【2025软考高级架构师】——2024年11月份真题与解析
1. Rup是以什么为驱动(A)
- A:用例驱动
- B:场景驱动
- C: 领域驱动
- D:数据驱动
解析:RUP(Rational Unified Process,统一软件开发过程)是以用例驱动的。
RUP 是一种软件工程方法,强调用例在整个软件开发过程中的核心地位和驱动作用。在 RUP 中,从需求分析、设计、实现到测试等各个阶段,都围绕着用例来进行。通过识别和细化用例,确定系统的功能需求和行为,然后以此为基础进行系统的设计与开发,确保最终实现的系统能够满足用户的实际需求。用例驱动能够使软件开发过程更加聚焦于用户的实际使用场景和需求,提高软件的质量和可维护性。
用例驱动(Use Case Driven)定义:以用户与系统的交互场景为核心,通过用例(Use Case)描述系统功能。
场景驱动:以特定情境(Scenario)下的系统行为为核心,关注系统在具体场景中的响应。
领域驱动:以业务领域(Domain)为核心,通过领域模型(Domain Model)映射业务逻辑。
数据驱动:以数据为核心,系统行为由输入数据决定。
2. 路由器在os模型的(A)
- A:网络层
- B:物理层
- C: 传输层
- D: 数据链路层
解析:答案为 A。路由器工作在 OSI 模型的网络层。
OSI 模型将网络通信分为七层,从下到上分别是物理层、数据链路层、网络层、传输层、会话层、表示层和应用层。其中,网络层的主要功能是为数据在不同网络之间传输提供路径选择和寻址功能,路由器正是通过路由表来确定数据报文的转发路径,实现不同网络之间的数据通信和互联,完成网络层的功能。
路由器虽然也涉及物理层和数据链路层的部分功能,如通过物理接口进行信号传输,需要处理数据链路层的帧,但这些都是为了支持其在网络层的核心路由功能,本身并不主要工作在这些层。而传输层主要负责端到端的通信,与路由器的主要功能不符,所以 B、C、D 选项错误。
各层及对应的典型设备如下:
| OSI层级 | 功能 | 常见设备 |
| 物理层 (第1层) | 比特传输,处理电气信号或光信号 | 中继器(Repeater)、集线器(Hub)、网线、光纤、调制解调器(Modem)等 |
| 数据链路层 (第2层) | 建立可靠的点到点连接,帧的传输 | 交换机(Switch)、网卡(NIC)、桥接器(Bridge) |
| 网络层 (第3层) | 路由选择、IP寻址 | 路由器(Router)、三层交换机 |
| 传输层 (第4层) | 提供端到端的可靠数据传输(如TCP) | 主机内核模块(如操作系统中的TCP/UDP协议栈)(传输层是软件实现的,通常没有独立硬件设备) |
3. 操作系统低优先级进程被高优进程抢占或者时间片用光由执行态变为(A)状态。
- A:就绪
- B:挂起
- C:睡眠
- D:阻塞
解析:从执行态变为就绪态是因为进程只是暂时不能使用 CPU,但仍可随时准备运行,而不是因为需要等待某个特定条件满足而进入阻塞态。
4. 计算机网络传输层的协议(A)
- A:TCP和UDP
- B: IP和ICMP
- C: ftp smtp
- D:telnet、ftp
解析:计算机网络传输层主要有两个协议:传输控制协议(TCP)和用户数据报协议(UDP)
5. 安全审计()要素
6. 分段允许程序员把内存视为由这个地址空间或段组成,其中段的大小是()。
- A: 固定的
- B: 不可变的
- C: 相等的
- D: 动态可变的
解析:段的大小是可变的。在段式存储管理系统中,段的大小可以根据需要动态改变,与分页管理不同。分页管理中的页大小通常是固定的。
7. 职务的软件著作权,包括公司交给的任务,离职后多久?仍属于公司(A)
- A:1年
- B: 6个月
- C: 18个月
- D: 3个月
8. 关于SQL注入以下说法错误的是什么(C)
A:使用UNION关键字可以通过SQL拼接,合并结果集拿到敏感信息
B: 通过编写防注入脚本和查询参数化是避免SQL注入的有效手段;
C: 使用ORM可以自动进行参数化查询 ,但无法减少SQL注入的风险 ;
D: SQL注入是一种典型的攻击手段 ;
9. 哪个选项不是白盒测试()
- 功能测试
- 控制流分析
- 数据流分析
- 程序变异测试
解析:功能测试主要是基于软件的需求规格说明书,从用户的角度出发,对软件的功能进行验证和确认,检查软件是否能够满足用户的需求。它不关注软件内部的代码结构、实现细节以及程序的执行流程,属于黑盒测试的范畴。黑盒测试将软件视为一个不可见内部结构的黑盒子,只关注输入和输出的结果是否符合预期。
10. 100个人,会篮球的有45人,会乒乓球的有53人,会足球的有55人,会篮球和乒乓球的有28人,会篮球和足球的有32人,会乒乓球和足球的有35人,三个都会的有20人,问三个都不会的有多少人。
- 21
- 20
- 22
- 23

11. 数据安全治理的需求目标
满足合规要求
管理数据安全风险
促进数据开发利用
12. 任务P1依次执行40ms计算,60ms I/O任务,40ms 计算,任务P2 依次执行100ms计算,40ms I/O任务,40ms ,任务P2晚启动20ms,经过优化后,系统执行事件是()ms。

13. Web服务描述语言WSDL描述了Web服务的三个基本属性,包括()。
- A.谁要访问服务、如何访问服务和服务位于何处。
- B.服务做什么、谁要访问服务和服务位于何处。
- C.服务做什么、如何访问服务和谁要访问服务。
- D.服务做什么、如何访问服务和服务位于何处。
WSDL(Web Services Description Language,Web服务描述语言),是一个用来描述Web服务和说明如何与Web服务通信的XML语言。它是Web服务的接口定义语言,由Ariba、Intel、IBM和MS等共同提出,通过WSDL,可描述Web服务的三个基本属性。
- 服务做些什么一服务所提供的操作(方法)。
- 如何访问服务一和服务交互的数据格式以及必要协议
- 服务位于何处一协议相关的地址,如URL。
14. 执行本单位的任务所完成的职务发明创造,包括退休、调离原单位后或者劳动、人事关系终止后()内作出的,与其在原单位承担的本职工作或者原单位分配的任务有关的发明创造。
- A:3个月
- B:1年
- C:6个月
- D:18个月
15. 一项外观设计专利里面相似设计最多有多少个
- A: 10
- B: 6
- C: 8
- D: 5
解析:根据中国国家知识产权局(CNIPA)的规定,一项外观设计专利最多可以包含 10 个相似设计。
相关规定
- 2021年6月1日施行的《专利法》修订后,允许外观设计专利申请包含相似设计(即同一产品的类似外观)。最多可以包含 10 个相似设计,但这些设计必须属于同一产品,且在整体视觉效果上具有相似性。
16. 在软件架构评估中,()方法采用效用树这一工具来对质量属性进行分类和优先级排序。效用树的结构包括:()。
A.SAEM
B.ATAM
C.SAAM
D.CBAM
A.树根-质量属性-属性分类-质量属性场景(叶子节点)
B.树根-属性分类-属性描述-质量属性场景(叶子节点)
C.树根-质量属性-属性描述-质量属性场景(叶子节点)
D.树根-功能需求-需求描述-质量属性场录(叶子节点)
| 选项 | 名称 | 简要说明 |
| A | SAEM | Software Architecture Evaluation Method,较少使用,非 SEI 标准方法 |
| B | ATAM | ✅ 正确答案,用于评估质量属性权衡,使用效用树 |
| C | SAAM | Software Architecture Analysis Method,用于比较架构的可演化性 |
| D | CBAM | Cost Benefit Analysis Method,基于 ATAM,关注成本与效益分析 |
17. 基于内容的推荐是信息过滤技术的延续与发展,不属于该方法优点的是()。
- A、能推荐新的或不是非常流行的项目,没有新项目问题
- B、能为具有特殊兴趣爱好的用户进行推荐
