当前位置: 首页 > news >正文

吴恩达机器学习课程(PyTorch适配)学习笔记:2.4 激活函数与多类别处理

2.4 激活函数与多类别处理

在深度学习中,激活函数为网络引入非线性能力,是实现复杂模式建模的核心;而多类别处理则是解决实际分类任务(如图像识别、文本分类)的关键技术。本章将系统讲解激活函数的类型、选择依据,以及多类别分类的实现方案(含Softmax原理与PyTorch适配),并扩展至多输出分类场景。

2.4.1 激活函数(类型 + 选择依据 + 作用)

激活函数(Activation Function)是神经网络中连接“线性变换”与“非线性建模”的桥梁。没有激活函数,无论多少层的神经网络都等价于单层线性模型,无法拟合复杂数据分布。

一、激活函数的核心作用

  1. 引入非线性:将线性变换(z=Wx+bz=Wx+bz=Wx+b)的结果映射到非线性空间,使网络能学习复杂特征(如图像边缘、文本语义)。
  2. 控制输出范围:将输出值约束在特定区间(如Sigmoid输出[0,1]),适配不同任务需求(如概率预测)。
  3. 梯度传播调节:通过合理的导数特性,缓解梯度消失/爆炸问题,保障深层网络的训练稳定性。

二、常见激活函数类型与特性

按函数形态和应用场景,激活函数可分为以下几类:

1. 饱和型激活函数(传统类型)

特点:输入值过大/过小时,函数导数趋近于0(梯度消失风险高),计算依赖指数/对数运算。

函数名称公式输出范围优点缺点适用场景
Sigmoidσ(z)=11+e−z\sigma(z)=\frac{1}{1+e^{-z}}σ(z)=1+ez1(0,1)输出可解释为概率,二分类输出层常用梯度消失严重(z
Tanhtanh⁡(z)=ez−e−zez+e−z\tanh(z)=\frac{e^z-e^{-z}}{e^z+e^{-z}}tanh(z)=ez+ezezez(-1,1)零中心输出(缓解梯度更新方向问题)、比Sigmoid收敛快仍存在梯度消失(z
2. 非饱和型激活函数(主流类型)

特点:输入为正时导数恒定或随输入变化,梯度消失风险低,计算效率高(无指数/对数运算)。

(1)ReLU系列
  • 基础ReLU
    公式:ReLU(z)=max⁡(0,z)\text{ReLU}(z)=\max(0,z)ReLU(z)=max(0,z)
    输出范围:[0,+∞)
    优点:计算极快(仅比较操作)、梯度不消失(z>0时导数=1)、缓解过拟合(随机“关闭”部分神经元);
    缺点:死亡ReLU问题(z≤0时导数=0,神经元永久失活)、输出非零中心;
    适用场景:CNN隐藏层、Transformer前馈网络(最常用激活函数)。

  • Leaky ReLU
    公式:Leaky ReLU(z)=max⁡(αz,z)\text{Leaky ReLU}(z)=\max(\alpha z,z)Leaky ReLU(z)=max(αz,z)α\alphaα为小常数,通常取0.01)
    改进点:z<0时保留小梯度(α\alphaα),解决死亡ReLU问题;
    缺点:α\alphaα为超参数,需调优;
    适用场景:ReLU效果差时的替代方案(如深层CNN)。

  • Parametric ReLU(PReLU)
    公式:PReLU(z)=max⁡(αz,z)\text{PReLU}(z)=\max(\alpha z,z)PReLU(z)=max(αz,z)α\alphaα为可学习参数,而非固定值)
    改进点:α\alphaα通过训练自适应调整,灵活性更高;
    缺点:增加模型参数量,可能过拟合;
    适用场景:数据量充足的复杂任务(如ImageNet分类)。

  • Exponential Linear Unit(ELU)
    公式:ELU(z)={zz>0α(ez−1)z≤0\text{ELU}(z)=\begin{cases} z & z>0 \\ \alpha(e^z-1) & z≤0 \end{cases}ELU(z)={zα(ez1)z>0z0α\alphaα通常取1)
    优点:零均值输出(缓解梯度更新问题)、抗噪声能力强(z<0时平滑衰减);
    缺点:计算需指数运算(比ReLU慢);
    适用场景:对噪声敏感的任务(如语音识别、小样本图像分类)。

(2)Swish与GELU(Transformer常用)
  • Swish
    公式:Swish(z)=z⋅σ(z)\text{Swish}(z)=z\cdot\sigma(z)Swish(z)=zσ(z)σ\sigmaσ为Sigmoid)
    特点:平滑非线性、无明显饱和区、自归一化(输出均值接近0);
    适用场景:Transformer、CNN(在某些任务上优于ReLU)。

  • GELU(Gaussian Error Linear Unit)
    公式:GELU(z)=z⋅Φ(z)\text{GELU}(z)=z\cdot\Phi(z)GELU(z)=zΦ(z)Φ\PhiΦ为标准正态分布的CDF,近似:GELU(z)≈0.5z(1+tanh⁡(2/π(z+0.044715z3)))\text{GELU}(z)\approx 0.5z(1+\tanh(\sqrt{2/\pi}(z+0.044715z^3)))GELU(z)0.5z(1+tanh(2/π(z+0.044715z3)))
    特点:随机激活(输出与输入的概率相关,更符合生物神经元特性)、梯度传播稳定;
    适用场景:Transformer(BERT、GPT系列默认激活函数)、预训练模型。

三、激活函数选择依据

选择激活函数需结合任务类型、网络结构、计算资源三方面因素,具体决策流程如下:

  1. 优先考虑计算效率

    • 若需快速训练(如大规模数据、实时推理):选择ReLU(最快)、Leaky ReLU;
    • 若计算资源充足(如服务器端复杂任务):可尝试GELU、Swish。
  2. 根据网络深度选择

    • 浅层网络(<5层):任意激活函数均可(ReLU、Sigmoid、Tanh);
    • 深层网络(≥10层):必须选择非饱和函数(ReLU、GELU、ELU),避免梯度消失。
  3. 根据任务类型选择

    • 二分类任务输出层:Sigmoid(输出概率);
    • 多分类任务输出层:Softmax(配合CrossEntropyLoss);
    • 回归任务输出层:无激活函数(线性输出)或ReLU(约束输出非负,如房价预测);
    • 生成模型/自编码器:Sigmoid(输出图像像素[0,1])、Tanh(输出[-1,1])。
  4. 特殊需求适配

    • 需抗噪声:ELU、GELU;
    • 需零中心输出:Tanh、ELU、GELU;
    • 小样本任务:ELU(减少过拟合风险)。

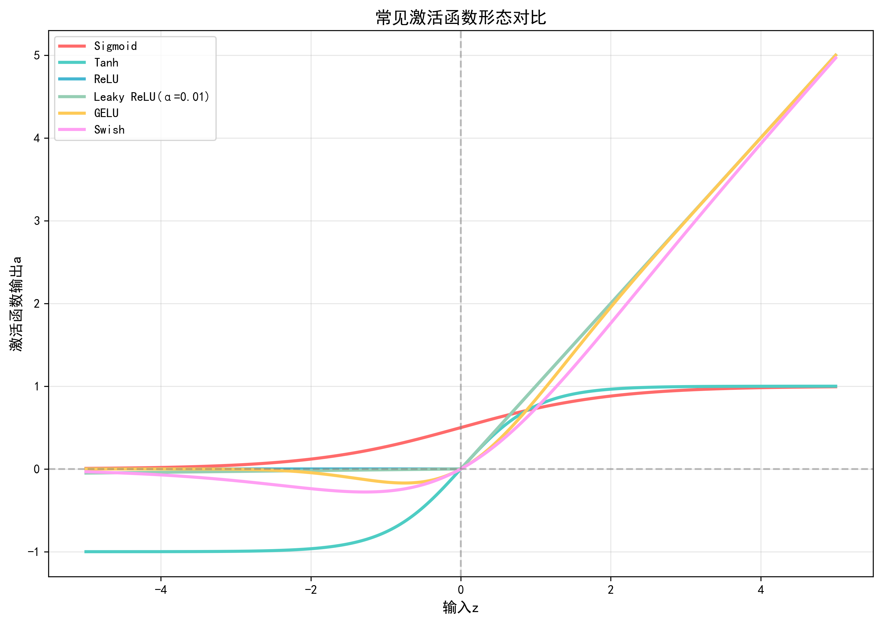
四、激活函数可视化与PyTorch实现

通过代码可视化常见激活函数的形态,并验证其导数特性:

