或正态得分转换。


四、Stata操作命令及注意事项
1. 基本命令
  • 模型拟合​:使用ologit命令,语法为:

    ologit 因变量 自变量1 自变量2 ..., 选项

    常用选项:

    • or:输出优势比(Odds Ratio, OR)​​ 而非系数。

    • vce(robust):稳健标准误,处理异方差。

  • 平行性检验​:需安装oparallel命令(首次使用:ssc install oparallel),在ologit后运行:

    oparallel, logit

    若检验P值>0.05,满足平行性假设;否则需改用无序模型(如mlogit)。

  • 分类自变量处理​:使用i.前缀设哑变量(如i.种族),Stata自动以第一类为参照。

2. 操作步骤
  1. 数据准备​:导入数据(use "data.dta"),检查变量类型(codebook)。

  2. 平行性检验​:运行ologit后立即执行oparallel

  3. 拟合模型​:添加选项如or输出OR值。

  4. 模型诊断​:检查残差、预测准确率(estat classification)。

3. 注意事项
  • 平行性假设是核心​:若不满足,模型解释力下降。解决方法:

    • 使用部分比例优势模型​(如Stata的gologit2命令)。

    • 改用无序逻辑回归​(mlogit)。

  • 哑变量设置​:分类变量(如职业)需完整设哑变量,避免共线性。

  • 样本量不足​:小样本可能导致OR值置信区间过宽,需谨慎解释。


五、Stata ologit回归结果解读

以健康状况研究为例(因变量health:1=差, 2=一般, 3=良好, 4=好, 5=优秀;自变量:性别、年龄、体重):

ologit health female age weight, or

输出结果包括三部分:

  1. 模型整体拟合信息​:

    • Number of obs:样本量。

    • LR chi2(3):似然比卡方,检验模型是否显著(P值<0.05说明模型有效)。

    • Log likelihood:对数似然值,用于计算AIC/BIC(值越小模型越好)。

    • Pseudo R2:伪R²(0.01~0.2常见,值越大拟合越好)。

    • 示例:Prob > chi2 = 0.0000表明模型整体显著。

  2. 系数估计结果​:

    • 自变量系数​:

      • 系数正负:正系数表示自变量增加时,因变量更可能落入更高类别​(如female=0.168表示女性健康状况更可能更好)。

      • OR值​(若添加or选项):如age的OR=0.967(即e−0.034),解释为年龄每增加1岁,健康状况提升一个等级的优势降低3.3%((0.967-1)×100%)。

    • 阈值(cut points)​​:有J−1个阈值(此例J=5,输出4个cut)。它们定义类别分界:

      • 当潜在变量值 ≤ cut1,Y=1(差)。

      • cut1< 值 ≤ cut2,Y=2(一般)。

      • ...依次类推。

  3. 显著性判断​:

    • P值<0.05表示自变量显著(如age的P=0.000显著,说明年龄对健康状况有影响)。

    • 置信区间不包含0(或OR值不包含1)时显著。


六、Stata详细示例

案例背景​:研究锻炼情况(PA:1=不运动, 2=不规律运动, 3=规律运动)和性别(gender:0=女, 1=男)对老年衰弱(frailty:1=稳健期, 2=衰弱前期, 3=衰弱期)的影响。

步骤1:平行性检验
ologit frailty gender i.PA  // 先拟合模型
oparallel, logit           // 平行性检验

输出:

Likelihood ratio test for parallel lines: chi2(3)=1.407, p=0.495

P=0.495>0.05,满足平行性假设,可继续使用有序模型。

步骤2:拟合模型(输出OR值)
ologit frailty gender i.PA, or  // i.PA将PA设为哑变量

输出摘要:

Ordered logistic regression
Log likelihood = -120.5
Number of obs = 400
LR chi2(3) = 25.36
Prob > chi2 = 0.0000
Pseudo R2 = 0.045------------------------------------------------------------------------------frailty | Odds Ratio   Std. Err.      z    P>|z|     [95% Conf. Interval]
------------+----------------------------------------------------------------gender |       1.12      0.310     0.42   0.675        0.647      1.941PA |不规律运动  |       0.45      0.201    -1.81   0.071        0.190      1.065规律运动   |       0.01      0.005    -3.12   0.002        0.000      0.413
------------+----------------------------------------------------------------/cut1 |      -1.50      0.512                        -2.505     -0.495/cut2 |       0.80      0.503                        -0.186      1.786
------------------------------------------------------------------------------
步骤3:结果解读
  • 模型整体​:Prob > chi2=0.0000,模型显著;伪R²=0.045,拟合度一般但可接受。

  • 自变量影响​:

    • gender:OR=1.12, P=0.675>0.05,​不显著,说明性别对衰弱无显著影响。

    • PA(以"不运动"为参照):

      • 规律运动:OR=0.01, P=0.002<0.05,​显著。解释:规律运动群体衰弱等级提升的优势仅为不运动群体的1%(即降低99%)。

      • 不规律运动:OR=0.45, P=0.071>0.05,边缘不显著。

  • 阈值​:cut1cut2定义类别分界(如潜在变量≤-1.50时,衰弱=1)。

注意事项​:若P值不显著(如性别),可考虑剔除变量;OR值解释需结合背景(如OR=0.01表示影响极大)。


总结

有序逻辑回归是处理有序因变量的核心方法。关键步骤包括:验证平行性假设、正确设哑变量、基于OR值解释影响。Stata中通过ologitoparallel实现,结果需综合模型拟合、系数显著性和阈值进行解读。若假设不成立,可换用无序逻辑回归部分比例优势模型。实际应用中,建议结合领域知识判断变量合理性。