- C、不需要其它用户的数据,与他人的行为无关
- D、能够为新用户产生推荐
解析:基于内容的推荐是信息过滤技术的延续与发展,它是建立在项目的内容信息上作出推荐的,而不需要依据用户对项目的评价意见,更多地需要用机器学习的方法从关于内容的特征描述的事例中得到用户的兴趣资料。在基于内容的推荐系统中,项目或对象是通过相关的特征的属性来定义,系统基于用户评价对象的特征,学习用户的兴趣,考察用户资料与待预测项目的相匹配程度。
基于内容的推荐方法的优点主要包括:
- 不依赖其他用户的数据:基于内容的推荐不依赖于其他用户的评分或行为数据,因此不存在冷启动问题和稀疏问题。
- 个性化推荐:能够为具有特殊兴趣爱好的用户进行推荐,因为推荐是基于用户对特定内容特征的兴趣。
- 推荐新项目:能推荐新的或不是很流行的项目,没有新项目问题。
- 透明度高:由于推荐理由通常是基于用户已知的兴趣点,因此用户更容易理解为什么这些项目被推荐给他们。
综上,可以得出选项ABC都是基于内容推荐方法的优点,而选项D不是,因为新用户没有历史数据基础,基于内容的推荐方法无法产生推荐。
18. 基于度量的评估方法,首先需要建立质量属性和度量之间的映射原则,然后从软件架构文档中获取度量信息,最后根据映射原则分析推导出系统的(A)。
A.质量属性
B.功能性
C.架构元素
D.架构决策
解析:基于度量的评估方法:它是建立在软件架构度量的基础上的,涉及3个基本活动,首先需要建立质量属性和度量之间的映射原则,然后从软件架构文档中获取度量信息,最后根据映射原则分析推导出系统的质量属性。(教材原文)。
19. 应用程序在用户态使用特权指令进行系统调用,是()中断。
- A.信号中断
- B.溢出中断
- C.访管中断
- D.外部中断
答案解析:当应用程序在用户态下使用特权指令时,会引起访管中断。访管中断是用户程序自愿进管的一种中断方式,通过执行访管指令(陷入指令),将CPU控制权交给操作系统内核,使CPU从用户态转换为核心态,从而可以执行特权指令等系统操作。应用程序在用户态使用特权指令进行系统调用时,会触发访管中断(Trap),也称为陷阱中断。
访管中断是一种自愿性的中断,由用户程序通过执行访管指令来请求操作系统服务。访管中断是计算机系统中的一个重要概念,它涉及到用户态与核心态之间的切换。在用户态下,程序无法直接执行某些特权指令或访问受限资源,而当需要这些操作时,程序会通过执行一条特殊的访管指令来触发访管中断。这种中断机制允许用户程序以受控的方式进入核心态,从而请求操作系统提供的服务或执行特权操作。
访管中断的处理过程通常包括以下几个步骤:
- 触发访管中断:用户程序执行访管指令,产生一个中断事件(自愿中断),暂停当前用户程序的执行。
- 保存上下文:CPU保存当前用户程序的执行状态和上下文信息,以便后续恢复执行。
- 切换到核心态:CPU从用户态切换到核心态,开始执行操作系统的中断处理程序。
- 执行系统调用:操作系统根据访管指令中的操作数和参数,执行相应的系统调用或服务例程,完成用户请求的操作。
- 恢复用户态:系统调用或服务完成后,操作系统恢复用户程序的执行状态和上下文信息,将CPU切换回用户态,继续执行被中断的用户程序。
访管中断是实现用户程序与操作系统之间交互的重要机制之一,它确保了用户程序可以在受控的情况下访问受限资源或执行特权操作,同时保护了系统的稳定性和安全性。
信号中断:
- 信号(Signal) 是软件层面的中断,用于进程间通信 或 异常处理。
- 与 CPU 硬件无关,而是由操作系统产生并发送给进程。
溢出中断:
- 溢出中断 发生在CPU 执行算术运算时,结果超出寄存器存储范围。
- 典型场景:整数溢出、浮点数溢出。
访管中断:
- 访管中断(又称 陷阱中断(Trap))是一种同步中断,用于用户态程序调用内核态服务(即系统调用)。
- 用户进程无法直接执行特权指令(如 I/O 操作、进程调度等),因此需要使用系统调用(syscall),触发
Trap进入内核态,由操作系统完成特权操作。
外部中断:
- 外部中断 是由外部设备或硬件事件触发的中断,而非程序自身执行的指令触发。
- 典型例子:键盘输入、鼠标点击、定时器中断、I/O 设备完成中断。
| 选项 | 中断类型 | 触发方式 | 是否与系统调用相关 | 典型示例 |
| A. 信号中断 | 软件中断 | OS 发送信号 | ❌ 无关 |
进程终止 |
| B. 溢出中断 | 硬件中断 | 算术溢出 | ❌ 无关 | 除零错误 |
| C. 访管中断 | 硬件/软件中断 | 系统调用 | ✅ 相关 |
触发 |
| D. 外部中断 | 硬件中断 | 外部设备 | ❌ 无关 | 键盘、定时器 |
20. 安全性可划分为多种特性。其中()保证信息不泄露给未授权的用户、实体或过程;()保证信息的完整和准确,防止信息被非法修改。
问题1
A.不可否认性
B.机密性
C.可控性
D.完整性
问题2
A.可控性
B.不可否认性
C.机密性
D.完整性
答案解析:
安全性(Security)是指系统在向合法用户提供服务的同时能够阻止非授权用户使用的企图或拒绝服务的能力。安全性可根据系统可能受到的安全威胁类型来分类。安全性又可划分为机密性、完整性、不可否认性及可控性等特性。其中,机密性保证信息不泄露给未授权的用户、实体或过程;完整性保证信息的完整和准确,防止信息被非法修改;不可否认性是指信息交换的双方不能否认其在交换过程中发送信息或接收信息的行为;可控性保证对信息的传播及内容具有控制的能力,防止为非法者所用。【系统架构设计师教程(第二版)第273页】

21. 下列选项中不能作为预防死锁措施的是()。
A.破坏“循环等待"条件
B.破坏“不可抢占”条件
C.破坏“互斥”条件
D.破坏“请求和保持”条件
答案解析:
破坏“互斥"条件不能作为预防死锁的措施。这是因为互斥条件是资源使用的基本特性,它确保了资源的独占性和数据的完整性。在多任务操作系统中,进程或线程需要独占某些资源(如打印机、文件等)以防止数据竞争和不一致。如果取消互斥条件,允许多个进程同时访问同一资源,虽然可以避免死锁的发生,但会引发其他严重问题,如数据损坏、资源争用冲突和优先级反转等。因此,破坏互斥条件并不是一个可行的死锁预防策略。
相反,为了预防死锁,通常会采取其他措施来破坏产生死锁的其他三个必要条件之一或多个:
- 请求和保持条件:可以通过实施资源分级策略或静态分配法来破坏。例如,要求进程在开始运行前一次性申请其在整个运行期间所需的全部资源,或者在提出新资源请求前释放已占有的资源。
- 不可抢占条件:可以允许进程抢占已经分配给其他进程的资源,但这通常需要复杂的管理机制来处理资源的抢占和恢复。
- 循环等待条件:可以通过全局资源排序策略来破坏,即给系统中的所有资源编号,并要求进程按递增顺序申请资源。
此外,还可以通过银行家算法等动态检测和避免死锁的方法来确保系统的稳定性和高效性。综上所述,破坏“互斥”条件并不是预防死锁的有效措施,而应该通过其他方法来破坏产生死锁的必要条件。
以下是对各个选项的分析:
- A. 破坏 “循环等待” 条件:可以通过对资源进行有序分配,使进程按照一定的顺序请求资源,避免形成进程之间的循环等待链,从而预防死锁,是常用的预防死锁措施之一。
- B. 破坏 “不可抢占” 条件:允许系统在必要时抢占进程已占有的资源,将资源分配给更需要的进程,以打破死锁的僵局,是预防死锁的一种有效方法。
- C. 破坏 “互斥” 条件:在很多情况下,资源的互斥使用是由资源本身的特性决定的,很难被破坏。例如,打印机在某一时刻只能被一个进程使用,这种互斥性是客观存在且难以改变的。所以一般不能通过破坏 “互斥” 条件来预防死锁。
- D. 破坏 “请求和保持” 条件:可以要求进程在开始运行前一次性申请所需的全部资源,或者在申请新资源时,先释放已占有的资源,从而避免进程持有资源的同时又请求其他资源而导致死锁,是预防死锁的重要措施之一。
22. 在软件的使用过程中,用户往往会对软件提出新的功能与性能要求。为了满足这些要求,需要修改或再开发软件,以扩充软件功能、增强软件性能、改进加工效率、提高软件的可维护性。这种情况下进行的维护活动称为(C)。
A.预防性维护