import torch
import torch.nn.functional as F
import matplotlib.pyplot as plt
import numpy as np# 设置中文字体
plt.rcParams["font.family"] = ["SimHei", "WenQuanYi Micro Hei"]
plt.rcParams["axes.unicode_minus"] = False  # 解决负号显示问题# 1. 定义激活函数(含手动实现与PyTorch调用)
def sigmoid(z):return 1 / (1 + torch.exp(-z))def tanh(z):return (torch.exp(z) - torch.exp(-z)) / (torch.exp(z) + torch.exp(-z))def relu(z):return torch.maximum(z, torch.tensor(0.0))def leaky_relu(z, alpha=0.01):return torch.where(z > 0, z, alpha * z)def gelu(z):# GELU近似实现(与PyTorch的F.gelu一致)return 0.5 * z * (1 + torch.tanh(torch.sqrt(torch.tensor(2 / np.pi)) * (z + 0.044715 * z**3)))# 2. 生成输入数据(覆盖常见输入范围)
z = torch.linspace(-5, 5, 1000)  # 输入从-5到5,共1000个点# 3. 计算各激活函数输出
activations = {"Sigmoid": sigmoid(z),"Tanh": tanh(z),"ReLU": relu(z),"Leaky ReLU(α=0.01)": leaky_relu(z),"GELU": gelu(z),"Swish": z * sigmoid(z)  # Swish = z * Sigmoid(z)
}# 4. 可视化激活函数
plt.figure(figsize=(12, 8))
colors = ["#FF6B6B", "#4ECDC4", "#45B7D1", "#96CEB4", "#FECA57", "#FF9FF3"]for (name, output), color in zip(activations.items(), colors):plt.plot(z.numpy(), output.numpy(), label=name, linewidth=2.5, color=color)# 添加辅助线(y=0和x=0)
plt.axhline(y=0, color="gray", linestyle="--", alpha=0.5)
plt.axvline(x=0, color="gray", linestyle="--", alpha=0.5)# 设置图表属性
plt.xlabel("输入z", fontsize=12)
plt.ylabel("激活函数输出a", fontsize=12)
plt.title("常见激活函数形态对比", fontsize=14, fontweight="bold")
plt.legend(fontsize=10)
plt.grid(alpha=0.3)
plt.savefig("activation_functions_comparison.png", dpi=300, bbox_inches="tight")
plt.show()# 5. 验证PyTorch内置激活函数(确保手动实现与官方一致)
def verify_pytorch_activations():# 随机输入(避免特殊值)z_test = torch.randn(10)print("输入z:", z_test.numpy())# 对比手动实现与PyTorch内置函数print("\nSigmoid对比:")print("手动实现:", sigmoid(z_test).numpy())print("PyTorch F.sigmoid:", F.sigmoid(z_test).numpy())print("是否一致:", torch.allclose(sigmoid(z_test), F.sigmoid(z_test), atol=1e-6))print("\nGELU对比:")print("手动实现:", gelu(z_test).numpy())print("PyTorch F.gelu:", F.gelu(z_test).numpy())print("是否一致:", torch.allclose(gelu(z_test), F.gelu(z_test), atol=1e-6))verify_pytorch_activations()

在这里插入图片描述
输出结果

  • 图表将显示6种激活函数的形态,可直观观察ReLU的“硬截断”、GELU的“平滑过渡”、Sigmoid的“饱和特性”。
  • 验证部分会输出“是否一致: True”,说明手动实现与PyTorch官方函数精度一致。

五、注意事项与易错点

  1. 死亡ReLU问题

    • 原因:学习率过大导致部分神经元的权重更新后,输入z永久≤0(导数=0,无法再更新);
    • 解决方案:改用Leaky ReLU/PReLU、降低学习率、使用He初始化(针对ReLU的专用初始化)。
  2. Sigmoid的梯度消失

    • 避免在深层网络的隐藏层使用Sigmoid(仅用于二分类输出层);
    • 若必须使用,需配合小学习率和批量归一化(BatchNorm)缓解梯度消失。
  3. GELU的实现差异

    • PyTorch 1.10+的F.gelu默认使用精确计算(非近似),手动实现时需注意版本兼容性;
    • 预训练模型(如BERT)的GELU需与原实现一致,否则会导致性能下降。
  4. 激活函数与初始化的匹配

    • ReLU系列需用He初始化nn.init.kaiming_normal_);
    • Sigmoid/Tanh需用Xavier初始化nn.init.xavier_normal_);
    • 不匹配会导致网络训练缓慢或梯度爆炸。

2.4.2 Sigmoid 替代方案(ReLU 系列等)

Sigmoid作为最早的激活函数之一,因梯度消失、计算效率低等问题,在隐藏层中已逐渐被替代。本节将分析Sigmoid的核心缺陷,并对比主流替代方案的优势与适用场景。

一、Sigmoid的核心缺陷

  1. 梯度消失严重
    Sigmoid的导数为σ′(z)=σ(z)(1−σ(z))\sigma'(z)=\sigma(z)(1-\sigma(z))σ(z)=σ(z)(1σ(z)),最大值仅0.25(z=0时),且当|z|>5时导数≈0。深层网络中,梯度经过多轮乘法后会趋近于0,导致浅层权重无法更新。
  2. 输出非零中心
    Sigmoid输出始终为正((0,1)),导致神经元的梯度更新方向一致(均为正或均为负),减缓收敛速度。
  3. 计算效率低
    依赖指数运算(e−ze^{-z}ez),比ReLU的“比较操作”慢10~100倍,不适合大规模网络。

二、主流替代方案对比

针对Sigmoid的缺陷,不同替代方案从“梯度传播”“计算效率”“输出分布”三个维度进行优化:

替代方案解决的Sigmoid缺陷核心优势适用场景相比Sigmoid的性能提升(ImageNet分类)
ReLU梯度消失、计算慢计算极快、梯度不消失绝大多数CNN、轻量级网络训练速度提升35倍,准确率提升2%5%
Leaky ReLU梯度消失、死亡ReLU无死亡神经元风险ReLU效果差的深层网络训练稳定性提升,准确率提升1%~2%
GELU梯度消失、输出非零中心随机激活、梯度平滑Transformer、预训练模型预训练任务准确率提升3%~8%
ELU梯度消失、抗噪声差零均值输出、抗噪声小样本、高噪声数据噪声数据任务准确率提升2%~4%

三、替代方案的PyTorch实践(以CNN为例)

