当前位置: 首页 > news >正文

单链表的应用02---算法中的暴力美学(第八讲)

算法题六. 相交链表

题目来源:https://leetcode.cn/problems/intersection-of-two-linked-lists/description/

由分析可知:相交链表也就以下这三种情况:

   注意:下面这种“八叉型”的相交在链表中不存在这种结构,因为相交点的next指针不可能同时指向两个节点。

   则我们可以得出如下结论:两个链表的尾结点相同,则两个链表一定相交

   思路:求两个链表的长度,长的那个链表先走“两个链表长度差”步,走完后,长短链表开始同步遍历,找相同的节点

typedef struct ListNode ListNode;ListNode *getIntersectionNode(ListNode *headA, ListNode *headB) {//1.求两个链表长度 ListNode* pa=headA;ListNode* pb=headB;int sizeA=0,sizeB=0;while(pa){++sizeA;pa=pa->next;}while(pb){++sizeB;pb=pb->next;}//2.求两个链表长度差int gap=abs(sizeA-sizeB);//3.看哪个链表长,哪个就先走长度差ListNode* shortlist=headA;ListNode* longlist=headB;if(sizeA>sizeB){shortlist=headB;longlist=headA;}//4.让长链表先走gapwhile(gap--){longlist=longlist->next;}//5.longlist,shortlist在同一起跑线,开始遍历比较while(shortlist)//等价于“while(longlist)”{if(shortlist==longlist){return shortlist;}shortlist=shortlist->next;longlist=longlist->next;}//链表不相交return NULL;}

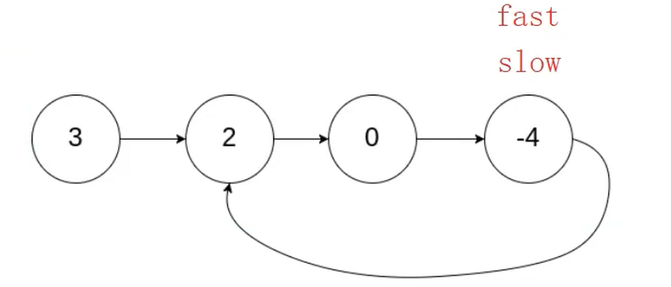
算法题七. 环形链表I

题目来源:https://leetcode.cn/problems/linked-list-cycle/description/

   思路快慢指针,慢指针每次走一步,快指针每次走两步,如果slow指针和fast指针指向同一个节点,说明链表带环

typedef struct ListNode ListNode;bool hasCycle(ListNode *head) {//创建快慢指针ListNode* slow=head;ListNode* fast=head;while(fast!=NULL&&fast->next!=NULL){slow=slow->next;fast=fast->next->next;if(fast==slow){//快慢指针相遇return true;}}//链表不带环return false;}

       疑问一:但是老铁们,话说回来,你怎么就知道这道题慢指针走一步,快指针就走两步就能相遇呢?难道就不存在不会相遇的情况呢?

       具体过程抽象如上图,显而易见,fast指针走得快,fast指针一定会比slow指针先入环,假设此时slow指针刚入环,设slow和fast之间的最大距离为N,此时此刻,slow和fast指针都在环里,这时候就变成了一个追击相遇问题(fast会追slow),fast每走两步,slow就会走一步,它们之间的距离就变成N-1;此时再次fast每走两步,slow走一步,它们之间的距离就变成N-2;依次递推,随着时间推移,slow和fast的距离会逐渐缩小,直至最后相遇:N-3,N-4,.......2,1,0。

      疑问二:由疑问一的证明可知,在环中,快指针走两步,慢指针走一步,两个指针一定会相遇,那快指针走三步或者四步或者五步...,那快慢指针会不会相遇呢?

       假设此时slow指针刚入环,设slow和fast之间的最大距离为N,慢指针每次走一步,快指针每次走三步,则二者之间的距离缩短至N+1-3=N-2,依次递推,距离缩短至N-2+1-3=N-4,N-6,...4,2,0但是这种情况相遇,N必须为偶数,如果N为奇数,那距离就会变成...3,1,-1,(-1表示fast此时已经跑到slow前面了,变成slow追fast,随着时间推移,二者之间距离会越来越大),往后会发生套圈现象,设圈周长为C,则此时距离为C-1(这一圈没追上),那下一圈是否会追上?N为奇数,下一圈开始追逐,若C-1为奇数,即C为偶数,一定不会相遇;若C-1为偶数,即C为奇数,一定会相遇,此种情况不成立。

     疑问三:此时C-1到底是奇数还是偶数?