B.适应性维护
C.完善性维护
D.改正性维护
参考答案:
- 改正性维护【修BUG】:识别和纠正软件错误/缺陷,测试不可能发现所有错误。
- 适应性维护【应变】:指使应用软件适应环境变化【外部环境、数据环境】而进行的修改。
- 完善性维护【新需求】:扩充功能和改善性能而进行的修改。
- 预防性维护【针对未来】:为了适应未来的软硬件环境的变化,应主动增加预防性的新的功能,以使系统适应各类变化而不被淘汰。
知识点:在软件工程中,把维护分为4种类型,即排错性维护、适应性维护、完善性维护和预防性维护。
一般在系统运行初期,排错性维护和适应性维护比较多,而到后来,完善性维护和预防性维护就会比较多。
23. 基于软件系统的生命周期,可以将软件系统的质量属性分为开发期质量属性和运行期质量属性两个部分,其中,()关注软件因适应新需求或需求变化而增加新功能的能力;()是关注软件系统同时兼顾向合法用户提供服务,以及阻止非授权使用的能力。
问题1: A.安全性、B.可扩展性、C.性能、D.可重用性
问题2:A.可测试性、B.安全性、C.可移植性、D.可用性
开发期质量属性“可扩展性”指的是软件因适应新需求或需求变化而增加新功能的能力,也称为灵活性;运行期质量属性“安全性"指软件系统同时兼顾向合法用户提供服务,以及阻止非授权使用的能力。
知识点:
软件系统质量属性(Quality Attribute)是一个系统的可测量或者可测试的属性,用来描述系统满足利益相关者(Stakeholders)需求的程度。
基于软件系统的生命周期,可以将软件系统的质量属性分为开发期质量属性和运行期质量属性2个部分。

24. 在软件的使用过程中,用户往往会对软件提出新的功能与性能要求。为了满足这些要求,需要修改或再开发软件以扩充软件功能、增强软件性能、改进加工效率、提高软件的可维护性。这种情况下进行的维护活动称为(C)。
A.预防性维护
B.适应性维护
C.完善性维护
D.改正性维护
答案解析:
- 改正性维护【修BUG】:识别和纠正软件错误/缺陷,测试不可能发现所有错误。
- 适应性维护【应变】:指使应用软件适应环境变化【外部环境、数据环境】而进行的修改。
- 完善性维护【新需求】:扩充功能和改善性能而进行的修改。
- 预防性维护【针对未来】:为了适应未来的软硬件环境的变化,应主动增加预防性的新的功能,以使系统适应各类变化而不被淘汰。
知识点:在软件工程中,把维护分为4种类型,即排错性维护、适应性维护、完善性维护和预防性维护。一般在系统运行初期,排错性维护和适应性维护比较多,而到后来,完善性维护和预防性维护就会比较多。【系统架构设计师教程(第二版)第110页】
25. 关系操作中,操作的对象和结果都是(C)。
A.元组
B.记录
C.集合
D.列
所属章节:系统架构设计师教程(第二版)->第6章数据库设计基础知识->6.2关系数据库>6.2.2关系运算
答案解析:关系操作的特点是操作对象和操作结果都是集合。【系统架构设计师教程(第二版)第227页】
相关知识点:关系代数运算符有4类:集合运算符、专门的关系运算符、算术比较符和逻揖运算符。根据运算符的不同,关系代数运算可分为传统的集合运算和专门的关系运算。传统的集合运算是从关系的水平方向进行的包括并、交、差及广义笛卡儿积。专门的关系运算既可以从关系的水平方向进行运算,又可以向关系的垂直方向运算,括选择、投影、连接以及除法。
5种基本的关系代数运算包括并、差、笛卡儿积、投影和选择,其他运算可以通过基本的关系运算导出。
26. 数据库中有一张人员信息表包含性别属性,要求这个属性的值只能是男或者女,这属于(B)。
A.关系完整性
B.用户定义完整性
C.参照完整性
D.实体完整性
答案解析:题目中提到的“人员信息表包含性别属性,且这个属性的值只能是男或者女”,这是一个具体的约束条件,用于限制性别属性的取值范围。这个约束不是由数据库系统自带的,而是根据实际应用需求自定义的。
知识点:完整性规则提供了一种手段来保证当授权用户对数据库做修改时不会破坏数据的一致性。因此,完整性规则防止的是对数据的意外破坏。关系模型的完整性规则是对关系的某种约束务件。
关系的完整性约束共分为3类:实体完整性、参照完整性(也称引用完整性)和用户定义完整性。
- 实体完整性(Entity Integrity),实体完整性规则要求每个数据表都必须有主键,而作为主键的所有字段,其属性必须是唯一旦非空值。
- 参照完整性(Referential Integrity),现实世界中的实体之间往往存在某种联系,在关系模型中实体及实体间的联系是用关系来描述的,这样自然就存在着关系与关系间的引用。参照完整性通过外键(Foreign Key)实现。外键是一个表中的字段(或字段组合),其值必须匹配另一个表(主表)的主键值,或允许为
NULL(如果定义时允许)。 - 用户定义完整性(User Defined Integrity)。就是针对某一具体的关系数据库的约束条件,反映某一具体应用所涉及的数据必须满足的语义要求,由应用的环境决定。【系统架构设计师教程(第二版)第226页】
27. 在仓库体系结构风格中,(B)用于说明当前数据的状态。
A.黑板
B.中央数据结构
C.独立构件
D.知识源
所属章节:系统架构设计师教程(第二版)>第7章系统架构设计基础知识->7.3软件架构风格>7.3.4以数据为中心的体系结构风格
参考答案:答案解析:中央数据结构说明当前数据的状态以及一组对中央数据进行操作的独立构件。
知识点:仓库体系结构风格: 仓库(Repository)是存储和维护数据的中心场所。在仓库风格中,有两种不同的构件:中央数据结构说明当前数据的状态以及一组对中央数据进行操作的独立构件,仓库与独立构件间的相互作用在系统中会有大的变化。这种风格的连接件即为仓库与独立构件之间的交互。
28. 在UML用例图中,参与者之间存在(C)关系。
A.聚合
B.包含
C.继承
D.扩展
答案解析:用例图(Use Case Diagram)展现了一组用例、参与者(Actor)以及它们之间的关系。用例图通常含以下内容:(1)用例、(2)参与者、(3)用例之间的扩展关系(<extend>>)和包含关系(<include>:),参与者和用例之间的关联关系,用例与用例以及参与者与参与者之间的泛化关系。【以上出自软件设计师教程第5版第368页原文】而在UML中,继承关系的表示与泛化相同,也是用带空心箭头的实线表示,但箭头方向是从子类指向父类。
知识点:
- 继承关系(泛化关系):当多个参与者具有共同的行为特征时,可以使用继承关系来抽象出一个更一般的参与者,其他具体的参与者继承这个一般参与者的特性。例如,在一个图书馆管理系统中,“借阅者”是一个一般的参与者类别,“学生借阅者”和“教师借阅者”可以继承“借阅者”的基本行为(如借书、还书等),同时又可以有自己特定的行为。
- 聚合关系:聚合关系主要用于描述整体与部分的关系,通常用于类与类之间,而不是参与者之间。例如,在汽车类和轮胎类之间可以是聚合关系,汽车是整体,轮胎是部分,但这种关系不适合参与者。
- 包含关系(include):包含关系是用例之间的关系,不是参与者之间的关系。它用于表示一个用例包含另一个用例的行为。例如,在一个购物系统中,“完成购物”用例可能包含“结算”用例。
- 扩展关系(extend):扩展关系也是用例之间的关系。它表示一个用例可以在特定条件下扩展另一个用例的行为。例如,在一个会员管理系统中,“普通会员购买商品”是一个用例,“高级会员购买商品并享受折扣”可以看作是对“普通会员购买商品”用例的扩展。
29. 一个模块内的处理元素是相关的,而且必须以特定次序执行,则称为(C)。
A.通信内聚
B.逻辑内聚
C.过程内聚
D.时间内聚
所属章节:系统架构设计师教程(第二版)->第5章软件工程基础知识->5.3系统分析与设计->5.3.1结构化方法
答案解析:过程内聚:处理元素相关,而且必须按特定的次序执行。
知识点:内聚表示模块内部各代码成分之间联系的紧密程度,是从功能角度来度量模块内的联系,一个好的内聚模块应当恰好做目标单一的一件事情,模块的内聚类型通常也可以分为7种,根据内聚度从高到低的排序如下图所示,