通过在MNIST数据集上对比Sigmoid与ReLU系列的训练效果,验证替代方案的优势:

import torch
import torch.nn as nn
import torch.optim as optim
from torch.utils.data import DataLoader
from torchvision.datasets import MNIST
from torchvision.transforms import ToTensor
import time# 1. 定义CNN模型(支持切换激活函数)
class CNN(nn.Module):def __init__(self, activation_fn=nn.ReLU()):super(CNN, self).__init__()self.conv1 = nn.Conv2d(1, 32, kernel_size=3, padding=1)self.act1 = activation_fnself.pool1 = nn.MaxPool2d(2)self.conv2 = nn.Conv2d(32, 64, kernel_size=3, padding=1)self.act2 = activation_fnself.pool2 = nn.MaxPool2d(2)self.fc1 = nn.Linear(64 * 7 * 7, 128)self.act3 = activation_fnself.fc2 = nn.Linear(128, 10)def forward(self, x):x = self.pool1(self.act1(self.conv1(x)))x = self.pool2(self.act2(self.conv2(x)))x = x.view(-1, 64 * 7 * 7)  # 展平x = self.act3(self.fc1(x))x = self.fc2(x)return x# 2. 训练函数
def train_model(activation_fn, model_name, epochs=5):# 加载数据train_dataset = MNIST(root="./data", train=True, download=True, transform=ToTensor())test_dataset = MNIST(root="./data", train=False, download=True, transform=ToTensor())train_loader = DataLoader(train_dataset, batch_size=64, shuffle=True)test_loader = DataLoader(test_dataset, batch_size=64, shuffle=False)# 初始化模型、损失函数、优化器device = torch.device("cuda" if torch.cuda.is_available() else "cpu")model = CNN(activation_fn).to(device)criterion = nn.CrossEntropyLoss()optimizer = optim.Adam(model.parameters(), lr=1e-3)# 记录训练信息train_losses = []test_accs = []start_time = time.time()# 训练循环for epoch in range(epochs):model.train()running_loss = 0.0for inputs, labels in train_loader:inputs, labels = inputs.to(device), labels.to(device)# 前向传播outputs = model(inputs)loss = criterion(outputs, labels)# 反向传播optimizer.zero_grad()loss.backward()optimizer.step()running_loss += loss.item() * inputs.size(0)# 计算训练损失train_loss = running_loss / len(train_loader.dataset)train_losses.append(train_loss)# 计算测试准确率model.eval()correct = 0total = 0with torch.no_grad():for inputs, labels in test_loader:inputs, labels = inputs.to(device), labels.to(device)outputs = model(inputs)_, preds = torch.max(outputs, 1)correct += (preds == labels).sum().item()total += labels.size(0)test_acc = correct / totaltest_accs.append(test_acc)# 打印日志print(f"[{model_name}] Epoch {epoch+1}/{epochs} | "f"Train Loss: {train_loss:.4f} | "f"Test Acc: {test_acc:.4f}")# 计算总训练时间total_time = time.time() - start_timeprint(f"[{model_name}] 总训练时间: {total_time:.2f}秒\n")return train_losses, test_accs, total_time# 3. 对比不同激活函数
if __name__ == "__main__":# 定义待对比的激活函数activation_configs = [(nn.Sigmoid(), "Sigmoid"),(nn.ReLU(), "ReLU"),(nn.LeakyReLU(0.01), "LeakyReLU"),(nn.GELU(), "GELU")]# 存储结果results = {}# 训练并对比for act_fn, act_name in activation_configs:train_losses, test_accs, total_time = train_model(act_fn, act_name, epochs=5)results[act_name] = {"losses": train_losses,"accs": test_accs,"time": total_time}# 可视化对比结果plt.figure(figsize=(14, 6))# 子图1:训练损失对比plt.subplot(1, 2, 1)for act_name, data in results.items():plt.plot(range(1, 6), data["losses"], label=act_name, linewidth=2.5, marker="o")plt.xlabel("Epoch")plt.ylabel("Train Loss")plt.title("不同激活函数的训练损失对比")plt.legend()plt.grid(alpha=0.3)# 子图2:测试准确率对比plt.subplot(1, 2, 2)for act_name, data in results.items():plt.plot(range(1, 6), data["accs"], label=act_name, linewidth=2.5, marker="s")plt.xlabel("Epoch")plt.ylabel("Test Accuracy")plt.title("不同激活函数的测试准确率对比")plt.legend()plt.grid(alpha=0.3)plt.tight_layout()plt.savefig("activation_functions_comparison_mnist.png", dpi=300, bbox_inches="tight")plt.show()# 打印性能总结print("=== 性能总结 ===")for act_name, data in results.items():print(f"{act_name}: "f"最终准确率 {data['accs'][-1]:.4f}, "f"总时间 {data['time']:.2f}秒, "f"最终损失 {data['losses'][-1]:.4f}")

预期结果

  • ReLU/GELU/LeakyReLU的训练速度比Sigmoid快2~3倍;
  • 最终测试准确率:GELU≈ReLU>LeakyReLU>Sigmoid(MNIST任务中ReLU与GELU性能接近);
  • Sigmoid的训练损失下降缓慢,且最终准确率低于95%(其他激活函数可达98%以上)。

四、替代方案的选择建议

  1. 优先选择ReLU

    • 适用场景:大多数CNN、轻量级网络(如MobileNet)、资源受限设备(如手机端);
    • 理由:计算最快,无超参数,兼容性好。
  2. ReLU效果差时用Leaky ReLU

    • 适用场景:深层CNN(≥10层)、容易出现死亡ReLU的任务;
    • 调优建议:α\alphaα取0.01或0.1(默认0.01),无需过度调优。
  3. Transformer/预训练模型用GELU

    • 适用场景:BERT、GPT、ViT(视觉Transformer);
    • 理由:随机激活特性更适配自注意力机制,预训练任务性能更优。
  4. 高噪声数据用ELU

    • 适用场景:医疗图像(含噪声)、小样本语音识别;
    • 注意:计算比ReLU慢,需平衡性能与效率。

2.4.3 多类别分类(任务场景)

多类别分类(Multi-Class Classification)是指“每个样本仅属于一个类别,且类别数K≥3”的分类任务,是深度学习最常见的应用场景之一(如图像识别、文本分类)。

一、多类别分类的核心特征

与二分类(K=2)相比,多类别分类具有以下特点:

  1. 类别互斥:每个样本仅对应一个类别(如一张图片只能是“猫”“狗”“鸟”中的一种,不能同时是两种);
  2. 输出维度=类别数:网络输出层的神经元数量等于类别数K(如10分类任务输出层有10个神经元);
  3. 概率归一化:输出需满足“所有类别概率之和=1”(便于类别决策),通常通过Softmax实现;
  4. 损失函数适配:需使用多类别交叉熵损失(而非二分类交叉熵),如PyTorch的nn.CrossEntropyLoss

二、典型任务场景与数据特点

1. 图像分类(最典型场景)
  • 任务描述:给定图像,预测其所属类别(如动物、交通工具、数字);
  • 代表数据集
    • MNIST(10类手写数字,28×28灰度图);
    • CIFAR-10(10类物体,32×32彩色图);
    • ImageNet(1000类物体,224×224彩色图);
  • 网络结构:CNN(如ResNet、ViT),输出层维度=类别数(如ImageNet用1000维输出)。
2. 文本分类
  • 任务描述:给定文本,预测其所属类别(如新闻分类、情感极性细分类);
  • 代表任务
    • 新闻分类(如AG News,4类:世界、体育、商业、科技);
    • 主题分类(如20 Newsgroups,20类主题);
  • 网络结构:RNN/LSTM、Transformer(如BERT),输出层维度=类别数(如20类用20维输出)。
3. 语音分类
  • 任务描述:给定语音片段,预测其类别(如命令词识别、语言识别);
  • 代表任务
    • 命令词识别(如Google Speech Commands,35类命令词);
    • 语言识别(如Common Voice,100+类语言);
  • 网络结构:CNN(处理语音频谱图)、RNN(处理时序特征),输出层维度=类别数。
4. 其他场景
  • 医学影像分类:如病理切片分类(良性/恶性/交界性,3类);
  • 工业质检:如产品缺陷分类(无缺陷/划痕/变形,3类);
  • 推荐系统:如用户兴趣分类(体育/娱乐/科技,3类)。

