OptiStruct结构分析与工程应用:吸声单元吸声材料基本性能指标
本节将详细阐述如何在OptiStruct中创建和应用吸声单元。具体包括吸声材料的基本性能指标吸声单元介绍、吸声单元属性定义,最后以一个实例阐述吸声单元的设置过程和效果。
12.4.1 吸声材料基本性能指标
在工程实际中,经常会在结构表面敷设特殊的材料,以吸收入射声波的声能,减少声波的反射,从而达到减振降噪的效果。对于吸声材料有以下主要性能参数。
-
材料法向声阻抗Z,(normal acoustic impedance)
若平面声波垂直人射到吸声表面上,在表面上某点的复声压为p(s),该点的法向复振速为“,(s),则复声压和复振速之比为法向声阻抗率,参见式(12-13)。在 MKS 制下基本单位为瑞利。

添加图片注释,不超过 140 字(可选)
可见材料法向声阻抗为复数,可进一步写为实部+虚部的形式:
式中,实部称为材料法向声阻(acoustic resistancenormal)衡量材料对人射波能量的消减能力;虚部成为材料法向声抗,衡量材料对人射波能量的存储能力。
(2)反射系数R
当平面声波垂直人射到吸声表面上,其反射声压与人射南压的比值称为反射系数,可见反射系数为无量纲复数。反射系数与材料法向声阻抗的关系为

式中,Poc。为介质的特性阻抗。
(3)吸声系数a
如图 12-21所示,当平面声波垂直人射到吸声表面上时,透过吸声材料的声波能量与人射声波能量的比值称为材料的吸声系数,可见吸声系数为无量纲实数。吸声系数与反射系数的关系为

添加图片注释,不超过 140 字(可选)
吸声材料的性能参数与其物理属性有关,如气流阻力、孔隙率、弹性和密度等。工程中通常采用驻波管法测量材料的上述基本性能。从以上描述可见,材料的法向声阻抗为最关键的参数,通过它可以计算反射系数和吸声系数。OptiStruct中对吸声单元的模拟便需要用户输入吸声材料的法向声阻抗(实部和虚部)和频率的关系曲线,这将在12.4.3节中有所介绍。

12.4.2 CAABSF单元
该单元用于定义声固耦合分析中频率相关的吸声单元,见表12-10 和表 12-11。


-
如果单元中只指定了G1,则为点阻抗;如果指定了G1和 G2,则假定为线阻抗;如果指定了G1、G2 和G3,则阻抗与三角形面相关;如果指定了G1~G4,则阻抗与四边形面相关。
-
CAABSF单元必须完全连接到流体点,即该单元节点与流体节点共节点,如图12-22所示。

-
吸声单元的创建可以通过Find Face&Elenent Type Update 的方法创建,具体可参考13.3.2节中无线单元的创建方法。
12.4.3 PAABSF卡
PAABSF卡片定义吸声单元的单元属性,卡片定义及说明见表12-12和表12-13.
表12-12 PAABSF卡片定义


1)通过TZREID 和TZIMID分别定义与频率相关的材料法向声阻抗的实部和虚部,Z(f)=2.+
i2:。如果CAABSF为点单元(只有一个节点),则阻抗为该点的完整阻抗;如果为线单元(两个节点),则定义的是单位长度的阻抗;如果为面单元(三节点或者四节点),则定义的是单位面积的阻抗。
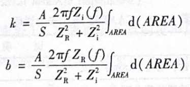
2)材料的最终声阻为Z。=TZREID(/)+B;材料的最终声抗为Z;=TZIMID(f)-2TK/f;B与K分别为第七域、第八域中定义的等效阻尼系数与等效刚度系数,默认为0。3)参数中的A与S主要用于计算吸声单元的刚度k和阻尼b:

4)要模拟无反射边界条件,即反射系数为零。由法向声阻抗和反射系数的关系式可知,只需令法向声阻抗Z。=P,即实部TZREID字段引用的TABLED1,其Y值在分析频率段内均为P对于毫米制空气材料,P=4.08E-7;虚部Y值在分析频率段内均为零。在求解头文件中的设置语句如图 12-23 所示。

本篇内容取自HyperWorks进阶教程系列的《OptiStruct结构分析与工程应用》,版权归原作者所有,如有侵犯您的权益,请及时联系我们,我们将立即删除。
Altair OptiStruct 非线性之前车门下沉分析
OptiStruct非线性之前车门过开分析
Optistruct拓扑优化报错汇总,一招教你解决问题