30. 信息化需求包含三个层次,即(B)。
A.战略需求、运作需求和信息资源开发
B.战略需求、运作需求和技术需求
C.战略需求、信息资源开发和技术需求
D.信息资源开发、运作需求和技术需求
答案解析:信息化需求包含3个层次,即:战略需求、运作需求和技术需求。
知识点:战略需求:组织信息化的战略需求的目标是提升组织的竞争能力、为组织的可持续发展提供一个支持环境。从某种意义上来说,信息化对组织不仅仅是服务的手段和实现现有战略的辅助工具,信息化可以把组织战略提升到一个新的水平,为组织带来新的发展契机。特别是对于企业,信息化战略是企业竞争的基础。
运作需求:组织信息化的运作需求是组织信息化需求非常重要且关键的一环,它包含三方面的内容:一是实现信息化战略目标的需要;二是运营策略的需要;三是人才培养的需要。
技术需求:由于系统开发时间过长等问题在信息技术层面上对系统的完善、升级、集成和整合提出了需求。也有的组织,原来基本上没有大型的信息系统项目,有的也只是一些单机应用,这样的组织的信息化需求,一般是从头开发新的系统。
31. (B)不属于调用/返回体系结构风格的子风格。
A.层次型体系结构风格
B.主程序/子过程体系结构风格
C.黑板体系结构风格
D.面向对象体系结构风格
所属章节:系统架构设计师教程(第二版)>第7章系统架构设计基础知识->7.3软件架构风格->7.3.3调用/返回体系结构风格
答案解析:调用/返回体系结构风格主要包括主程序子程序风格、面向对象风格、层次型风格以及客户端服务器风格。以数据为中心的体系结构风格主要包括仓库体系结构风格和黑板体系结构风格。
32. 分段允许程序员把内存视为由这个地址空间或段组成,其中段的大小是()。
A.固定的
B.不可变的
C.相等的
D.动态可变的
答案解析:段的大小是可变的。在段式存储管理系统中,段的大小可以根据需要动态改变,与分页管理不同。分页管理中的页大小通常是固定的。(详细概念见软件设计师教程第5版第208页)
33. 给出关系模式R(A,B,C,D)和其属性之间的函数依赖(A→C,BC→D),则R的码是()。
A.B
B.C
C.AB
D.A
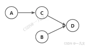
答案解析:从下图中可以很直观地看出,入度为零的节点是A与B,从这两个节点的组合出发,能遍历全图,所以AB组合键为候选码。

34. 有两个关系R(a,b,c)和S(b,c,d),将R和S进行自然连接,得到的结果包含()列。
A.4
B.6
C.2
D.5
所属章节:系统架构设计师教程(第二版)->第6章数据库设计基础知识->6.2关系数据库>6.2.2关系运算
答案解析:题目所讲的是自然连接,自然连接的规则是把参与运算的两个关系模式R与S的相同名称列找出来,即:b与C,然后针对R与S做b与c属性的等值连接,这样产生的结果记录为:(,b,c,d),所以得到的结果包含4列。
知识点:自然连接(Natural Join)是一种特殊的等值连接,它要求两个关系中进行比较的分量必须是相同的属性组,并且在结果集中将重复属性列去掉。特别需要说明的是:一般连接是从关系的水平方向运算,而自然连接不仅要从关系的水平方向,而且也要从关系的垂直方向运算,因为自然连接要去掉重复属性,如果没有重复属性,那么自然连接就转化为笛卡儿积。
35. 以下关于设计模式描述正确的是()。
A.装饰器模式属于行为型模式
B.原型模式属于创建型模式
C.解释器模式和代理模式属于同一类型模式
D.观察者模式属于结构型模式
所属章节:软件设计师教程(第5版)->第7章面向对象技术->7.3设计模式(题目虽然是高级架构设计师考试的题,但是具体的知识点在中级软件设计师的教程上)】
答案解析:装饰器模式是结构型模式;原型模式属于创建型模式;解释器模式属于行为型模式,代理模式属于结构型模式,两者不属于同一类型模式;观察者模式属于行为型模式;综上可得选项B是正确的。
知识点:设计模式确定了所包含的类和实例,它们的角色、协作方式以及职责分配。每一个设计模式都集中于一个特定的面向对象设计问题或设计要点,描述了什么时候使用它,在另一些设计约束条件下是否还能使用,以及使用的效果和如何取舍。按照设计模式的目的可以分为三大类:创建型模式与对象的创建有关;结构型模式处理类或对象的组合;行为型模式对类或对象怎样交互和怎样分配职责进行描述。具体分类如下图所示。

36. 在软件架构评估中,()方法采用效用树这一工具来对质量属性进行分类和优先级排序。效用树的结构包括:()。
问题1
A.SAEM
B.ATAM
C.SAAM
D.CBAM
问题2
A.树根-质量属性-属性分类-质量属性场景(叶子节点)
B.树根-属性分类-属性描述-质量属性场景(叶子节点)
C.树根-质量属性-属性描述-质量属性场景(叶子节点)
D.树根-功能需求-需求描述-质量属性场录(叶子节点)
所属章节:系统架构设计师教程(第二版)>第8章系统质量属性与架构评估>8.2系统架构评估>8.2.2系统架构评估方法
答案解析:ATAM方法采用效用树这一工具来对质量属性进行分类和优先级排序。效用树的结构包括:树根一质量属性一属性分类一质量属性场景(叶子节点)。
知识点:架构权衡分析方法(Architecture Tradeoff Analysis Method,ATAM)是在SAAM的基础上发展起来的,主要针对性能、实用性、安全性和可修改性,在系统开发之前,对这些质量属性进行评价和折中。
ATAM方法采用效用树(Utility tree)这一工具来对质量属性进行分类和优先级排序。效用树的结构包括:树根一质量属性一属性分类一质量属性场景(叶子节点)。需要注意的是,ATAM主要关注4类质量属性:性能、安全性、可修改性和可用性,这是因为这4个质量属性是利益相关者最为关心的。
37. 以下关于软件测试说法错误的是( C)。
A、每个测试用例都必须定义预期的输出或结果
B、测试用例中不仅要说明合法有效的输入条件,还应该描述那些不期望的、非法的输入条件
C、软件测试可以证明被测对象的正确性
D、80%的软件错误都可以在大概20%的模块中找到根源
解析:
- 选项C错误:软件测试的目的是发现缺陷,而非证明软件的正确性。即使经过大量测试未发现错误,也无法绝对保证软件无缺陷。
- 选项A正确:测试用例必须明确定义预期结果,以便验证实际输出是否符合要求。
- 选项B正确:测试需覆盖合法输入和非法输入(如边界值、异常数据),以验证系统的容错性和健壮性。
- 选项D正确:符合“二八法则”,即多数缺陷集中在少数模块中,需重点测试高频出错部分。
结论:软件测试无法证明正确性,只能尽可能发现缺陷,因此C是错误选项。
38. 0到1000的数字里,只有一个5的数字有(C)个。
A.242
B.225
C.243
D.224
答案解析
- 一位数(0-9)
-
- 只有数字 5 符合条件。
数量:1个
- 只有数字 5 符合条件。
- 两位数(10-99)
-
- 十位是5,个位非5:十位固定为5,个位有9种选择(0,1,2,3,4,6,7,8,9)。
数量:9个 - 个位是5,十位非5:十位有8种选择(1,2,3,4,6,7,8,9),个位固定为5。
数量:8个
总计:9 + 8 = 17个
- 十位是5,个位非5:十位固定为5,个位有9种选择(0,1,2,3,4,6,7,8,9)。
- 三位数(100-999)
-
- 百位是5,十位和个位非5:百位固定为5,十位和个位各有9种选择(0,1,2,3,4,6,7,8,9)。
数量:1 × 9 × 9 = 81个 - 十位是5,百位和个位非5:百位有8种选择(1,2,3,4,6,7,8,9),十位固定为5,个位有9种选择。
数量:8 × 1 × 9 = 72个 - 个位是5,百位和十位非5:百位有8种选择,十位有9种选择,个位固定为5。
数量:8 × 9 × 1 = 72个
总计:81 + 72 + 72 = 225个
- 百位是5,十位和个位非5:百位固定为5,十位和个位各有9种选择(0,1,2,3,4,6,7,8,9)。
- 四位数1000
-
- 不含数字5,无需计入。
39. ATAM头脑风暴的三种场景是(C)。
A.用例场景、增长场景、探索性场景