三、多类别分类的网络设计要点

以“CIFAR-10分类”为例,说明多类别分类的网络设计规范:

import torch
import torch.nn as nn
from torchvision.datasets import CIFAR10
from torchvision.transforms import Compose, ToTensor, Normalize, RandomHorizontalFlip, RandomCrop
from torch.utils.data import DataLoader# 1. 数据预处理(适配CIFAR-10)
def get_cifar10_dataloaders(batch_size=64):# 训练集增强,测试集无增强train_transform = Compose([RandomCrop(32, padding=4),  # 随机裁剪(增强数据多样性)RandomHorizontalFlip(p=0.5),  # 随机水平翻转ToTensor(),Normalize(mean=[0.4914, 0.4822, 0.4465], std=[0.2470, 0.2435, 0.2616])  # CIFAR-10标准归一化])test_transform = Compose([ToTensor(),Normalize(mean=[0.4914, 0.4822, 0.4465], std=[0.2470, 0.2435, 0.2616])])# 加载数据集train_dataset = CIFAR10(root="./data", train=True, download=True, transform=train_transform)test_dataset = CIFAR10(root="./data", train=False, download=True, transform=test_transform)# 数据加载器train_loader = DataLoader(train_dataset, batch_size=batch_size, shuffle=True, num_workers=2)test_loader = DataLoader(test_dataset, batch_size=batch_size, shuffle=False, num_workers=2)return train_loader, test_loader, train_dataset.classes  # 返回类别名称# 2. 多类别分类网络(CNN)
class CIFAR10_CNN(nn.Module):def __init__(self, num_classes=10):  # num_classes=10(CIFAR-10的类别数)super(CIFAR10_CNN, self).__init__()# 特征提取层(CNN)self.features = nn.Sequential(# 卷积块1:3→16nn.Conv2d(3, 16, kernel_size=3, padding=1),nn.BatchNorm2d(16),  # 批量归一化(加速训练)nn.ReLU(inplace=True),nn.MaxPool2d(2, 2),  # 下采样,尺寸16×16# 卷积块2:16→32nn.Conv2d(16, 32, kernel_size=3, padding=1),nn.BatchNorm2d(32),nn.ReLU(inplace=True),nn.MaxPool2d(2, 2),  # 尺寸8×8# 卷积块3:32→64nn.Conv2d(32, 64, kernel_size=3, padding=1),nn.BatchNorm2d(64),nn.ReLU(inplace=True),nn.MaxPool2d(2, 2)  # 尺寸4×4)# 分类层(全连接)self.classifier = nn.Sequential(nn.Flatten(),  # 展平:64×4×4=1024nn.Linear(64 * 4 * 4, 256),  # 1024→256nn.ReLU(inplace=True),nn.Dropout(0.5),  #  dropout(防止过拟合)nn.Linear(256, num_classes)  # 256→10(输出层维度=类别数))def forward(self, x):x = self.features(x)x = self.classifier(x)# 注意:输出层无Softmax!PyTorch的CrossEntropyLoss已包含Softmaxreturn x# 3. 验证网络输出维度
if __name__ == "__main__":# 加载数据train_loader, test_loader, classes = get_cifar10_dataloaders(batch_size=64)print("CIFAR-10类别:", classes)print("类别数:", len(classes))# 初始化网络model = CIFAR10_CNN(num_classes=len(classes))print("\n网络结构:")print(model)# 测试输入输出维度test_input = torch.randn(1, 3, 32, 32)  # 模拟1张32×32彩色图test_output = model(test_input)print(f"\n输入维度: {test_input.shape}")print(f"输出维度: {test_output.shape}")  # 应输出(1, 10),对应10类的logits

设计要点总结

  1. 输出层维度=类别数:如CIFAR-10有10类,输出层设为10个神经元;
  2. 输出层无激活函数:PyTorch的CrossEntropyLoss已集成Softmax,重复添加会导致损失计算错误;
  3. 批量归一化(BatchNorm):加速训练,缓解梯度消失,尤其适合深层网络;
  4. 数据增强:随机裁剪、翻转等操作,提升模型泛化能力(多类别任务易过拟合);
  5. Dropout:分类层添加Dropout(如0.5),防止过拟合。

四、注意事项与常见错误

  1. 类别数与输出层维度不匹配

    • 错误:如CIFAR-10任务输出层设为100个神经元;
    • 后果:损失计算报错(标签范围与输出维度不匹配);
    • 解决方案:确保num_classes参数等于实际类别数,可从数据集的classes属性获取。
  2. 输出层误加Softmax

    • 错误:在输出层后添加nn.Softmax(dim=1),再用CrossEntropyLoss
    • 后果:CrossEntropyLoss会先对输入做Softmax,导致“双重Softmax”,损失计算错误;
    • 解决方案:输出层仅保留线性层(nn.Linear),不添加激活函数。
  3. 标签格式错误

    • 错误:将多类别标签转为one-hot编码(如1→[0,1,0,…]),再用CrossEntropyLoss
    • 后果:CrossEntropyLoss要求标签为“类别索引”(如1),而非one-hot向量;
    • 解决方案:直接使用原始类别索引标签,若标签已one-hot,需用nn.NLLLoss(配合Softmax输出)。

2.4.4 Softmax(原理 + 网络适配 + PyTorch 框架)

Softmax函数是多类别分类的核心组件,其作用是将网络输出的“原始logits”转换为“类别概率分布”,满足“所有概率之和=1”,便于类别决策和损失计算。

一、Softmax的数学原理

1. 定义与公式

对于网络输出的logits向量z=[z1,z2,...,zK]\mathbf{z}=[z_1, z_2, ..., z_K]z=[z1,z2,...,zK](K为类别数),Softmax函数将其映射为概率向量p=[p1,p2,...,pK]\mathbf{p}=[p_1, p_2, ..., p_K]p=[p1,p2,...,pK],公式如下:
pi=ezi∑j=1Kezj(i=1,2,...,K)p_i = \frac{e^{z_i}}{\sum_{j=1}^K e^{z_j}} \quad (i=1,2,...,K)pi=j=1Kezjezi(i=1,2,...,K)

核心特性

  • 概率范围:0<pi<10 < p_i < 10<pi<1(每个类别概率为正);
  • 概率和为1:∑i=1Kpi=1\sum_{i=1}^K p_i = 1i=1Kpi=1(符合概率分布定义);
  • 相对大小保持:若zi>zjz_i > z_jzi>zj,则pi>pjp_i > p_jpi>pj(概率排序与logits排序一致)。
2. 数值稳定性优化

直接计算Softmax易出现数值溢出(当ziz_izi较大时,ezie^{z_i}ezi会超出浮点数范围)。解决方案是“减去logits的最大值”,推导如下:
pi=ezi∑j=1Kezj=ezi−max⁡(z)∑j=1Kezj−max⁡(z)p_i = \frac{e^{z_i}}{\sum_{j=1}^K e^{z_j}} = \frac{e^{z_i - \max(\mathbf{z})}}{\sum_{j=1}^K e^{z_j - \max(\mathbf{z})}}pi=j=1Kezjezi=j=1Kezjmax(z)ezimax(z)

