【算法】:动态规划--背包问题
背包问题
引言
什么是背包问题?
背包问题就是一个有限的背包,给出一定的物品,如何合理的装入物品使得背包中的物品的价值最大?
01背包
01背包,顾名思义就是每一种给定的物品要么选择,要么不选,求出最终最大的价值。
针对01背包又有两种情况,一种情况是要求最终装满背包,第二种是不用一定装满背包。
下面给出一道例题,并且给出01背包的dp解法。
- leetcode LCR 101 : 分割等和子集

解题思路:
明显,我们可以理解为这里有一个Sum{ai} / 2的背包,我们需要将他装满,这道题比较简单,没有value值。
状态转移方程:(01背包常见的状态转移方程)
- dp[i][j] : 前i个元素能够填充大小为j的背包的最大价值
- dp[i][j] = max { dp[i - 1][j] , dp[i -1][j - Size[i]] + value[i] }
第i个位置,可以不选择它装入背包, 这个时候为dp[i - 1][j] , 也可以选择,这个时候为dp[i -1][j - Size[i]] + value[i]
细节:
1. 判断j >= Size[i]
2. 初始化size的时候 + 1,可以更好处理边界条件

总结:其实无论是否一定需要装满,状态转换方程都差不多,最大的差别是初始化dp的时候存在较大的差异,希望读者注意。
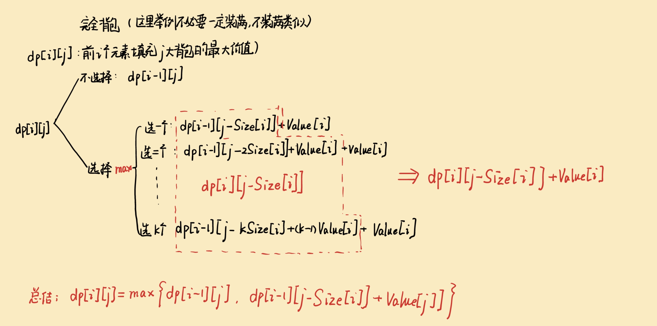
完全背包
完全背包,和01背包的差异就是每一种物品可以选取多次,其他一样,也是可以分为装满和不需要一定装满两种情况。
不太会Latex, 只有手绘。

例题:leetcode LRC 103 零钱兑换

解法:

总结
这里列举了常见的基础背包问题的解法,再往后学习就是竞赛难度的背包问题,这里我们不再继续赘述,读者想要了解更加复杂的背包问题,可以自行继续探索。