B.用例场景、增长场景、环境场景
C.用例场景、探索性场景、环境场景
D.用例场景、环境场景、增长场景、
答案解析
ATAM(架构权衡分析方法)的头脑风暴主要围绕以下三种场景展开:
- 用例场景:描述系统在正常使用中的功能需求(如用户操作与系统响应)。
- 探索性场景:针对极端或异常情况(如高负载、故障),用于发现潜在风险与架构弱点。
- 环境场景:考虑系统运行的外部条件(如硬件、网络、安全环境),评估架构适应性。
40. 下面选项不属于白盒测试的是(D)。
A控制流分析
B.数据流分析
C.程序变异测试
D功能测试。
问题解析
白盒测试基于程序内部结构和逻辑,常见技术包括:
- 控制流分析(A):分析程序执行路径(如分支、循环)。
- 数据流分析(B):追踪数据在程序中的流动与使用。
- 程序变异测试(C):通过注入代码变异检测测试用例有效性。
功能测试(D)属于黑盒测试,仅验证功能是否符合需求,不涉及内部代码结构。
41. 下面选项不包括配置管理的是(A)。
A.UML
B.IS09000
C.PMBOK
D.CMMI
解析:配置管理(Configuration Management)是软件工程中管理变更和版本控制的核心过程。以下是对各选项的分析:
- UML(统一建模语言):
-
- 用途:用于系统建模和设计,描述软件结构和行为(如类图、序列图)。
- 与配置管理的关系:UML是设计工具,不涉及配置管理的流程或实践。
- ISO9000:
-
- 用途:质量管理体系标准,强调过程规范化和质量控制。
- 与配置管理的关系:ISO9001明确要求配置管理作为质量管理的组成部分(如变更控制)。
- PMBOK:
-
- 用途:项目管理知识体系,涵盖项目全生命周期管理。
- 与配置管理的关系:在“项目整合管理”中涉及配置控制(如变更请求管理)。
- CMMI:
-
- 用途:能力成熟度模型,聚焦过程改进。
- 与配置管理的关系:明确将配置管理列为关键过程域(KPA),要求标识、控制和审计配置项。
结论:UML是设计工具,与配置管理无关;其余选项均直接或间接涉及配置管理。
42. 下面关于DSSA(Domain Specific Software Architecture)说法正确的是(A)。
A.DSSA的建立过程是并发的、递归的和反复进行的。
B.在DSSA中,定义领域特定的元素阶段的重点是确定什么在感兴趣的领域中以及本过程到何时结束,这个阶段的一个主要输出是领域中的应用需要满足一系列用户的需求。
C.定义领域模型和体系结构阶段的目标是为DSSA增加构件,使它可以被用来产生问题域中的新应用。
D.在不同的领域中,DSSA的创建和使用过程完全相同。
答案解析:A. DSSA的建立过程是并发的、递归的和反复进行的
DSSA(领域特定软件架构)的建立过程具有以下特点:
- 并发性:领域分析、设计与实现等活动可能并行推进,例如在分析领域共性时同步规划架构框架。
- 递归性:通过分层细化方法,从高层领域模型逐步分解到具体实现细节(如分阶段定义领域边界、架构组件)。
- 反复性:需多次迭代调整,例如通过持续验证领域模型与实际需求的匹配性,修正架构设计中的不足。
其他选项错误原因:
- B:定义领域特定元素的阶段核心是识别领域共性与变化点,输出应为领域模型而非用户需求(用户需求通常在早期需求分析阶段完成)。
- C:定义领域模型和体系结构的目标是构建参考架构(抽象框架),而非直接“增加构件”(构件属于具体实现阶段)。
- D:不同领域的DSSA需适配其独特需求,创建过程不可能完全相同(如航空航天领域与金融领域的DSSA差异显著)。
结论:DSSA的建立需通过并发、递归和反复的协作完成,选项A正确。
43. 下面协议属于计算机传输层的协议的是(A)。
A.TCP和UDP
B.IP和ICMP
C.FTP和SMTP
D.Telnet和NFS
44. 段式存储分段的段长是(D)的。
A.固定
B相等
C.可动态变化的
D.不可变的
答案解析
- 段式存储(Segmentation)是一种内存管理方式,将程序分为若干个逻辑段,每个段表示程序的一个逻辑单元(如代码段、数据段、堆栈段等)。特点:段的长度取决于其存储的数据量,可以在程序运行时根据需要动态调整。
- 分页系统页大小固定(由系统决定),分段系统段长可不同(由用户程序决定),但两者均不支持运行时动态调整。
45. (C)不属于可用性。
A.可用时间
B.可用时间间隔
C.数据延迟时间(性能指标)
D.故障间隔
可用性(Availability)衡量系统在需要时正常提供服务的能力,核心是可正常使用的时间比例。以下是对各选项的分析:
- 可用时间(A):直接反映系统可运行的时间长度,是计算可用性的基础,属于可用性范畴。
- 可用时间间隔(B):通常指两次故障间系统保持可用的时间(类似MTBF),虽与可靠性相关,但直接影响可用性计算,因此属于可用性相关指标。
- 数据延迟时间(C):属于性能指标,描述数据处理的延迟或响应速度,与系统是否可用无关。
- 故障间隔(D):即MTBF(平均故障间隔时间),属于可靠性指标,但通过公式(可用性= MTBF / (MTBF + MTTR))间接影响可用性。
结论:数据延迟时间(C)与系统可用性无直接关联,正确答案为 C。
46. ATAM头脑风暴的三种场景是(C)。
A.用例场景、增长场景、探索性场景
B.用例场景、增长场景、环境场景
C用例场景、探索性场景、环境场景
D.用例场景、环境场景、增长场景
答案解析
ATAM(架构权衡分析方法)的头脑风暴聚焦于三类核心场景,用于全面评估软件架构的权衡决策:
- 用例场景:描述系统在正常使用中的功能需求(如用户操作与系统响应),验证架构能否满足核心功能。
- 探索性场景:针对极端或异常情况(如高负载、故障),测试架构的鲁棒性和容错能力。
- 环境场景:考虑系统运行的外部条件(如硬件、网络、安全环境),评估架构的适应性和兼容性。
错误选项排除:
- “增长场景”(选项A/B/D)并非ATAM标准分类,可能混淆为系统扩展场景,但ATAM更关注功能、异常及环境因素。
结论:正确答案为 C,涵盖ATAM的三种核心场景类型。
47. ABSD体系结构需求来自下面哪三方面(D)
A.客户的需求目标、系统的商业目标,系统开发人员的商业目标
B.系统的功能需求、系统的商业目标,系统开发人员的开发任务
C.系统的质量目标、系统的质量要求,系统开发人员的商业目标
D.系统的质量目标、系统的商业目标,系统开发人员的商业目标
ABSD(基于架构的软件开发)的体系结构需求主要源自以下三方面:
- 系统的质量目标:如性能、可靠性、安全性等非功能性需求,确保架构满足系统运行要求。
- 系统的商业目标:如成本控制、上市时间、市场竞争力等,驱动架构设计与业务战略对齐。
- 系统开发人员的商业目标:涉及开发团队的约束与偏好(如技术可行性、资源限制、维护成本),影响架构的实际落地。
错误选项排除:
- 选项A中的“客户需求目标”属于功能需求范畴,而ABSD更关注架构层面的质量与商业目标。
- 选项B的“功能需求”属于具体功能实现,非架构设计的核心输入。
- 选项C重复提及“质量目标”与“质量要求”,未涵盖商业目标的完整性。
结论:ABSD的体系结构需求需平衡质量、商业及开发团队的目标,选项D正确。
48. 螺旋模型是基于(C)的改进模型
A.喷泉模型
B.快速原型模型
C.瀑布模型
D.增量模型
螺旋模型由Barry Boehm于1988年提出,其核心设计目标是解决传统瀑布模型在高风险项目中灵活性不足的问题。它通过以下方式演进:
- 瀑布模型的改进基础:
-
- 瀑布模型是线性、阶段化的开发流程(需求分析→设计→编码→测试→维护),但缺乏对需求变更和风险的应对能力。
- 螺旋模型保留了瀑布模型的阶段性和系统性,但将其分解为多个迭代周期(螺旋),每个周期包含目标定义→风险分析→开发与测试→计划下一阶段。
- 结合快速原型模型的思想:
-
- 螺旋模型借鉴了快速原型模型的迭代特征,通过持续构建原型验证可行性,降低后期风险。
- 但螺旋模型的核心创新在于引入风险驱动方法,将风险分析贯穿整个开发过程,而非单纯迭代。
- 与其他模型的区别:
-
- 喷泉模型(选项A):非线性、重叠的开发模式,适用于面向对象项目,与螺旋模型的迭代和风险分析无直接关联。
- 增量模型(选项D):分阶段交付功能模块,但未强调风险驱动或系统化迭代。
结论:螺旋模型本质上是瀑布模型的改进版本,通过融合迭代和风险分析,形成更灵活、可控的开发框架。因此,正确答案为 C. 瀑布模型。
49. 关于架构风格描述,正确的选项是(D)。
A.批处理是并行的
B.过滤器不可以是并行的
C.黑板和管道-过滤器都是架构风格的子类型
D.在架构风格中,批处理风格本身主要强调的是顺序执行
答案:D. 在架构风格中,批处理风格本身主要强调的是顺序执行
解析:
- 选项A:批处理通常指按顺序处理任务,而非并行执行。尽管现代系统可能支持并行批处理,但架构风格本身强调顺序性,因此A错误。
- 选项B:过滤器风格(如管道-过滤器)中,若多个过滤器独立处理不同数据流,可并行执行。因此“过滤器不可以是并行的”这一说法错误。
- 选项C:黑板架构和管道-过滤器是两种独立的架构风格,而非同一父风格的子类型。它们属于不同设计范式(黑板用于问题求解,管道-过滤器用于数据流处理),因此C错误。
- 选项D:批处理风格的核心特征是顺序执行,即按批次处理任务,每个任务完成后才处理下一个。此描述准确,故D正确。
结论:正确答案为 D,批处理风格强调顺序执行。
50. 关于SOAP(Simple Object Access Protocol,.简单对象访问协议),描述错误的是(A)。
A.提供什么服务,如何使用,谁可以使用(WSDL)
B.信封和XML编码定义在不相同的命名空间
C.SOAP封装,定义了一个描述消息中的内容是什么,是谁发送的,谁应当接收并处理它以及如何处理它们的框架
D.SOAP RPC表示是远程过程调用和应答的协定
答案:A. 提供什么服务,如何使用,谁可以使用
解析:
- 选项A错误:SOAP(简单对象访问协议)的核心功能是定义消息格式和通信规则,而非描述服务内容、使用方式或权限。这些信息通常由WSDL(Web服务描述语言)定义,而非SOAP本身。
- 选项B正确:SOAP信封(Envelope)和XML编码(如数据类型)通常定义在不同命名空间中。例如,Envelope的命名空间为
http://schemas.xmlsoap.org/soap/envelope/,而XML Schema编码可能使用http://www.w3.org/2001/XMLSchema。 - 选项C正确:SOAP封装(Envelope)确实包含消息的元数据,如发送方、接收方和处理指令,用于指导消息的路由与处理。
- 选项D正确:SOAP支持RPC(远程过程调用)模式,允许客户端通过SOAP消息调用远程服务并接收响应。
结论:SOAP仅负责消息传输,不涉及服务描述,因此A是错误选项。
51. 质量属于场景的(B)是激励到达后所采取的行动,使用哪两个图可以描述用户界面元素和界面跳转(A)。
A.刺激源
B.响应
C.制品
D.环境
A.用例图、活动图
B.用例图、顺序图
C.类图、活动图
D.类图、顺序图
质量属于场景的响应:场景质量属性通常描述系统在特定情况下的表现,如可靠性、可用性等。当激励(外部刺激)到达后,系统会作出相应的行为响应。因此,这里的正确答案是“B.响应”
关于(2):用户界面元素和界面跳转的图
- 用例图:展示系统的功能点和用户交互,适合描述用户界面元素与用户的关系。
- 活动图:展示操作流程和界面跳转逻辑,适合描述界面跳转的动态流程。因此,用例图和活动图结合可以很好地描述用户界面元素和界面跳转。
- 顺序图主要描述系统对象之间的交互顺序;
- 类图用于建模系统的静态结构,二者不适合描述界面跳转。
52. 进程通信风格的连接件是(A)。
A.消息传递
B.消息队列
C.消息中间件
D.独立的进程
答案:A. 消息传递
解析:
进程通信风格中的连接件(Connector)指支持进程间交互的机制或协议。
- 消息传递(A)是进程通信的核心风格,定义了通过发送和接收消息进行通信的范式,属于抽象层面的连接件。
- 消息队列(B)是消息传递的一种具体实现方式(如异步存储转发),属于连接件的子类,但并非所有消息传递都依赖队列。
- 消息中间件(C)通常指分布式系统中的高级组件(如RabbitMQ),超出基础进程通信范畴。
- 独立的进程(D)是通信的主体,而非连接件本身。
结论:消息传递是进程通信风格的基础连接件,正确答案为 A。
53. 下面关于MD5的说法,错误的是(B)。
A.任意长度生成128位,不可逆
B.通过数据碰撞都无法进行解密还原,进行哈希散列时不会出现相同结果
C.MD5算法可以用来校验数据的完整性
D.MD5算法可以用来进行加密
答案解析
A.正确。MD5可以将任意长度的数据映射为128位哈希值,且是不可逆的。
B.错误。MD5存在碰撞漏洞,不同输入可能会生成相同的哈希值。哈希算法本质上无法解密,因为它是单向的。
C.正确。这是MD5的常见用途之一,用于验证数据传输的完整性。
D.正确。从广义上,有时将单向哈希视为加密的一种形式,尽管它并不能解密。
54. 独立构件事件驱动架构,是消息发送给(B)模块。
A.独立、耦合
B.独立、非耦合
C.非独立、耦合
D.非独立、非耦合
事件驱动架构(EDA,Event-Driven Architecture)是一种软件架构模式,其中系统的组件通过事件进行交互。以下是该架构的主要特征:
- 独立性:构件(组件)之间是独立的,它们彼此不知道对方的存在。消息通过事件总线或中间件传递,而不是直接发送给其他构件。
- 非耦合性:组件之间通过事件解耦,没有直接依赖关系。消息的发送者和接收者彼此独立,降低了系统的耦合性。
55. 为提高信号的传输速率,下面选项的组合正确的是()。
A提升带宽,降低信噪比
B.提升带宽,提升信噪比
C.降低带宽,提升信噪比
D.降低带宽,降低信噪比
选项分析:
- A. 提升带宽,降低信噪比:带宽增加带来的收益可能被信噪比下降抵消,整体速率未必提升。
- B. 提升带宽,提升信噪比:两者协同作用,最大化传输速率,符合香农定理的理论极限。
- C. 降低带宽,提升信噪比:带宽减少会直接降低速率,即使信噪比提升,总速率可能仍受限。
- D. 降低带宽,降低信噪比:两者均恶化,速率必然下降。
结论:同时提升带宽和信噪比(选项B)是提高信号传输速率的最优组合
56. 数据库的三级模式中,(A)是描述局部数据的逻辑结构和特征的。
A.外模式
B.概念模式
C.内模式
D.逻辑模式
解析:
数据库的三级模式结构包括:
- 外模式(External Schema):
-
- 描述局部数据的逻辑结构和特征,对应不同用户或应用程序的视图。
- 例如:为不同部门的用户定义不同的数据视图(如销售部门仅能看到客户订单数据)。
- 核心作用:隐藏全局数据的复杂性,提供用户级的数据抽象。
- 概念模式(Conceptual Schema):
-
- 描述数据库的全局逻辑结构,由数据库管理员(DBA)设计,涵盖所有数据及其关系。
- 例如:定义所有表、字段、主键、外键的全局结构。
- 内模式(Internal Schema):
-
- 描述数据的物理存储结构(如文件组织、索引、存储介质)。
57. 信息安全审计主要是指对系统中与安全有关的活动的相关信息进行识别、记录、存储和分析。安全审计涉及四个基本要素是(A)。
A控制目标、安全漏洞、控制措施和控制测试
B控制流程、安全漏洞、控制措施和控制测试
C.控制目标、安全漏洞、控制开发和控制测试
D控制目标、安全漏洞、控制脚本和控制测试
安全审计四要素:
- 控制目标:企业根据实际情况制定的安全控制要求。
- 安全漏洞:系统易被干扰或破坏的薄弱环节。
- 控制措施:为实现安全目标制定的技术、配置方法和管理制度。
- 控制测试:验证控制措施的存在、执行情况及对漏洞的防范效果,评估其可靠性。
58. 专家系统能够学习的机制有哪些(A)。
A.知识库、推理机
B.注意力机制、推理机
C.知识库、注意力机制
D.推理机、注意力机制
专家系统的学习机制主要依赖其核心组成部分:知识库和推理机。
