学习日记22:Adaptive Rotated Convolution for Rotated Object Detection
摘要:
旋转目标检测的目的是在任意方向的图像中识别和定位目标,但物体的方向在不同图像中差别很大,一个图像中又可能存在很多不同方向的物体,所以标准主干网络很难提取这些任意方向目标的高质量特征。文章提出了ARC模块,卷积核自适应旋转来提取不同图像中不同方向的目标特征,并引入了一种有效的条件计算机制来适应图像中目标的大方向变化。
方法:
为了弥合面向任意对象的实例和面向静态的卷积核之间的差距,文章提出了通过在核空间内以数据驱动的方式采样权重来旋转卷积核的方法。思想就是将卷积的权重看作是从权重空间采样得到的,使用双线性插值得到一个2D的权重空间(二维卷积时),确定旋转角度之后,直接从权重空间中采样得到新的权重。
路由函数:根据输入自适应的产生旋转角度和以及对应的组合权重;整体结构如下图的c表示。

自适应旋转卷积模块:这里介绍整个ARC模块的总体流程;首先,ARC模块有着一系列的卷积核W,然后根据输入的图片x,使用路由函数得到旋转角度和对应权重;使用双线性插值得到对应的旋转之后的卷积核W',然后进行卷积:

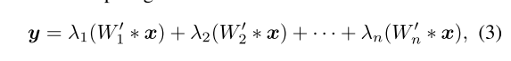
但受条件参数化技术的启发,上式可以写成:

这意味着分别对输入特征进行卷积,并将这些特征的输出相加。(3)相当于用这些核的组合卷积权重(等式)执行一次卷积运算。(4)。该策略提高了网络对多个面向对象特征的表示能力,但由于繁重的卷积计算在方程中只发生一次,因此保持了很高的效率。
实验


