当前位置: 首页 > news >正文

高等数学-第七版-下册 选做记录 习题9-7

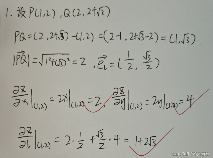
1.

4.

8.

10.

http://www.dtcms.com/a/167375.html

相关文章:

  • C++11新特性_自动类型推导_auto
  • 【RocketMQ】- 源码系列目录
  • 神经网络—损失函数
  • Windows服务器提权实战:常见方法、场景与防御指南
  • 2025五一杯C题五一杯数学建模思路代码文章教学:社交媒体平台用户分析问题
  • 【精选】基于数据挖掘的广州招聘可视化分析系统(大数据组件+Spark+Hive+MySQL+AI智能云+DeepSeek人工智能+深度学习之LSTM算法)
  • 【playwright】内网离线部署playwright
  • UE实用地编插件Physical Layout Tool
  • 深度学习-神经网络参数优化的约束与迭代策略
  • PCIe 中的 ARI 介绍
  • 2025五一数学建模ABC题选题建议,思路模型分析
  • 彩带飘落效果
  • stm32基础001(串口)
  • 基于大模型预测的输尿管癌诊疗全流程研究报告
  • 基于数字图像处理的裂缝检测与识别系统(Matlab)
  • Meta公司于2025年4月29日正式推出了全新Meta AI应用程序的首个版本
  • AI大模型基础设施:NVIDIA的用于AI大语言模型训练和推理的几款主流显卡
  • RAGFlow上传3M是excel表格到知识库,提示上传的文件总大小过大
  • springboot分层打包,减少重复构建和传输的开销
  • 【重走C++学习之路】25、特殊类设计
  • ActiveMQ 性能优化与网络配置实战(一)
  • qemu学习笔记:QOM
  • 算法--模拟题目
  • C++中常用的十大排序方法之1——冒泡排序
  • 【数据结构】线性表--顺序表
  • 常用机械传动方式对比
  • 【笔记】深度学习模型训练的 GPU 内存优化之旅④:内存交换与重计算的联合优化篇
  • 腾讯云BI VS quickbi 企业选型(从企业实际功能使用和费用对比)
  • 提升采购管理,打造核心竞争力七步战略采购法详解P94(94页PPT)(文末有下载方式)
  • 【Bootstrap V4系列】学习入门教程之 页面内容排版