由于max⁡(z)\max(\mathbf{z})max(z)是常数,分子分母同乘e−max⁡(z)e^{-\max(\mathbf{z})}emax(z)不改变结果,但可将zi−max⁡(z)z_i - \max(\mathbf{z})zimax(z)控制在≤0的范围,避免ezie^{z_i}ezi溢出。

二、Softmax与网络的适配逻辑

Softmax在多类别分类网络中的位置和作用如下:

  1. 网络输出层:输出K维logits(无激活函数);
  2. Softmax层:将logits转换为K维概率分布;
  3. 类别决策:选择概率最大的类别作为预测结果(y^=arg⁡max⁡(p1,p2,...,pK)\hat{y} = \arg\max(p_1, p_2, ..., p_K)y^=argmax(p1,p2,...,pK));
  4. 损失计算:用交叉熵损失(Cross-Entropy Loss)衡量预测概率与真实标签的差距。

适配流程图

输入图像 → CNN特征提取 → 全连接层(输出K维logits) → Softmax → K维概率分布 → 类别决策(argmax)↓真实标签(类别索引) → 交叉熵损失 → 反向传播优化

三、PyTorch中的Softmax实现与应用

PyTorch提供两种使用Softmax的方式:手动调用nn.Softmax(推理时)和CrossEntropyLoss自动集成(训练时),需根据场景选择。

1. 训练时:使用CrossEntropyLoss(推荐)

nn.CrossEntropyLoss = Softmax + 负对数似然损失(NLLLoss),直接接收logits作为输入,避免手动计算Softmax的麻烦和数值错误。

import torch
import torch.nn as nn
import torch.optim as optim
from torch.utils.data import DataLoader
from torchvision.datasets import MNIST
from torchvision.transforms import ToTensor# 1. 加载数据(MNIST,10类)
train_dataset = MNIST(root="./data", train=True, download=True, transform=ToTensor())
train_loader = DataLoader(train_dataset, batch_size=64, shuffle=True)# 2. 定义简单网络(输出10维logits)
class SimpleNet(nn.Module):def __init__(self):super(SimpleNet, self).__init__()self.flatten = nn.Flatten()self.fc1 = nn.Linear(28*28, 256)self.fc2 = nn.Linear(256, 10)  # 输出层:10维logits(无Softmax)def forward(self, x):x = self.flatten(x)x = torch.relu(self.fc1(x))x = self.fc2(x)  # 输出logitsreturn x# 3. 初始化模型、损失函数(CrossEntropyLoss)、优化器
model = SimpleNet()
criterion = nn.CrossEntropyLoss()  # 已集成Softmax
optimizer = optim.Adam(model.parameters(), lr=1e-3)# 4. 单批次训练演示
model.train()
for inputs, labels in train_loader:# 输入:(64, 1, 28, 28),标签:(64,)(类别索引,如0-9)print(f"输入形状: {inputs.shape}, 标签形状: {labels.shape}")# 前向传播:输出logits(64, 10)logits = model(inputs)print(f"Logits形状: {logits.shape}")# 计算损失(CrossEntropyLoss自动对logits做Softmax)loss = criterion(logits, labels)print(f"损失值: {loss.item():.4f}")# 反向传播与优化optimizer.zero_grad()loss.backward()optimizer.step()# 计算概率与预测类别(推理时用)with torch.no_grad():# 手动计算Softmax(推理时获取概率)probs = torch.softmax(logits, dim=1)  # dim=1:按样本维度计算Softmaxprint(f"概率形状: {probs.shape}, 概率和: {probs.sum(dim=1).numpy()[:5]}")  # 验证概率和为1# 预测类别(argmax取概率最大的索引)preds = torch.argmax(probs, dim=1)print(f"预测类别形状: {preds.shape}, 前5个预测: {preds.numpy()[:5]}")print(f"前5个真实标签: {labels.numpy()[:5]}")break  # 仅演示单批次
2. 推理时:手动调用torch.softmax

推理阶段需要获取类别概率(如计算置信度),需手动对logits应用Softmax,注意指定dim=1(按样本维度计算,确保每个样本的概率和为1)。

def infer_with_softmax(model, test_loader, device):"""推理时用Softmax计算概率"""model.eval()correct = 0total = 0with torch.no_grad():for inputs, labels in test_loader:inputs, labels = inputs.to(device), labels.to(device)# 前向传播:获取logitslogits = model(inputs)# 计算概率(推理时手动加Softmax)probs = torch.softmax(logits, dim=1)# 预测类别(概率最大的类别)preds = torch.argmax(probs, dim=1)# 计算准确率correct += (preds == labels).sum().item()total += labels.size(0)# 输出部分结果(概率、置信度、预测类别)if total <= 5:  # 仅展示前5个样本sample_idx = total - len(labels)  # 当前批次的起始索引for i in range(min(len(labels), 5 - sample_idx)):print(f"样本{i+sample_idx+1}: "f"概率={probs[i].numpy().round(4)}, "f"置信度={probs[i].max().item():.4f}, "f"预测={preds[i].item()}, "f"真实={labels[i].item()}")print(f"\n推理准确率: {correct/total:.4f}")return correct/total# 测试推理函数
if __name__ == "__main__":device = torch.device("cuda" if torch.cuda.is_available() else "cpu")model = SimpleNet().to(device)test_dataset = MNIST(root="./data", train=False, download=True, transform=ToTensor())test_loader = DataLoader(test_dataset, batch_size=64, shuffle=False)# 加载训练好的权重(此处用随机权重演示,实际需加载训练后的权重)# model.load_state_dict(torch.load("mnist_simple_net.pth"))infer_with_softmax(model, test_loader, device)
3. 数值稳定性验证

通过代码验证“减去最大值”的优化效果,避免数值溢出:

def verify_softmax_numerical_stability():# 生成极端logits(含大值,易导致溢出)logits = torch.tensor([[1000, 1001, 1002]], dtype=torch.float32)print("原始logits:", logits.numpy())# 1. 直接计算Softmax(会溢出)try:probs_direct = torch.softmax(logits, dim=1)print("直接计算Softmax:", probs_direct.numpy())except Exception as e:print("直接计算Softmax报错:", e)# 2. 优化计算(减去最大值)max_val = logits.max(dim=1, keepdim=True)[0]  # 按样本维度取最大值logits_optimized = logits - max_valprobs_optimized = torch.softmax(logits_optimized, dim=1)print("优化后logits:", logits_optimized.numpy())print("优化后Softmax:", probs_optimized.numpy())print("优化后概率和:", probs_optimized.sum(dim=1).numpy())# 验证数值稳定性
verify_softmax_numerical_stability()

输出结果

  • 直接计算Softmax会输出inf(无穷大)或nan(非数字),因e1002e^{1002}e1002超出浮点数范围;
  • 优化后计算会正常输出概率(如[0.0900, 0.2447, 0.6652]),概率和为1。

四、注意事项与常见错误

  1. dim参数设置错误

    • 错误:torch.softmax(logits, dim=0)(按特征维度计算,而非样本维度);
    • 后果:所有样本的概率之和为1(而非单个样本),预测结果完全错误;
    • 解决方案:始终设置dim=1(假设输入形状为(batch_size, num_classes))。
  2. 训练时手动加Softmax

    • 错误:输出层后加nn.Softmax(dim=1),再用CrossEntropyLoss
    • 后果:CrossEntropyLoss会再次对输入做Softmax,导致“双重Softmax”,损失值异常(通常很小或为负);
    • 解决方案:训练时输出层仅保留线性层,推理时再手动加Softmax。
  3. 数值溢出未处理

    • 错误:对大logits直接计算Softmax,未减去最大值;
    • 后果:e^{z_i}溢出,输出infnan,训练崩溃;
    • 解决方案:使用PyTorch的torch.softmax(已内置“减最大值”优化),无需手动处理。