知识库: 专家系统的核心,用于存储领域知识,包括事实和规则。学习机制:通过不断更新和扩展知识库,增强系统的知识储备。
推理机:专家系统的推理与决策核心,负责根据知识库中的规则进行推理和问题求解。学习机制:通过优化推理过程,提高系统的推理效率和正确性。
59. EA数据集成有(B),数据复制和基于接口的数据集成。
A.数据融合
B.数据联邦
C数据抽取
D.数据复制
EAI(企业应用集成)是一种通过系统架构和技术手段,实现企业内部多个系统间数据交换和协作的解决方案。在数据集成方面,EAI主要包括以下方式:
- 数据复制:将数据从一个系统复制到另一个系统,适合于静态数据或更新频率较低的数据。
- 基于接口的数据集成:通过定义系统间的数据接口,实现动态数据交换。
- 数据联邦:通过联邦机制,使多个数据源看起来像一个虚拟数据库,适合实时性要求较高的场景。
60. 测试脚本写在(B)里。
A.数据文件
B.脚本文件
C.程序文件
D.系统文件
测试脚本是用来执行自动化测试的脚本代码,通常是使用专门的编程语言或脚本语言编写的。例如,使用Python、JavaScript,或者测试工具自带的脚本语言。这些脚本文件独立于数据文件或系统文件,主要存放在特定的脚本文件中。
61. 不同应用领域中的软件元素,例如数据结构、分类算法和人机界面等属于(A)重用。
A.横向重用
B.纵向重用
C.交叉重用
D.可控重用
横向重用和纵向重用是软件重用的两种主要形式,区别在于其适用范围和复用对象的性质:
1.横向重用:指在不同的应用领域或系统之间对通用软件元素(如数据结构、算法、人机界面组件等)的重用。它强调跨领域的广泛适用性,常用于工具类库或框架的设计。
2.纵向重用:指在相同或相似的应用领域中对特定功能或模块的重用。它强调在特定领域内深度挖掘和复用,如垂直行业解决方案。
选项分析:
A.横向重用:正确,数据结构、分类算法和人机界面等属于不同领域广泛适用的通用软件元素,符合横向重用的定义。
B.纵向重用:错误,纵向重用更多涉及特定领域的专用组件或模块。
C.交叉重用:不存在此类概念
D.可控重用:这是一个与重用质量和管理相关的概念,不是具体的重用类型。
62. 下面不属于系统易用性关注的指标的是(A)。
A.服务器修复能力
B.用户满意度
C.系统学习曲线
D.操作效率
系统易用性关注的是系统对于用户的友好程度,通常包括用户与系统交互的效率、用户的学习成本以及用户体验等方面的指标。具体常见指标有:
- 用户满意度:用户对系统易用性和整体体验的主观评价。
- 系统学习曲线:反映用户掌握系统使用所需的时间和难度。
- 操作效率:系统功能的便捷性,是否能快速完成任务。
服务器修复能力主要属于系统的可维护性或可靠性,不是易用性关注的范围。
63. 下面关于测试覆盖范围关系,(B)是不正确的。
A.路径覆盖包含语句覆盖
B.路径覆盖可以代替条件和判断覆盖
C.路径覆盖比语句覆盖强
D.路径覆盖不可以代替判断覆盖和条件组合覆盖
答案:B. 路径覆盖可以代替条件和判断覆盖
解析:
- 选项A:路径覆盖包含语句覆盖。正确。路径覆盖要求所有可能的执行路径都被执行,而每条路径必然包含所有相关的语句,因此路径覆盖自然覆盖了语句覆盖。
- 选项B:路径覆盖可以代替条件和判断覆盖。错误。路径覆盖关注所有可能的执行路径,但某些复杂条件(如嵌套条件或条件间依赖)可能导致路径覆盖无法覆盖所有条件组合或判断结果。例如,条件覆盖要求每个条件的真假单独验证,而路径覆盖可能仅覆盖部分组合。因此,路径覆盖无法完全替代条件和判断覆盖。
- 选项C:路径覆盖比语句覆盖强。正确。路径覆盖的范围更广,要求覆盖所有路径,而语句覆盖仅需保证每条语句被执行一次,因此路径覆盖是更严格的测试方法。
- 选项D:路径覆盖不可以代替判断覆盖和条件组合覆盖。正确。判断覆盖要求每个判定的所有可能结果(如
if的真假分支)被覆盖,而条件组合覆盖要求所有可能的条件组合(如A && B的四种组合)被覆盖。路径覆盖可能因代码结构或条件依赖无法覆盖所有组合,因此无法替代这两种覆盖。
结论:路径覆盖无法完全替代条件和判断覆盖,因此B是错误选项。
64. 基于度量的评估方法,首先需要建立质量属性和度量之间的映射原则,然后从软件架构文档中获取度量信息,最后根据映射原则分析推导出系统的(A)。
A.质量属性
B.功能属性
C.架构元素
D.架构决策
基于度量的评估方法是一种通过对软件架构进行度量,来评估和分析软件系统质量的方法。该方法通常包括以下步骤:
- 建立质量属性与度量的映射:首先,确定质量属性(如性能、安全性、可维护性等)与相应的度量指标(如响应时间、代码复杂度等)之间的关系。
- 获取度量信息:从软件架构文档中收集与质量相关的度量数据。
- 分析推导出系统的质量属性:通过度量数据的分析,推导出软件系统在各个质量属性方面的表现。
在这种方法中,质量属性是最终评估的对象,它通过度量的结果来衡量系统的性能和各项特性。
65. 时间要求和安全性是一对矛盾点,某项目对时间有明确要求,这时安全性就成了(B)。
A.敏感点
B.权衡点
C.风险点
D.非风险点
答案解析:改变加密级别可能会对安全性和性能产生非常重要的影响。提高加密级别可以提高安全性,但可能要耗费更多的处理时间,影响系统性能。如果某个机密消息的处理有严格的时间延迟要求,则加密级别可能就会成为一个权衡点。
66. 基于对软件工作原理和结构进行研究学习,需要对软件进行安装、部署、运行。(A)。
A.不需要告知著作人,不需要向其付费
B.需要告知著作人,不需要向其付费
C.需要告知著作人,同意后向其付费
D.需要告知著作人,经作者同意后可以不需要付费
根据著作权法和相关法律规定,研究软件的工作原理和结构,属于合法反向工程的一部分,通常称为“软件的个人学习和研究使用”。在以下情况下是受到法律保护的:
- 行为范围:仅限于个人学习、研究和非商业用途。
- 合法获取:前提是已合法获得软件使用权(例如通过购买或授权)。
- 告知与付费:此类学习研究行为不要求告知软件著作权人,也不需要额外付费。
67. 数据分级分类属于的层次是(D)。
A.战略安全层
B.权限控制层
C.应用接口层
D.基础安全层
数据分级分类是信息安全管理体系中的一部分,旨在根据数据的重要性、敏感性和价值,对数据进行分级和分类管理。其主要目的是确保数据安全,通过分级保护不同重要级别的数据。
以下是数据分级分类涉及的安全层级:
- 基础安全层:这是数据安全管理的基础层,涵盖数据分级分类、数据备份、数据加密等基本安全措施。
- 权限控制层:主要负责数据的访问权限管理,确保只有授权用户可以访问特定数据。
- 战略安全层和应用接口层:更多地用于高层安全策略或接口相关管理,但与数据分级分类关系较弱。
数据分级分类是信息安全的基础性工作,其核心目标是根据数据的敏感性和重要性划分等级(如公开、内部、机密等),并为后续的安全策略(如访问控制、加密、备份)提供依据。
- 基础安全层(D):涵盖数据分类、访问控制框架、加密标准等底层安全措施,是构建其他安全层级(如权限控制、战略规划)的前提。
- 其他选项辨析:
-
- A. 战略安全层:涉及宏观安全策略与合规目标,与具体数据分类无直接关联。
- B. 权限控制层:基于数据分级结果实施细粒度访问控制,属于分级后的应用层。
- C. 应用接口层:关注系统间交互的接口安全,与数据分类的层级无关。
结论:数据分级分类属于基础安全层,为整体安全架构提供底层支撑,正确答案为 D。
68. 企业集成至下而上的顺序是(B)。
A.网络集成、服务集成、会聚集成、接口集成
B.数据集成、会聚集成、服务集成、应用集成
C会聚集成、数据集成、服务集成、接口集成
D.数据集成、会聚集成、服务集成、接口集成
答案:B. 数据集成、会聚集成、服务集成、应用集成
解析:
企业集成采用自底向上的顺序时,通常遵循以下层次:
- 数据集成(最底层):整合不同系统的数据源,确保数据一致性和可用性(如通过ETL工具)。
- 会聚集成(中间层):将分散的系统或服务汇聚到统一平台,实现中间件或数据平台的整合(如数据仓库或API网关)。
- 服务集成(高层):基于服务接口(如SOA或微服务)构建可复用的功能模块,支持跨系统交互。
