图的基本概述
图的基本概述
文章目录
- 图的基本概述
- 一、前言
- 二、逻辑结构
- 三、基本术语
- 3.1 简单图
- 3.2 无向图 VS 有向图
- 3.2.1 无向图
- 3.2.2 有向图
- 3.3 有向无环图
- 3.4 完全图
- 3.5 子图
- 3.6 端点、邻接点
- 3.7 顶点的度、入度和出度
- 3.7.1 顶点的度
- 3.7.2 入度和出度
- 3.8 路径和路径长度
- 3.9 回路成环
- 3.10 连通、连通图和连通分量
- 3.10.1 连通
- 3.10.2 连通图
- 3.10.3 连通分量
- 3.11 强连通图和强连通分量
- 3.11.1 强连通图
- 3.11.2 强连通分量
- 3.12 稠密图和稀疏图
- 3.13 权和网
- 3.132.1 权
- 3.13.2 网
- 四、存储结构
- 4.1 邻接矩阵
- 4.1.1 顶点
- 4.1.2 边
- 4.2 邻接表
- 4.3 抽象到具体
- 4.3.1 邻接矩阵
- 4.3.2 邻接表
- 4.3.3 逆邻接表
- 4.3.4 十字链表法
- 4.3.5 邻接多重表
- 4.3.6 另一种存储:边集数组
- 五、小结
一、前言
今天,我们将开启一种新的结构的探索——图。它和我们日常生活中的图可以说是毫无关系。像先前表和树的初探一样,我将从逻辑结构和存储结构两个维度带你认识这个重要的结构。
二、逻辑结构
前情回顾:
表:元素和元素之间是1:11:11:1的关系
树:元素和元素之间是1:n1:n1:n的关系
在图结构中,元素和元素之间是m:nm:nm:n的关系。
如图:
它可以是这样的~

也可以是这样的~


从图中可以很好地看出:图是由两个集合V和E组成,记为G = (V, E),其中V是顶点的有限非空集合(v1,v2,v3v1, v2, v3v1,v2,v3),E是V中顶点偶对的边的集合(<v1,v4>,<v2,v3><v1, v4>, <v2, v3><v1,v4>,<v2,v3>)。
三、基本术语
图的基本术语比较多,先做了解,我尽量简洁概括~
意义:这些图结构的不同性质为之后的算法或工程的结构选择提供了选择。
3.1 简单图
不存在自己指自己的边,同一条边不重复出现,这样的图即为简单图。
非简单图就是复杂图啦~在这里基本不做深入研究
如图:

3.2 无向图 VS 有向图
3.2.1 无向图
代表边的顶点偶对是无序的,即(Vi,Vj)=(Vj,Vi)(Vi, Vj) = (Vj, Vi)(Vi,Vj)=(Vj,Vi),是表示为同一条边的,即为无向图。无向图中的边一般表示为(Vi,Vj)(Vi, Vj)(Vi,Vj)。
如图:

3.2.2 有向图
和无向图相反,边的表示存在方向性。如<Vi,Vj><Vi, Vj><Vi,Vj>,这里ViViVi表示弧尾,VjVjVj表示弧头。
如图:

3.3 有向无环图
它的概念可谓见名知意,每一条边都有明确的方向。但是从任一顶点触发无法经过若干条边回到该顶点,就是有向无环图。
比如:快递如果不能送到你家,就只能打道回府,不能去往别处。(定向)
如图:
正版:
盗版(有环):
3.4 完全图
任何两个顶点之间都存在一条边,就是完全图。
3.5 子图
某个图的顶点集里一部分,边集里一部分,形成的图就是该图的子图(当然可以有一方[边/顶点]是完整的原图的集合)
3.6 端点、邻接点
在无向图中,存在一条边(i, j),则称顶点i和顶点j为该边的两个端点,并称它们互为邻接点。
在有向图中,若存在一条边<i, j>,则称该顶点i和顶点j为该边的两个端点。它们互为邻接点。此时,顶点i为起点,顶点j为终点。
3.7 顶点的度、入度和出度
度、入度和出度在树结构中出现过。在这里它们会有怎样别样的表达呢?
注意:这里入度和出度的概念就只针对有向图了~
3.7.1 顶点的度
在无向图中,顶点所具有的边的数目(和树一样)。
3.7.2 入度和出度
仅针对于有向图。
-
入度(In−degreeIn-degreeIn−degree)
以该顶点出发的边的数量
-
出度(Out−degreeOut-degreeOut−degree)
以该顶点为终点的边的数量
3.8 路径和路径长度
这里的路径和HuffmanHuffmanHuffman树中提到的路径相似。
路径就是顶点之间经过的边。但是在图中会出现一个情况就是:顶点之间的路径往往不只一条,从而出现了最短路径的的经典算法。(这里我们后文详细讲~)
路径长度就是一条路径上经过的边的数目。
3.9 回路成环
一条路径上起点和终点为同一顶点,则称此路径为回路或者环。
有两种独特的环路(后续会详细讲):
-
欧拉环路
经过图中各边且恰好一次的环路,称之为欧拉环路,也就是其路径长度 = 图中边的总数。
-
哈密尔顿环路
经过图中各顶点都恰好一次的环路,称作哈密尔顿环路,其路径长度 = 构成环路的边数。
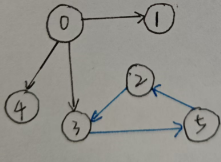
3.10 连通、连通图和连通分量
3.10.1 连通
顶点x和顶点y之间存在可相互抵达的路径(直接或间接的路径),则称x和y是连通的。
3.10.2 连通图
图G中任意2个顶点都连通,则G为连通图,否则称为非连通图。
如图:

3.10.3 连通分量
无向图G中的极大连通子图称为G的连通分量。
对于连通图只有一个极大连通子图,就是它本身。(唯一的)而非连通图有多个极大连通子图,非连通图的极大连通子图就是连通分量。
极大连通子图:参与构成连通图的最大顶点数量,形成的图。(再额外加顶点就不连通了)
极小连通子图:和后面的最小生成树有很大的关系。
如图:
上图中极大连通子图就是其本身啦~
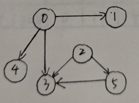
3.11 强连通图和强连通分量
3.11.1 强连通图
图G中任意两个顶点都连通(即存在路径),则图G就是强连通图。
3.11.2 强连通分量
强连通图只有一个强连通分量,即自身。非强连通图可能有多个强连通分量。
如图:
上图中:强连通分量有:{1, 2, 3, 4}、{5}、{6}
3.12 稠密图和稀疏图
通常认为边小于nlognnlognnlogn(n为顶点个数)的图是稀疏图,反之为稠密图。
3.13 权和网
3.132.1 权
图中每一条边都可以被赋予一个值,这个就是权。权表示一个顶点到另一个顶点的距离或者花费的代价。
注意:权可以是小数或负数,不是只有正数哦~
3.13.2 网
边上带有权的图称为带权图,也称之为网。
四、存储结构
前面我们知道了图就是两个集合:顶点集和边集。而存储结构将会告诉你顶点该怎么存,边该怎么存。
众所周知,存储结构可大致分2种:数组存储,链式存储。彼此搭配,就造成了图的不同存储方式。且听我细细道来~
4.1 邻接矩阵
4.1.1 顶点
采用数组,这种方式叫邻接(数组中元素之间都是紧挨着的)
存顶点,需要存它的值,可以用数组,为什么呢?
顶点的目的就是为了支撑它的边,如果用指针来存,指针需要指来指去,这就导致存储关系的存储会浪费很多空间(存地址),因此就不考虑链式存储了,直接采用数组来存。
4.1.2 边
采用数组——二维数组(矩阵)
这就造就了图的一种存储方式——邻接矩阵表示法。
4.2 邻接表
边可以采用链表的方式。
以A为顶点,可以到达其他几个点,就像是以A为钥匙,可以打开其他几扇门,这就类似指针。因此,可以利用链式存储,类似节点的存储方式。
顶点A可以分为数据域和指针域,数据域可以存它的值,指针域就存A顶点可以到达的顶点地址。
顶点还是数组(邻接),这就造就了图的另一种存储方式——邻接表。
4.3 抽象到具体
咱直接对上述方法上图阐释~
4.3.1 邻接矩阵

细节:对于数组存储的方式,下标扩容很难了,因此就预留一个足够大的空间,定义为MAX_NUM
注意:
-
这里是无向图,因而不存在自己指自己的情况,对应图中就是那个“对角线”——都是0。
-
最终结果可以看出,沿“对角线”,左右的元素是相同的(因为都是表示的一条边)
适用范围:无向图(更好)、有向图。
无向图:因为无向图的边是双向的(2倍的关系),从而形成了对称矩阵,就像上图所展示的。但是,对于有向图来说,边的指向是确定的,形成的矩阵就是稀疏的——有很多0(这完全取决于边的数量)。
优点:
-
通用性强,之后的很多算法都对它有所应用(后续都会展开讲的~)
-
找度或入度和出度很方便,
如何找一个点的度,入度和出度?
无向图找度:遍历一行/一列
有向图找入度和出度:入度(列),出度(行)
缺点:
- 对于有向图,会造成空间的浪费。(边很少,但顶点很多时)
解决方法:邻接表
4.3.2 邻接表

特点:用节点表示边(不会存无向图)
会有另外的表来存无向图——邻接多重表(见后文)
细节:
该如何存边呢?
-
用顶点索引作为出度的弧尾,节点用来存储弧头
-
后面不断指向下一个点(无序)
-
入度、出度:
- 计算入度(多少点指向“我”):遍历所有节点(O(E)O(E)O(E)),效率比较低。
- 计算节点的出度数——遍历
优点:节省空间
缺点:计算入度不方便
解决方法:逆邻接表(还是用来存有向图)
4.3.3 逆邻接表

本质:就是正邻接表的指针域颠倒位置,就形成了逆邻接表
细节:用节点表示边,用顶点索引表示弧头,节点来存储弧尾
优点:计算入度方便
缺点:计算出度方便
如果又想搞入度,又想搞出度呢?
解决方法:十字链表
4.3.4 十字链表法

本质:正邻接表和逆邻接表的合体
细节:顶点结构:表示入度首地址和出度的首地址
优点:计算入度和出度想对更加方便。
缺点:不好表示无向图,表示起来很麻烦
解决方法:邻接多重表
4.3.5 邻接多重表

细节:无向图,有多少条边,用多少节点来表示
优点:节约空间
缺点:代码实现要复杂得多
在删除链表时,有两个顶点指向同一条边,删除时易造成其中一个指向变成野指针,因此两个都要找。
如图:
4.3.6 另一种存储:边集数组
边的存储不再依靠链表和矩阵
细节:边的存储直接存一个序列对:<1, 2> <1, 3>
应用:对顶点要求不高时会用边集数组
用的不多,在最小生成树中会用到(后续会讲~)
五、小结
开启了新的篇章~
希望大家多多指教~