2.4.5 多输出分类(扩展场景)

多输出分类(Multi-Output Classification)是“一个样本同时预测多个类别标签”的场景,与传统多类别分类(单标签)的核心区别是标签不互斥(如一张图片可同时包含“猫”和“狗”两个标签)。

一、多输出分类的核心场景

1. 多标签分类(Multi-Label Classification)
  • 定义:每个样本属于多个类别(标签为二进制向量,1表示“属于该类”,0表示“不属于”);
  • 典型场景
    • 图像标注:一张图片标注“猫”“草地”“晴天”(3个标签);
    • 文本分类:一篇新闻同时属于“体育”和“足球”(2个标签);
    • 视频分类:一段视频包含“动作”“冒险”“悬疑”(3个标签);
  • 数据特点:标签为one-hot向量的扩展(如3标签任务中,样本标签可为[1,0,1])。
2. 多任务分类(Multi-Task Classification)
  • 定义:一个模型同时完成多个分类任务(每个任务有独立的类别体系);
  • 典型场景
    • 图像多任务:同时预测“图像类别”(如猫/狗)和“图像风格”(如写实/卡通);
    • 文本多任务:同时预测“文本主题”(新闻/科技)和“情感极性”(正面/负面);
    • 语音多任务:同时预测“语音内容”(命令词)和“说话人性别”(男/女);
  • 数据特点:每个样本有多个独立标签(如文本任务中,标签为(主题标签, 情感标签))。

二、多标签分类的PyTorch实现

多标签分类的核心是输出层用Sigmoid激活(每个输出独立预测“是否属于该类”)和损失函数用二元交叉熵BCEWithLogitsLoss)。

1. 数据准备(以多标签图像数据集为例)

使用TorchVisionCIFAR-100数据集模拟多标签场景(每个样本随机分配2~3个标签):

import torch
import torch.nn as nn
import torch.optim as optim
from torch.utils.data import Dataset, DataLoader
from torchvision.datasets import CIFAR100
from torchvision.transforms import Compose, ToTensor, Normalize
import numpy as np# 1. 自定义多标签数据集
class CIFAR100_MultiLabel(Dataset):def __init__(self, root, train=True, transform=None, num_labels_per_sample=2):"""模拟多标签CIFAR-100数据集num_labels_per_sample: 每个样本的标签数(2~3)"""self.base_dataset = CIFAR100(root=root, train=train, download=True, transform=None)self.transform = transformself.num_labels_per_sample = num_labels_per_sampleself.num_classes = 100# 为每个样本生成多标签(随机选择2~3个类别)self.multi_labels = []for _ in range(len(self.base_dataset)):# 随机选择2~3个不同的类别索引num_labels = np.random.randint(2, 4)  # 2或3个标签label_indices = np.random.choice(self.num_classes, num_labels, replace=False)# 转为one-hot向量(100维,1表示属于该类)multi_label = np.zeros(self.num_classes, dtype=np.float32)multi_label[label_indices] = 1.0self.multi_labels.append(multi_label)def __len__(self):return len(self.base_dataset)def __getitem__(self, idx):# 获取原始图像和标签img, _ = self.base_dataset[idx]multi_label = self.multi_labels[idx]# 应用变换if self.transform is not None:img = self.transform(img)# 转换为张量multi_label = torch.tensor(multi_label)return img, multi_label# 2. 数据加载器
def get_multilabel_dataloaders(batch_size=64):# 数据预处理transform = Compose([ToTensor(),Normalize(mean=[0.5071, 0.4867, 0.4408], std=[0.2675, 0.2565, 0.2761])  # CIFAR-100标准归一化])# 加载多标签数据集train_dataset = CIFAR100_MultiLabel(root="./data", train=True, transform=transform, num_labels_per_sample=2)test_dataset = CIFAR100_MultiLabel(root="./data", train=False, transform=transform, num_labels_per_sample=2)# 数据加载器train_loader = DataLoader(train_dataset, batch_size=batch_size, shuffle=True, num_workers=2)test_loader = DataLoader(test_dataset, batch_size=batch_size, shuffle=False, num_workers=2)return train_loader, test_loader, train_dataset.num_classes
2. 多标签分类网络设计
class MultiLabelCNN(nn.Module):def __init__(self, num_classes=100):super(MultiLabelCNN, self).__init__()# 特征提取层(CNN)self.features = nn.Sequential(nn.Conv2d(3, 32, kernel_size=3, padding=1),nn.BatchNorm2d(32),nn.ReLU(inplace=True),nn.MaxPool2d(2, 2),  # 16×16nn.Conv2d(32, 64, kernel_size=3, padding=1),nn.BatchNorm2d(64),nn.ReLU(inplace=True),nn.MaxPool2d(2, 2),  # 8×8nn.Conv2d(64, 128, kernel_size=3, padding=1),nn.BatchNorm2d(128),nn.ReLU(inplace=True),nn.MaxPool2d(2, 2)  # 4×4)# 分类层(输出num_classes个logits,对应每个类别的预测)self.classifier = nn.Sequential(nn.Flatten(),  # 128×4×4=2048nn.Linear(128 * 4 * 4, 512),nn.ReLU(inplace=True),nn.Dropout(0.5),nn.Linear(512, num_classes)  # 输出层:num_classes个logits)# 多标签分类的激活函数(Sigmoid,推理时用)self.sigmoid = nn.Sigmoid()def forward(self, x, return_probs=False):x = self.features(x)x = self.classifier(x)  # 输出logits(用于训练,配合BCEWithLogitsLoss)if return_probs:# 推理时返回概率(Sigmoid激活)x = self.sigmoid(x)return x
3. 训练与推理(多标签场景适配)
def train_multilabel_model(model, train_loader, criterion, optimizer, device, epochs=3):model.train()model.to(device)for epoch in range(epochs):running_loss = 0.0for inputs, labels in train_loader:inputs, labels = inputs.to(device), labels.to(device)# 前向传播(输出logits)outputs = model(inputs)# 计算损失(BCEWithLogitsLoss:适用于多标签分类)loss = criterion(outputs, labels)# 反向传播与优化optimizer.zero_grad()loss.backward()optimizer.step()running_loss += loss.item() * inputs.size(0)# 计算epoch损失epoch_loss = running_loss / len(train_loader.dataset)print(f"Epoch {epoch+1}/{epochs} | Train Loss: {epoch_loss:.4f}")return modeldef infer_multilabel_model(model, test_loader, device, threshold=0.5):"""多标签推理:用阈值(如0.5)判断是否属于该类"""model.eval()model.to(device)# 多标签分类的评估指标:精确率、召回率、F1分数true_positives = 0  # 预测为1且真实为1false_positives = 0  # 预测为1且真实为0false_negatives = 0  # 预测为0且真实为1with torch.no_grad():for inputs, labels in test_loader:inputs, labels = inputs.to(device), labels.to(device)# 推理:获取概率(Sigmoid激活)probs = model(inputs, return_probs=True)# 按阈值生成预测标签(0或1)preds = (probs > threshold).float()# 计算评估指标true_positives += (preds * labels).sum().item()false_positives += (preds * (1 - labels)).sum().item()false_negatives += ((1 - preds) * labels).sum().item()# 计算精确率、召回率、F1precision = true_positives / (true_positives + false_positives + 1e-8)  # 加1e-8避免除零recall = true_positives / (true_positives + false_negatives + 1e-8)f1 = 2 * precision * recall / (precision + recall + 1e-8)print(f"\n多标签推理结果(阈值={threshold}):")print(f"精确率(Precision): {precision:.4f}")print(f"召回率(Recall): {recall:.4f}")print(f"F1分数: {f1:.4f}")# 展示部分样本结果print("\n部分样本预测结果:")inputs, labels = next(iter(test_loader))inputs, labels = inputs[:5].to(device), labels[:5].to(device)probs = model(inputs, return_probs=True)preds = (probs > threshold).float()for i in range(5):# 提取真实标签和预测标签的类别索引true_labels = torch.where(labels[i] == 1)[0].numpy()pred_labels = torch.where(preds[i] == 1)[0].numpy()print(f"样本{i+1}:")print(f"  真实标签: {true_labels}")print(f"  预测概率: {probs[i][true_labels].numpy().round(4)}")print(f"  预测标签: {pred_labels}")return precision, recall, f1# 主函数:多标签分类完整流程
if __name__ == "__main__":# 设备配置device = torch.device("cuda" if torch.cuda.is_available() else "cpu")print(f"使用设备: {device}")# 1. 加载数据train_loader, test_loader, num_classes = get_multilabel_dataloaders(batch_size=64)print(f"多标签类别数: {num_classes}")# 2. 初始化模型、损失函数、优化器model = MultiLabelCNN(num_classes=num_classes)# 多标签损失函数:BCEWithLogitsLoss(输入为logits,自动加Sigmoid)criterion = nn.BCEWithLogitsLoss()optimizer = optim.Adam(model.parameters(), lr=1e-3)# 3. 训练模型print("\n开始训练多标签模型...")model = train_multilabel_model(model, train_loader, criterion, optimizer, device, epochs=3)# 4. 推理模型print("\n开始多标签推理...")infer_multilabel_model(model, test_loader, device, threshold=0.5)

