AVL树简介与部分实现
一、AVL树
AVL树也就是二叉平衡树,首先需要满足二叉搜索树的要求,也就是,左子树的值小于根值小于右子树的值,同时,所有子树也满足要求。
但是由于二叉搜索树并不能总是达到理想状态——完全二叉树或者满二叉树,从而使得查找效率达不到o(logN)。
AVL树由此而来,之所以被叫做平衡树,是因为要保持树的平衡因子——右子树高度减去左子树高度,使平衡因子的绝对值小于等于一。同时,树的所有子树也要满足平衡的要求。
通过平衡的办法,就能使得树保持一个相对理想的状态,使搜索效率大大提升。
二、实现
2.1结点内容
由于新增了平衡因子,且在插入后,需要根据平衡因子去对树的结构进行调整并向上传递,例如:

在图中插入一个结点以后,父结点的平衡因子需要修改,并且父结点平衡因子的修改,也需要向上传递。因此,结点内还需要保存父结点的指针。
template<class T>
struct AVLTreeNode
{AVLTreeNode(const T& data = T()): _pLeft(nullptr), _pRight(nullptr), _pParent(nullptr), _data(data), _bf(0){}AVLTreeNode<T>* _pLeft;AVLTreeNode<T>* _pRight;AVLTreeNode<T>* _pParent;T _data;int _bf; // 节点的平衡因子
};
这就是树结点的内容。
2.2平衡因子的传递与修改
还是这个图,在插入一个结点以后,平衡因子是如何进行传递和修改的呢?
首先我们需要回到平衡因子的定义,也就是右子树高度减去左子树的高度。那么,如果插入的结点在父结点的右子树,父结点的平衡因子就加一,相反插入在父结点的左子树,父结点的平衡因子减一,那么插入结点父结点的平衡因子就修改完成。
父结点平衡因子修改完成以后,什么情况需要向上传递呢?
- 父结点平衡因子为0时,证明修改前后,树的高度无变化,不需要向上传递
- 父结点平衡因子的绝对值为1时,说明修改前后,树的高度增加1,因此需要向上传递。向上传递时,需要将父结点当做新插入的子结点去修改父结点的父结点,也就是,如果父结点在父结点的父结点的右子树时,父结点的父结点平衡因子加一,相反则减一。
- 父结点平衡因子绝对值为2时,说明修改前后,树的高度增加1。但是,此时,以父结点为根结点的子树已经不满足平衡二叉树的要求,因此需要通过旋转来调整。
旋转的部分可以先按下不表,我们可以先将插入和修改平衡因子的部分实现:
bool Insert(const T& data) {if (_pRoot == nullptr) {_pRoot = new Node(data);return true;}Node* cur = _pRoot;Node* parent = nullptr;while (cur) {parent = cur;if (cur->_data < data) {cur = cur->_pRight;}else if (cur->_data > data) {cur = cur->_pLeft;}else {return false;}}cur = new Node(data);cur->_pParent = parent;if (parent->_data > data) {parent->_pLeft = cur;}else {parent->_pRight = cur;}while (parent) {if (cur == parent->_pLeft) {parent->_bf--;}else {parent->_bf++;}if (parent->_bf == 0) break;if (abs(parent->_bf) == 1) {cur = parent;parent = parent->_pParent;continue;}else if (abs(parent->_bf) == 2) {//旋转break;}else {assert(false);}}while (parent != nullptr && parent->_pParent != nullptr) {parent = parent->_pParent;}_pRoot = parent;return true;
}
到这里,除开旋转,插入的主体已经被实现出来。
2.3平衡二叉树的旋转
旋转需要考虑的情况比较多,但是可以被抽象成为四种情况:
2.3.1左旋
如图所示,不论h等于多少,最终抽象出来的情况就是图示这样,也就是导致结点平衡因子为2的插入,来自右子树的右子树。即,结点平衡因子为2,插入方向子结点的平衡因子为1。如果是这种情况就需要左旋:

将b结点的左子树给a,使其成为a的右子树,同时,使a成为b的左子树,b结点的父亲结点变为a结点的父亲结点,由此完成左旋的操作。此时,结点的平衡因子均调整为0,不再需要向上调整平衡因子。
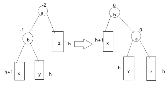
2.3.2右旋
右旋与左旋相似:

由于左子树的左子树的插入,导致平衡因子变为-2,即结点平衡因子为-2,插入方向子结点的平衡因子为-1,此时需要右旋。

通过右旋,将b结点的右子树给a结点成为a的左子树,然后b成为a的父结点,a的父结点成为b的父结点。最后,平衡因子都化为0,也不需要继续向上迭代。
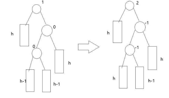
2.3.3右左旋
右左旋,即向右旋,再向左旋 ,在遇到如下问题时,单纯的左旋右旋已经无法解决问题,需要对子树进行旋转,转化成上面两种情况,再进行解决:

插入以后,结点的平衡因子变为2,插入方向的子结点平衡因子为-1,此时,左旋解决不了问题,只能以子结点为基础,进行右旋转化:
经过右旋,使结点平衡因子为2,插入方向子结点平衡因子为-1的情况,转化为可以通过左旋解决的情况。接下来再针对平衡因子为2的结点左旋就可以了:

需要注意的是,在插入时,插入结点位于子结点的左子结点的左子树还是右子树,会影响到最后调整完成后,左右子结点的平衡因子。
2.3.4左右旋
左右旋则是,结点的平衡因子为-2,插入方向的子结点平衡因子为1,此时需要,先对子结点左旋,再针对结点右旋:

2.3.5代码实现
// 右单旋
void RotateR(Node* pParent) {Node* cur = pParent->_pLeft;pParent->_pLeft = cur->_pRight;cur->_pRight = pParent;if (pParent->_pLeft != nullptr) {pParent->_pLeft->_pParent = pParent;}cur->_pParent = pParent->_pParent;pParent->_pParent = cur;if (cur->_pParent != nullptr) {if (cur->_pParent->_pLeft == pParent) {cur->_pParent->_pLeft = cur;}else {cur->_pParent->_pRight = cur;}}cur->_bf = pParent->_bf = 0;
}
// 左单旋
void RotateL(Node* pParent) {Node* cur = pParent->_pRight;pParent->_pRight = cur->_pLeft;cur->_pLeft = pParent;if (pParent->_pRight != nullptr) {pParent->_pRight->_pParent = pParent;}cur->_pParent = pParent->_pParent;pParent->_pParent = cur;if (cur->_pParent != nullptr) {if (cur->_pParent->_pLeft == pParent) {cur->_pParent->_pLeft = cur;}else {cur->_pParent->_pRight = cur;}}cur->_bf = pParent->_bf = 0;
}
// 右左双旋
void RotateRL(Node* pParent) {Node* cur = pParent->_pRight;Node* left = cur->_pLeft;int rl_bf = left->_bf;RotateR(cur);RotateL(pParent);if (rl_bf == 1) {cur->_bf = left->_bf = 0;pParent->_bf = -1;}else {left->_bf = pParent->_bf = 0;cur->_bf = 1;}
}
// 左右双旋
void RotateLR(Node* pParent) {Node* cur = pParent->_pLeft;Node* right = cur->_pRight;int lr_bf = right->_bf;RotateL(cur);RotateR(pParent);if (lr_bf == 1) {right->_bf = pParent->_bf = 0;cur->_bf = -1;}else {cur->_bf = right->_bf = 0;pParent->_bf = 1;}
}
其中双旋直接复用了单选的函数,但是需要注意的是,平衡因子并不能根据单旋的平衡因子来,需要根据2.3.3所说进行调整,可以参考代码。
2.4插入部分的实现
这里就可以根据旋转的四种情况,以及判断情况的条件,完整的写出平衡二叉树的插入:
bool Insert(const T& data) {if (_pRoot == nullptr) {_pRoot = new Node(data);return true;}Node* cur = _pRoot;Node* parent = nullptr;while (cur) {parent = cur;if (cur->_data < data) {cur = cur->_pRight;}else if (cur->_data > data) {cur = cur->_pLeft;}else {return false;}}cur = new Node(data);cur->_pParent = parent;if (parent->_data > data) {parent->_pLeft = cur;}else {parent->_pRight = cur;}while (parent) {if (cur == parent->_pLeft) {parent->_bf--;}else {parent->_bf++;}if (parent->_bf == 0) break;if (abs(parent->_bf) == 1) {cur = parent;parent = parent->_pParent;continue;}else if (abs(parent->_bf) == 2) {if (parent->_bf == 2 && cur->_bf == 1) {RotateL(parent);}else if(parent->_bf == 2 && cur->_bf == -1) {RotateRL(parent);}else if (parent->_bf == -2 && cur->_bf == 1) {RotateLR(parent);}else {RotateR(parent);}break;}else {assert(false);}}while (parent != nullptr && parent->_pParent != nullptr) {parent = parent->_pParent;}_pRoot = parent;return true;
}
