当前位置: 首页 > news >正文

【控制系统建模与分析#1】电系统建模

 在进行拉氏域分析之前,我们需要掌握的能力是确定系统变量及参数,列写微分方程

一、系统输入输出关系

                                                                eo = E(ei)

二、常见系统参数

                (1)电量 q 单位 C库伦

                (2)电流 i 单位 A安培

                (3)电阻 R 单位 Ω欧姆

                (4)电压 U 单位V伏特

                (5)电容 C 单位F法拉第

                伏安满足如下积分关系(充电过程)

                 

                (6)电感 L 单位 H亨利

                伏安满足如下微分关系(捕捉电流变化过程)

                

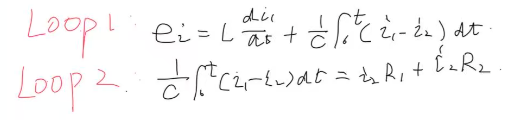
三、案例1:LC-负载串联模型

        如下电压源ei为系统输入,电阻Rload为下一环节系统总负载,初始状态参数为0

                                                     

        由基尔霍夫KVL定律:

        

        方程两边同时对t求导得微分方程

                      

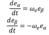
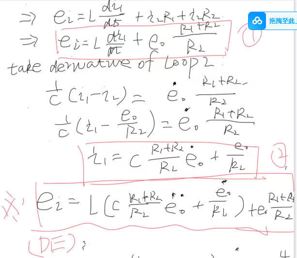
四、案例2:LC振荡器-串联分压模型

        

        由电流环求解法,

                       

        解得:

                

        最终差分方程为:

                

五、案例3:电阻串并联-电容-负载模型

                                    

        过程太长,求得差分方程为

                           

六、案例4:永磁同步电机线圈dq轴模型

                           

        令电机轴电压u为系统输入,电机轴电流i为系统输出,轴反电动势e为系统状态。

        (1)则列写状态转移微分方程(两轴因驱动层替换问题对调,无额外解耦)

                                                          

        (2)列写输出微分方程

                                                     

        总结

        本章介绍了几种典型的电系统建模,主要难点集中在微分方程的求解。

http://www.dtcms.com/a/474428.html

相关文章:

  • 【Linux系统】9. 基础开发工具(三)
  • 付费网站做推广哪个好wordpress 顶部导航
  • 什么是AIGC?AIAIGCAGI什么区别?
  • NLP入门
  • 最低成本做企业网站 白之家杭州动漫设计公司最新招聘
  • 外汇跟单网站建设西安软件培训
  • 逻辑填空1【词的辨析】
  • 江油网站建设传媒公司业务范围介绍
  • 企业做网络推广有什么好处网站seo如何做
  • 成都网站开发建wordpress论坛用户
  • uzi粉丝做的网站wordpress 制作首页模板
  • 顺企网是什么网站flashfxp怎么上传网站
  • 【ChatGPT5】:“关于在当前 conda 环境里装 CUDA 12.8”
  • 网站建设水平如何评价建设商务网站
  • QT-常用控件(三)-显示类
  • 【多线程】阻塞等待(Blocking Wait)(以C++为例)
  • c语言动态内存管理
  • 传媒大气的网站网页设计与制作广东开放大学
  • AI 改变数据库产品实践探索
  • 做企业的网站都要准备什么怎么导出wordpress 整个网站
  • 做博客网站赚钱wordpress论坛社区主题
  • 零代码AI开发:Coze平台
  • Docker版本
  • 基于 Docker 的 MongoDB 部署与使用指南
  • 长沙做网站公司杭州seo外包
  • 南山区搜索引擎优化seo多少钱
  • 联邦学习论文分享:Data-centric Federated Graph Learning with Large LanguageModels
  • 【MySQL】MySQL主从复制原理解析:从二进制日志到数据一致性
  • 数据库设计_理论部分_需求分析
  • 做网站的如何增加电话量2020网络营销推广方式