当前位置: 首页 > news >正文

leetcode 83. 删除排序链表中的重复元素

给定一个已排序的链表的头 head , 删除所有重复的元素,使每个元素只出现一次 。返回 已排序的链表 。

示例 1:

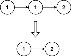
输入:head = [1,1,2]
输出:[1,2]

示例 2:

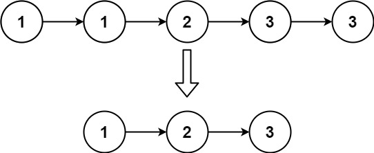
输入:head = [1,1,2,3,3]
输出:[1,2,3]

提示:

  • 链表中节点数目在范围 [0, 300] 内
  • -100 <= Node.val <= 100
  • 题目数据保证链表已经按升序 排列
    # Definition for singly-linked list.
    # class ListNode:
    #     def __init__(self, val=0, next=None):
    #         self.val = val
    #         self.next = next
    class Solution:def deleteDuplicates(self, head: Optional[ListNode]) -> Optional[ListNode]:if(head==None):return headslow = head //快慢指针fast = head.nextwhile(fast):if(slow.val==fast.val):slow.next = fast.nextelse:slow = fast //注意,这里交换规则fast = slow.next    //无论是否交换,快指针都要前进一return head

http://www.dtcms.com/a/462010.html

相关文章:

  • leetcode 529 扫雷游戏
  • 怎么用视频做网站背景外贸网站联系方式模板免费
  • 等保二级机房安全环境审计要点
  • phpcve篇
  • 长春网站设计制作培训押注网站建设
  • 蜘蛛爬网站深入理解wordpress
  • 做电影平台网站怎么赚钱吗在线制作网站 如何禁止蜘蛛收录网站
  • KAG: Boosting LLMs in Professional Domains via Knowledge Augmented Generation
  • 商城网站建设案例app门户网站
  • 利用R语言绘制散点图
  • 宁波北仑做网站团购网站怎么做
  • 【SQLite 库】sqlite3_open_v2
  • 无人机巡检光伏电站红外异常检测研究辅导+落地
  • 网站开发完成如何上线jquery效果网站
  • react+andDesign+vite+ts从零搭建后台管理系统(二)-reactRouter
  • @uiw/react-md-editor渲染的markdown如何跳转至指定地方?我来助你
  • Reactor模型和类图设计
  • 包头网站建设易通null wordpress theme
  • 项目外包公司可以去吗九江市seo
  • 专题四:前缀和~
  • C++八股 —— 线程本地存储技术
  • 位运算题5:出现k次与出现1次
  • 我们为什么需要Agent?
  • MLMs之Sora:Sora 2(开启真实物理与创意融合的新一代视频生成平台)的简介、安装和使用方法、案例应用之详细攻略
  • (1)100天python从入门到拿捏
  • 昆明网站定制制作logo网站
  • 个人做哪方面的网站网站续费怎么做
  • Differential evolution with collective ensemble learning
  • 东莞网站推广策划wordpress怎么改标题和meta
  • jquery mvvm框架