MATLAB实现二氧化硅和硅光纤的单模光波特性与仿真
一.二氧化硅和硅光纤的单模光波特性
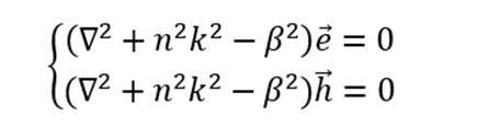
利用麦克斯方程的精确解研究二氧化硅和硅亚波长直径导线的单模光波特性。研究了单模条件、模场。
二氧化硅光纤导线是圆形截面,包层是空气包层,阶梯型变化的折射率,导线线径D非常小长度足够长,因此介电常数(ε)和磁导率(µ)可以用来描述介电介质对入射电磁场的响应。

1.基于该条件,将麦克斯韦方程简化为亥姆霍斯方程

波矢:k=2π/λ,β是传播常数。
光在导线内的传播模式分析
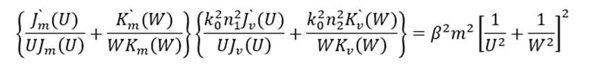
光在导线中传播,存在导模和基模HEvm、EHvm、TE0m、TH0m四种模式,模式特征方程:

主要研究的TE0m模式和TH0m模式:


其中Jv为第一类贝塞尔函数,Kv为第二类修正贝塞尔函数,

2.求二氧化硅和硅的折射率:
空气折射率n2等于1.0,利用sellmeier型色散公式求解:
对于二氧化硅:

对于硅:

(1)线径D和V参数,以及波长下传播常数(β)之间的关系,最后是所在波长下单模工作的的临界直径DSM。
基本模型建立
数值求解beta(β)-D
流程图:

hold on
%-------------------------TM01------------------------
clear
format long
%光纤参数
lambda = 1.5;%波长,单位微米
% lambda = 0.633;%波长,单位微米
n2 = 1;%空气包层折射率
N1 = 11.6858+(0.939816./(lambda.^2))+0.000993358./((lambda.^2)-1.22567);
% N1 = ((0.6961663*(lambda^2))/((lambda^2)-(0.0684043)^2))+((0.4079426*(lambda^2))./((lambda^2)-(0.1162414)^2))+((0.8974794*(lambda^2))./((lambda^2)-9.86161^2))+1;
n1 = sqrt(N1);%光纤纤芯折射率;
k = (2*pi)/(lambda*1e-6);
% delta1 = (n1^2-n2^2)/(2*(n1^2));%相对折射率
% delta2 = (n1^2+n2^2)/(2*(n1^2));
D = 0:0.001:0.8;%纤芯线径,单位微米
% D = 0:0.001:1;%纤芯线径,单位微米
Dprint = zeros();
V = zeros();%归一化折射率数组初始化
betaTM = zeros(0);%传播常数数组初始化
TMi = 1;
z = 1;
n = n2;
% Vcut = 0;
TM01 = zeros();
for Dvalue = 1:length(D)DLigth = D(Dvalue)*(1e-6);Dr = (1/2)*DLigth%V2(Dvalue) = (pi/lambda)*(D(Dvalue)^2)*2*delta1V(Dvalue) =k*Dr*sqrt((n1^2)-(n2^2));% for Value = Vcut:0.01:V(Dvalue)for BeiTa = n+0.00001:0.00001:n1U2 = (Dr^2 * k^2) * n1^2 - Dr^2 * k^2 * BeiTa^2;U = sqrt(U2);W2 = Dr^2 * k^2 * BeiTa^2 - (Dr^2 * k^2) * n2^2;W = sqrt(W2);Dprint(Dvalue) = sqrt(U2+W2);if(U == 0 || W == 0)z = z+1;break;elseJU = besselj(1,U)/(U*besselj(0,U));KW = besselk(1,W)/(W*besselk(0,W));if(abs(JU+KW)<0.1)TM01(TMi) = D(Dvalue)*1000;betaTM(TMi) = BeiTa;TMi = TMi+1;% Vcut = V(Dvalue);n = BeiTa;break;endendend
end
figure
plot(TM01,betaTM,'b')
 