       慢指针每次走一步,快指针每次走三步,快慢指针之间的路程关系为:3*慢指针=快指针。如上图所示,假如说slow指针在入环节点的位置,则慢指针走的总路程为L,快指针走的总路程为L+C-N,但是也有可能fast已经绕了好几圈到那个位置slow才入环。则此时快指针的路程为L+C-N+nC。将其代入蓝色公式中最终可得:2L=(n+1)C-N。最终结论:N为奇数,C为奇数,一定会相遇

       综上,对于疑问二,我们的回答是肯定的。


算法题八. 环形链表II       

题目来源:https://leetcode.cn/problems/linked-list-cycle-ii/description/

思路:快慢指针,在环里一定会相遇,相遇点到入环节点的距离=头节点到入环节点的距离

typedef struct ListNode ListNode;ListNode *detectCycle(ListNode *head) {ListNode* slow=head;ListNode* fast=head;while(fast!=NULL&&fast->next!=NULL){slow=slow->next;fast=fast->next->next;if(fast==slow){//相遇点--找入环节点ListNode* pcur=head;while(pcur!=slow){pcur=pcur->next;slow=slow->next;}return pcur;  //也可返回slow}}//链表不带环return NULL;}

  证明:为什么在带环链表中,快慢指针相遇点到入环节点的距离=头节点到入环节点的距离?

  

        如上图:E代表入环节点,M代表相遇节点,假设环的周长为R,头节点到入环节点的距离为L,慢指针再相遇点走的路程:L+X,快指针在相遇点走的路程L+X+nR,由于slow*2=fast,则可得出:L=(n-1)R+R-X。可知(n-1)R与快慢指针相遇无关,所以可以不计,则最终L=R-X,所以结论成立,得证!


       以上就是今天的内容,下节我将讲述难度更大一些的关于单链表的算法题,链表分割随机链表的复制。感兴趣的朋友们可以一键三连喔~

http://www.dtcms.com/a/456683.html

相关文章:

  • 【RAG】优化query查询效果的几种处理
  • transformer详解(位置编码+attention+残差连接+全连接网络)
  • 已注册域名怎么做网站呢免费网站免费网站平台
  • 如何解决 pip install -r requirements.txt 约束文件 constraints.txt 仅允许固定版本(未锁定报错)问题
  • 【Camera】准备的一些Camera面试题——相机预览、拍照流程(经验尚欠,待补充)
  • CICD工具选型指南,GitLab cicd vs Arbess哪一款更好用?
  • 尉Lucene.Net 分词器选择指南:盘古分词 vs 结巴分词h
  • gitlab runner 安装
  • MySQL的OR条件查询不走索引及解决方案
  • 1688 店铺商品全量采集与智能分析:从接口调用到供应链数据挖掘
  • 淘宝商品详情采集方式,json数据返回
  • 【论文精度-1】 组合优化中的机器学习:方法论之旅(Yoshua Bengio, 2021)
  • 南京维露斯网站建设微信营销软件app
  • 从帧边界识别到数据编码:嵌入式通信协议与数据序列化方案深度对比
  • Quick SwiftObjective-C测试框架入门教程
  • GRM tools三大插件使用教程
  • C62-结构体的指针
  • 腾讯云 建网站企业网站seo公司
  • Java-143 深入浅出 MongoDB NoSQL:MongoDB、Redis、HBase、Neo4j应用场景与对比
  • 线程1——javaEE 附面题
  • 吴恩达机器学习课程(PyTorch适配)学习笔记:1.4 模型评估与问题解决
  • 后端_基于注解实现的请求限流
  • 从 0 到 1 搭建 Python 语言 Web UI自动化测试学习系列 10--基础知识 6--元素等待方式和内联框架
  • 织梦网站如何做seo重庆市城市建设档案馆官方网站
  • 一文详解Go语言字符串
  • 通用:MySQL-LBCC并发锁机制
  • Elasticsearch:使用推理端点及语义搜索演示
  • 基于websocket的多用户网页五子棋(九)
  • Async++ 源码分析13--parallel_reduce.h
  • 分布式api调用时间优化和问题排查