多标签分类核心适配点

  1. 输出层激活函数:推理时用Sigmoid(每个输出独立预测“是否属于该类”);
  2. 损失函数:用nn.BCEWithLogitsLoss(二元交叉熵,支持多标签场景);
  3. 标签格式:标签为one-hot向量(如[1,0,1]),而非类别索引;
  4. 推理决策:用阈值(如0.5)判断是否属于该类,而非argmax(多标签非互斥);
  5. 评估指标:用精确率、召回率、F1分数(而非准确率,准确率不适用于多标签)。

三、多任务分类的PyTorch实现

多任务分类的核心是网络输出多个分支(每个分支对应一个任务),并联合优化多个任务的损失(加权求和)。

1. 多任务网络设计(以“图像类别+风格”双任务为例)
class MultiTaskCNN(nn.Module):def __init__(self, num_class_task1=10, num_class_task2=2):super(MultiTaskCNN, self).__init__()# 共享特征提取层(两个任务共用)self.shared_features = nn.Sequential(nn.Conv2d(3, 32, kernel_size=3, padding=1),nn.BatchNorm2d(32),nn.ReLU(inplace=True),nn.MaxPool2d(2, 2),nn.Conv2d(32, 64, kernel_size=3, padding=1),nn.BatchNorm2d(64),nn.ReLU(inplace=True),nn.MaxPool2d(2, 2))# 任务1分支(图像类别分类,多类别任务)self.task1_head = nn.Sequential(nn.Flatten(),nn.Linear(64 * 8 * 8, 256),nn.ReLU(inplace=True),nn.Linear(256, num_class_task1)  # 输出logits(无Softmax))# 任务2分支(图像风格分类,二分类任务)self.task2_head = nn.Sequential(nn.Flatten(),nn.Linear(64 * 8 * 8, 128),nn.ReLU(inplace=True),nn.Linear(128, 1)  # 输出logits(无Sigmoid))# 激活函数(推理时用)self.softmax = nn.Softmax(dim=1)  # 任务1:多类别self.sigmoid = nn.Sigmoid()        # 任务2:二分类def forward(self, x, return_probs=False):# 共享特征提取shared_x = self.shared_features(x)# 任务1输出(图像类别)task1_logits = self.task1_head(shared_x)# 任务2输出(图像风格)task2_logits = self.task2_head(shared_x)if return_probs:# 推理时返回概率task1_probs = self.softmax(task1_logits)task2_probs = self.sigmoid(task2_logits)return task1_probs, task2_probs# 训练时返回logitsreturn task1_logits, task2_logits
2. 多任务训练与推理
# 模拟多任务数据集(任务1:CIFAR-10类别,任务2:随机风格标签)
class CIFAR10_MultiTask(Dataset):def __init__(self, root, train=True, transform=None):self.base_dataset = CIFAR10(root=root, train=train, download=True, transform=transform)self.num_class_task1 = 10  # 任务1:CIFAR-10类别self.num_class_task2 = 2   # 任务2:风格(0=写实,1=卡通)# 生成任务2的风格标签(随机)self.task2_labels = np.random.randint(0, 2, len(self.base_dataset))def __len__(self):return len(self.base_dataset)def __getitem__(self, idx):img, task1_label = self.base_dataset[idx]task2_label = self.task2_labels[idx]# 转换为张量task1_label = torch.tensor(task1_label, dtype=torch.long)task2_label = torch.tensor(task2_label, dtype=torch.float32)return img, (task1_label, task2_label)# 多任务训练函数
def train_multitask_model(model, train_loader, criterions, optimizer, device, epochs=3, task_weights=[0.5, 0.5]):"""criterions: 损失函数列表([task1_criterion, task2_criterion])task_weights: 任务权重(平衡不同任务的损失)"""model.train()model.to(device)task1_criterion, task2_criterion = criterionsfor epoch in range(epochs):running_task1_loss = 0.0running_task2_loss = 0.0for inputs, (task1_labels, task2_labels) in train_loader:inputs = inputs.to(device)task1_labels = task1_labels.to(device)task2_labels = task2_labels.to(device)# 前向传播(输出两个任务的logits)task1_logits, task2_logits = model(inputs)# 计算每个任务的损失task1_loss = task1_criterion(task1_logits, task1_labels)task2_loss = task2_criterion(task2_logits, task2_labels)# 联合损失(加权求和)total_loss = task_weights[0] * task1_loss + task_weights[1] * task2_loss# 反向传播与优化optimizer.zero_grad()total_loss.backward()optimizer.step()# 累加损失running_task1_loss += task1_loss.item() * inputs.size(0)running_task2_loss += task2_loss.item() * inputs.size(0)# 计算epoch损失epoch_task1_loss = running_task1_loss / len(train_loader.dataset)epoch_task2_loss = running_task2_loss / len(train_loader.dataset)epoch_total_loss = task_weights[0] * epoch_task1_loss + task_weights[1] * epoch_task2_lossprint(f"Epoch {epoch+1}/{epochs} | "f"Total Loss: {epoch_total_loss:.4f} | "f"Task1 Loss: {epoch_task1_loss:.4f} | "f"Task2 Loss: {epoch_task2_loss:.4f}")return model# 多任务推理函数
def infer_multitask_model(model, test_loader, device):model.eval()model.to(device)# 任务1:多类别分类准确率task1_correct = 0task1_total = 0# 任务2:二分类准确率task2_correct = 0task2_total = 0with torch.no_grad():for inputs, (task1_labels, task2_labels) in test_loader:inputs = inputs.to(device)task1_labels = task1_labels.to(device)task2_labels = task2_labels.to(device)# 推理:获取概率task1_probs, task2_probs = model(inputs, return_probs=True)# 任务1:多类别预测(argmax)task1_preds = torch.argmax(task1_probs, dim=1)task1_correct += (task1_preds == task1_labels).sum().item()task1_total += task1_labels.size(0)# 任务2:二分类预测(阈值0.5)task2_preds = (task2_probs > 0.5).float().squeeze()task2_correct += (task2_preds == task2_labels).sum().item()task2_total += task2_labels.size(0)# 计算准确率task1_acc = task1_correct / task1_totaltask2_acc = task2_correct / task2_totalprint(f"\n多任务推理结果:")print(f"任务1(图像类别)准确率: {task1_acc:.4f}")print(f"任务2(图像风格)准确率: {task2_acc:.4f}")return task1_acc, task2_acc# 主函数:多任务分类完整流程if __name__ == "__main__":# 设备配置device = torch.device("cuda" if torch.cuda.is_available() else "cpu")print(f"使用设备: {device}")# 1. 加载多任务数据集transform = Compose([ToTensor(),Normalize(mean=[0.4914, 0.4822, 0.4465], std=[0.2470, 0.2435, 0.2616])])train_dataset = CIFAR10_MultiTask(root="./data", train=True, transform=transform)test_dataset = CIFAR10_MultiTask(root="./data", train=False, transform=transform)train_loader = DataLoader(train_dataset, batch_size=64, shuffle=True, num_workers=2)test_loader = DataLoader(test_dataset, batch_size=64, shuffle=False, num_workers=2)print(f"任务1类别数: {train_dataset.num_class_task1}(图像类别)")print(f"任务2类别数: {train_dataset.num_class_task2}(图像风格)")# 2. 初始化模型、损失函数、优化器model = MultiTaskCNN(num_class_task1=train_dataset.num_class_task1,num_class_task2=train_dataset.num_class_task2)# 不同任务使用不同损失函数criterions = [nn.CrossEntropyLoss(),  # 任务1:多类别分类nn.BCEWithLogitsLoss()  # 任务2:二分类(图像风格)]optimizer = optim.Adam(model.parameters(), lr=1e-3)# 3. 训练模型(任务权重根据重要性调整,这里设为[0.6, 0.4])print("\n开始训练多任务模型...")model = train_multitask_model(model, train_loader, criterions, optimizer, device,epochs=3, task_weights=[0.6, 0.4])# 4. 推理模型print("\n开始多任务推理...")infer_multitask_model(model, test_loader, device)