七、Stata零基础学习推荐

(1)《Stata 统计分析从入门到精通》杨维忠 张甜编著 清华大学出版社 2022 年

适用于 Stata 计量经济学、统计分析教学。国内计量大牛、山东大学陈强教授作序推荐,长期占据当当、京东、淘宝同类图书畅销榜前列。国内众多高校作为核心专业课程教材。本书专为计量经济学基础薄弱或学不进去,但又有写论文、做研究需要的读者设计,达到“弯道超车”的效果。大家可以学不会复杂的计量经济学,尤其是那些枯燥的数学推导,但一定要会用 Stata,Stata 的作用相当于把那些计量经济学公式嵌入到了软件中,会操作命令就能完成实证研究。换言之,您可以不懂汽车发动机、传动等原理,只要会开车就可以了。

(2)《Stata 统计学与案例应用精解》张甜 杨维忠 清华大学出版社 2025 年。

这本书很有特色,毫不夸张的说,是超过市面上所有类似图书的全面经典之作。

一是框架涵盖统计学、计量经济学双教学体系,既可以当做 Stata 计量经济学的教材,也可以作为 Stata 统计学的教材,涵盖经济学、管理学、社会学、医学等多专业,书刚一上市,就被很多高校选择作为教材,首印几千本很快就售空了,网上各大平台的传播度也很高,很多同学对于自己学校订购的教材学不会,但是对于学这本书,很快就入门了,也兴起了彼此推荐的热潮。

二是书中有实证论文写作指导,以及当前流行的稳健性检验、异质性分析、政策效应检验等,达到学会用 Stata 写论文的效果。这一下子省了多少课程代做和论文代写费用!可以说,一本书相当于一个完整的私教培训班了,真的有种饭都喂到嘴边的感觉,满足了零基础、尤其是跨专业学生学习 Stata 用于写论文的所有需求,解决了所有痛点。

三是数据质量和案例构思、覆盖面优势显著,基于 44 份真实权威经济社会统计数据和 14 份调查研究数据,精心设计 58 个统计分析应用案例和 10 个数据加工处理案例,广泛涵盖经济金融、医学药学、企业管理、日常生活等领域。随便举几个书中例子,大家自己判断够不够硬:8.1.2 案例应用——分析山西、四川、辽宁常住人口自然增长率差异;8.2.2 案例应用——分析德国、法国、西班牙、意大利四个国家的住房拥挤率;8.3.2 案例应用——分析我国部分省份地方政府债券收益率影响因素;9.1.2 案例应用——分析国际原油价格和黄金价格的相关性;10.1.2 案例应用——分析欧元区 20 国经济景气指数的影响因素;11.1.2 案例应用——分析中等收入国家航空运输客运量的影响因素……

四是配套资源太丰富了!每章都有知识回顾和课后习题(选择、判断、操作),与书配套的还赠送教学 PPT、全书数据文件、全书 Stata 代码和作者最新讲解的全套视频资料,同时设置专门章节讲解 AI 工具应用(这绝对是迄今为止业内首创了)。

(3)《Stata 统计分析商用建模与综合案例精解》杨维忠 张甜编著 清华大学出版社 2021 年

适用于 Stata 计量经济学、统计分析教学。国内众多高校作为核心专业课程教材。在 51CTO 举办的“2021 年度最受读者喜爱的 IT 图书作者评选”中,《Stata 统计分析商用建模与综合案例精解》荣获“数据科学领域最受读者喜爱的图书 TOP5”。

各大平台搜索书名即可。 创作不易,恳请大家多多点赞支持!也欢迎大家关注我,让我们一起学习 Stata、SPSS、Python 知识。多谢!

http://www.dtcms.com/a/473674.html

相关文章:

  • PHP开发环境搭建
  • 门户网站与官网的区别做照片的ppt模板下载网站
  • Next.js数据获取演进史
  • 【深入理解计算机网络09】路由算法与路由协议
  • 手机域名解析错误刷seo排名
  • Golang 切片(深入了解切片底层扩容机制,部分源码,测试实战+核心用法)
  • go语言结构体内存对齐
  • 爬虫+卷积神经网络项目实战解析——对图像狗的识别分类
  • golang读写锁
  • 怎么用ftp清空网站大庆seo推广
  • 云南网官方网站博客园和wordpress
  • MyBatis基本工作原理
  • 第16届深圳国际移动电子展AI生活主题将带来哪些新体验?
  • AI智能体赋能战略分析与制订之仿真:“主权AI” —— 是国家安全的“诺亚方舟”,还是创新生态的“孤岛”?
  • 公司手机网站建设wordpress页眉页脚
  • MySQL时间格式转换,时间数据混乱不堪如何彻底重构?
  • Docker 安装 Node.js
  • vscode 怎么运行 c++ 文件
  • 【基础算法】记忆化搜索
  • wordpress yum上海搜索引擎优化公司排名
  • c++类和对象(下)
  • 算法7.0
  • 【异常处理——下】
  • axios请求
  • 109、23种设计模式之迭代器模式(18/23)
  • 餐饮设计公司网站wordpress如何保存
  • 前端页面出现问题ResizeObserver loop completed with undelivered notifications.
  • 有声阅读网站如何建设邵阳学院研究生与学科建设处网站
  • AWS RDS Aurora MySQL高CPU使用率问题诊断与解决实战
  • 【Swift】LeetCode 11. 盛最多水的容器