 
(a)(b)
 
 
(c)(d)
图1(a)(b)是SiO2在入射波长633nm(c)(d)是Si在波长1500nm下传播常数β与线径D和归一化频率V之间的关系
得出线径D和V参数,以及波长下传播常数(β)之间的关系,最后是所在波长下单模工作的的临界直径DSM。
二.单模和基模的分析
单模分析:
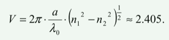
空气包覆线波导的单模条件:

因此空气包层二氧化硅和硅导波的单模条件
% hold on
%HE11
clear
format long
%光纤参数
% lambda1 = 6.63;
lambda = 0.2:0.001:3;%波长,单位um
n2 = 1;%空气包层折射率
Sin1 = zeros();
SiN1 = zeros();
SiO2n1 = zeros();
SiO2N1 = zeros();
kSi = zeros();
DSi = zeros();
LSi = zeros();
DSiO2 = zeros();
LSiO2 = zeros();
Si_lambda = zeros();
SiO2_lambda = zeros();
Si = 1;
SiO2 = 1;
for LValue = 1:length(lambda)SiN1(LValue) = 11.6858+(0.939816/(lambda(LValue)^2))+0.000993358/((lambda(LValue)^2)-1.22567);Sin1(LValue) = sqrt(SiN1(LValue));%Si光纤纤芯折射率;SiO2N1(LValue) = ((0.6961663*(lambda(LValue)^2))/((lambda(LValue)^2)-(0.0684043)^2))+((0.4079426*(lambda(LValue)^2))/((lambda(LValue)^2)-(0.1162414)^2))+((0.8974794*(lambda(LValue)^2))/((lambda(LValue)^2)-9.86161^2))+1;SiO2n1(LValue) = sqrt(SiO2N1(LValue));%SiO2光纤纤芯折射率;kSi(LValue) = (2*pi)/(lambda(LValue)*1e-6);% D(LValue) = 2.405*lambda(LValue)/(pi*sqrt(n1(LValue)^2 - n2^2));% Si_lambda = lambda(LValue)/n1(LValue);if(lambda(LValue)>=1.2)LSi(Si) = lambda(LValue)*1000;Si_lambda(Si) = lambda(LValue)/Sin1(LValue)*1000;DSi(Si) = 2.405*lambda(LValue)/(pi*sqrt(Sin1(LValue)^2 - n2^2))*1000;Si = Si + 1;endif(lambda(LValue)>= 0.2 && lambda(LValue)<=3)LSiO2(SiO2) = lambda(LValue)*1000;SiO2_lambda(SiO2) = lambda(LValue)/SiO2n1(LValue)*1000;DSiO2(SiO2) = 2.405*lambda(LValue)/(pi*sqrt(SiO2n1(LValue)^2 - n2^2))*1000;SiO2 = SiO2 + 1;endend
figure(2)
plot(LSi,DSi,'r',LSi,Si_lambda,'--m',LSiO2,DSiO2,'b',LSiO2,SiO2_lambda,'--g')
datacursormode(figure(2), 'on');
axis equal
axis([0 3000 0 2000])
xlabel('Wavelength in Air (nm)')
ylabel({'Wire Diameter (nm)';'Wavelength in Media (nm)'})
title('空气包覆二氧化硅和硅线的单模态')
legend('Silicon_D','Silicon_W','Silica_D','Silica_W')
图2单模条件
从图中可以得出以下的分析:
亚波长直径的二氧化硅线波导始终是单模,而亚波长直径的硅线波导需要在直径低于图中
实线时才是单模。
二氧化硅和硅的边缘波长分别是200nm和1200nm,响应的最小临界直径(DSM)为
129nm和272nm。
参考文献
亚波长直径二氧化硅和硅的单模波导特性
(廖延彪. 光纤光学——原理与应用 [M]. 北京: 清华大学出版社, 2010.)
具体代码
https://download.csdn.net/download/m0_62501117/90752169