- 应用集成(最高层):整合业务流程和应用,实现端到端的业务协同(如ESB总线或BPM工具)。
选项分析:
- 选项B的顺序符合自底向上的逻辑:从数据基础到服务抽象,最终完成应用整合。
- 其他选项问题:
-
- A(网络→服务→会聚→接口):网络集成属于基础设施层,题目未强调底层网络,且顺序混乱。
- C(会聚→数据→服务→接口):会聚集成需以数据集成为基础,顺序颠倒。
- D(数据→会聚→服务→接口):接口集成通常属于服务层的一部分,不应置于应用集成之后。
结论:正确答案为 B,其层次划分符合企业集成从数据到应用的递进逻辑。
69. 数据安全治理框架(B)
A.合规性检查
B.用户权限
C.安全测试
D.无
70. 下面符合可复用资产的顺序的是()。
A. 分析可复用资产、使用可复用资产、构造/获取可复用资产、管理可复用资产
B. 分析可复用资产、构造/获取可复用资产、使用可复用资产、管理可复用资产
C. 分析可复用资产、管理可复用资产、构造/获取可复用资产、使用可复用资产
D. 分析可复用资产、构造/获取可复用资产、管理可复用资产、使用可复用资产
答案:D. 分析可复用资产、构造/获取可复用资产、管理可复用资产、使用可复用资产
解析:
可复用资产的管理流程遵循以下逻辑顺序:
- 分析:首先识别需求,确定可复用资产的类型和适用场景(如组件、模板、文档)。
- 构造/获取:根据需求开发新资产或从现有资源中获取(如开源库、内部知识库)。
- 管理:对已获取的资产进行分类、存储、维护和版本控制(如资产库管理)。
- 使用:在具体项目中集成和复用资产,确保高效利用。
错误选项排除:
- A:将“使用”置于“构造/获取”之前,逻辑矛盾。
- B:将“管理”置于“使用”之后,忽略资产需先被有效管理才能高效使用的原则。
- C:将“管理”置于“构造/获取”之前,未明确资产来源即进行管理,不切实际。
结论:正确顺序为 分析→构造/获取→管理→使用,对应选项 D。
71. 系统测试是为了发现(A)环节出现的错误。
A.需求分析
B.概要设计
C.详细设计
D.编码
解析:系统测试的核心目标是验证整个系统是否满足需求规格说明书中定义的功能、性能和约束条件。其重点在于发现需求分析阶段的错误,例如:
- 需求遗漏或误解:需求文档中未明确或错误定义的功能,系统测试会通过验证实际功能与需求的匹配性暴露问题。
- 需求冲突或不完整:若需求存在逻辑矛盾或未覆盖关键场景,系统测试会通过端到端测试揭示系统性缺陷。
其他选项辨析:
- B. 概要设计:设计阶段的错误(如架构缺陷或接口定义不清)通常在集成测试中被发现。
- C. 详细设计:详细设计的错误(如算法错误或数据结构不合理)更多通过单元测试或代码审查发现。
- D. 编码:编码错误(如语法错误或逻辑错误)主要由单元测试捕获。
结论:系统测试是需求驱动的验证过程,主要针对需求分析阶段的错误,确保系统整体符合用户和业务的预期目标。因此,正确答案为 A。
72. 体系结构演化6个步骤:需求变化归类;制订体系结构演化计划;构件变动;(A);构件组装与测试;技术评审;演化后的体系结构。
A.更新构件的相互作用
B.构件版本管理
C.验证需求满足度
D.调整系统接口设计
答案:A. 更新构件的相互作用
解析:体系结构演化的核心步骤需确保改动后的构件能够无缝集成并维持系统一致性。在“构件变动”后,需调整构件间的交互逻辑(如接口适配、通信协议更新),避免因局部改动引发系统级冲突。
- 选项A:正确。构件变动后,必须更新其相互作用(如重新定义接口、调整依赖关系),确保系统整体功能正常。
- 选项B:构件版本管理属于配置管理范畴,通常贯穿演化全程,但并非演化流程中的独立步骤。
- 选项C:验证需求满足度应在技术评审或测试阶段完成,而非演化中途。
- 选项D:调整系统接口设计可能包含在“更新构件相互作用”中,但表述更偏向宏观系统级接口,而题目聚焦构件级别的演化。
结论:在构件变动后,需立即更新其相互作用以保证系统集成,正确答案为 A。
73. 系统架构设计师论文真题回顾
73.1. 重复出现的论文真题:
- 企业集成(2021、2020、2015、2011)
- 面向服务的架构(S0A)(202411、2018、2015)
- 软件可靠性(2023、2014、2013)
- 软件维护(202411、2022)
- 模型驱动的架构设计(202405、2011)
- 微服务架构(2021、2016)
- 软件系统架构评估(2019、2016)》
- 软件架构风格(2017、2015)


73.2. 规律总结
通过以上表格对历年真题的梳理,可以发现试题围绕系统架构设计的核心方法论、新兴技术应用、非功能性需求、企业级集成等方向展开,且逐渐向云原生、分布式、大数据、智能化等现代技术倾斜。详细分析如下:
73.2.1. 传统架构的持续性与新兴技术演变
传统架构方法论:高频考点:面向服务的架构(2024、2018、2015)、模型驱动架构(2024、2011)、面向对象(2023)、软件架构风格(2017、2015)、设计模式(2016)、需求分析(2014、2011)。
特点:强调基础方法的掌握,如SOA、模型驱动、分层架构和RUP开发流程等。
新兴技术应用:逐年扩展:微服务(2021、2016)、云原生(2024、2020)、分布式系统(2024、2013)、区块链(2022)、湖仓一体(2024、2022、2019)、多源异构数据集成(2024)。
特点:紧跟技术趋势,需要结合实际项目经验分析技术落地。
73.2.2. 企业级集成与数据管理
企业集成平台:高频出现:2024、2021、2020、2015、2011。
内容:从早期的ESB总线到云原生集成,再到多源异构数据集成,体现企业内外部系统集成的复杂性。
数据相关主题
高频考点:事务处理(2024)、多源异构数据集成(2024)、Lambda架构(2024)、多数据源集成(2023)、湖仓一体(2022)、数据分片技术(2020)、数据湖(2019)、NoSQL(2018)、数据访问层(2016)。
趋势:从传统数据库设计转向大数据处理、实时计算和异构数据融合。
73.2.3. 系统质量属性(非功能性需求)
核心考点:可维护性(2024、2023)、可靠性(2023、2014、2013)、安全性(2021)、性能(2019负载均衡)。
特点:强调架构设计需平衡功能性需求与性能、安全、容灾等非功能性需求。
73.2.4. 架构设计与评估
设计方法:架构评估(2019、2016)、架构演化(2018)、敏捷与Dev0ps(2024自动化运维)。
评估标准:ATAM、SAAM等经典方法在真题中多次出现。
73.2.5. 偏好分析:
技术深度与广度并重
深度:要求对某技术(如微服务、区块链)的架构设计细节有深入理解(如2024分布式事务解决方案)。
广度:覆盖软件开发全生命周期(需求、设计、测试、运维),如2024年单元测试、自动化运维。
实际应用导向:强调实践经验:题目多要求结合“参与过的实际项目”,需体现具体场景下的架构设计决策(如2023边云协同设计)。
新兴技术与传统方法结合:案例:2024年云原生与自动化运维结合。2022年区块链技术与湖仓一体架构结合;
趋势:传统架构(如单体、分层)向云原生、分布式演进,但需保留核心设计原则(高内聚、低耦合)。
企业级复杂场景:高频场景:企业集成(ESB、API网关)、多系统协同(2024多源异构数据集成)、高并发(负载均衡)、容灾(2023边云协同)。目标:考察解决大规模、高复杂度系统问题的能力。
73.2.6. 备考建议:
聚焦高频主题,必看核心领域:
- 企业集成(ESB/API网关/微服务治理)
- 微服务与分布式系统(服务拆分、事务、容错)
- 数据架构(数据湖、Lambda、实时处理)
- 可靠性与安全性设计(容灾、加密、攻防)
结合技术趋势,重点关注:
- 云原生:容器化、Kubernetes、服务网格
- 智能化:A工程化、AOP(面向切面编程)
- 大数据:湖仓一体、实时数仓、多源异构集成
博文参考
- 2024年11月架构设计师综合知识真题回顾,附参考答案、解析及所涉知识点(一)_软考高级架构师真题-CSDN博客