多任务学习核心适配点

  1. 网络分支设计:共享特征提取层(提高参数效率)+ 任务专属头(适配不同输出维度);
  2. 损失函数组合:根据任务类型选择损失(如多类别用CrossEntropyLoss,二分类用BCEWithLogitsLoss);
  3. 联合损失计算:通过任务权重(task_weights)平衡不同任务的损失贡献(避免某一任务主导优化);
  4. 推理适配:不同任务采用对应决策方式(多类别用argmax,二分类用阈值)。

三、多输出分类的注意事项与进阶技巧

1. 任务权重调优
  • 问题:不同任务的损失值范围可能差异很大(如A任务损失≈10,B任务损失≈0.1),直接加权会导致优化偏向损失大的任务;
  • 解决方案
    • 初始权重设为1/K(K为任务数),训练中观察各任务性能,手动上调重要任务权重;
    • 动态权重策略:根据任务损失的反比自动调整(如wi=1/lossiw_i = 1/\text{loss}_iwi=1/lossi),避免人为调参;
    • 示例:图像分类+目标检测任务中,检测任务权重通常高于分类(因检测更复杂)。
2. 任务相关性考量
  • 正向迁移:任务间存在关联时(如“人脸检测”与“性别识别”),共享特征可提升双方性能;
  • 负向迁移:任务间无关联时(如“图像分类”与“文本情感”),强行共享特征会导致性能下降;
  • 建议:仅在任务有重叠特征时使用多任务学习(如视觉任务间共享CNN特征,语言任务间共享Transformer特征)。
3. 样本不平衡处理
  • 问题:多标签任务中,不同类别的正样本比例可能差异极大(如“猫”出现1000次,“老虎”仅出现10次);
  • 解决方案
    • 损失函数中添加类别权重(nn.BCEWithLogitsLoss(weight=class_weights));
    • 对稀有类别进行过采样,或对常见类别进行欠采样;
    • 推理时降低稀有类别的决策阈值(如“老虎”用0.3而非0.5)。
4. 评估指标选择
任务类型不适用指标推荐指标
多标签分类准确率(Accuracy)精确率(Precision)、召回率(Recall)、F1分数、Hamming距离
多任务分类单一指标各任务独立指标(如任务1准确率、任务2F1)+ 平均指标

四、多输出分类与传统分类的对比总结

维度传统多类别分类(单标签)多输出分类(多标签/多任务)
标签特性互斥(仅一个标签)非互斥(多个标签/任务)
输出层激活函数无(训练)/Softmax(推理)无(训练)/Sigmoid(推理)
损失函数CrossEntropyLossBCEWithLogitsLoss(多标签)/ 多损失组合(多任务)
决策方式argmax(取概率最大类别)阈值判断(多标签)/ 各任务独立决策(多任务)
典型应用ImageNet分类、手写数字识别图像标注、多属性预测、联合任务学习
核心挑战类别不平衡、类别混淆任务权重平衡、负向迁移、样本稀疏

总结

激活函数与多类别处理是深度学习模型设计的核心环节:

  • 激活函数通过引入非线性赋予网络复杂建模能力,ReLU系列(含GELU)凭借高效性成为主流,需根据网络深度、任务类型选择适配函数;
  • 多类别分类通过Softmax实现概率归一化,配合CrossEntropyLoss完成训练,需注意输出层维度与类别数匹配,避免手动添加Softmax导致的损失计算错误;
  • 多输出分类(多标签/多任务)扩展了传统分类的适用范围,需通过Sigmoid激活、BCE损失(多标签)或多损失组合(多任务)实现,核心是平衡任务权重与特征共享策略。

实际应用中,需结合具体任务场景选择合适的技术方案,并通过可视化与 ablation study 验证关键组件的有效性。

http://www.dtcms.com/a/457961.html

相关文章:

  • 【PAG】PAG简介
  • hutool交并集
  • 赣州建设公司网站权威网站有哪些
  • Python制作12306查票工具:从零构建铁路购票信息查询系统
  • 《道德经》第十三章
  • 东莞做网站网络公司官网建设的重要性
  • Docker 容器操作
  • 小说网站建设源码潜江网络
  • 做网页游戏网站html网页设计大赛作品
  • 日语学习-日语知识点小记-进阶-JLPT-N1阶段应用练习(8):语法 +考え方21+2022年7月N1
  • 维基框架 (Wiki Framework) v1.1.2 | 企业级微服务开发框架
  • 做的网站提示不安全个人网站的名字
  • 用wordpress建站会不会显得水平差喜迎二十大作文
  • 我已经把 Cookie 的值从 zhangfei 改成了 guanyu,为什么再次获取时还是 zhangfei?”
  • C++回调函数的设计以及调用者应注意的问题
  • 上海推广网站公司网站搭建什么意思
  • 美团-Mtgsig4.0.4逆向-Js逆向
  • 巩义推广网站哪家好制作网站设计的技术有
  • 孝感房地产网站建设建设总承包网站
  • 杭州网站建设服务公司小程序商城源代码
  • SSH运维操作:从基础概念到高级
  • WinSCP下载和安装教程(附安装包,图文并茂)
  • Linux环境基础开发工具
  • 备案期间网站wordpress个人简历主题
  • AI智能体(Agent)大模型入门【8】--关于ocr文字识别图片识别
  • 商城版网站建设网站开发的经验
  • Linux命令--minio安装
  • 长春网站推广网诚传媒互联网服务商
  • 提供网站建设的理由创建私人网站
  • 【Proteus仿真】基于AT89C51单片机的单片机双向通信