当前位置: 首页 > news >正文

【小白笔记】理解 PyTorch 和 NumPy 中的张量(Tensor)形状变化unsqueeze(0)

1. unsqueeze(0)

  • 英文词源和解释:

    • Squeeze (挤压,压缩):这个词源自中古英语的 queisen,指用力压、挤出汁液或缩小体积。在 PyTorch 中,tensor.squeeze() 的作用正是移除张量中所有尺寸为 1 的维度(进行压缩)。
    • Un-squeeze (非挤压,展开):
      • Un- 是一个常见的否定前缀,表示“不”、“非”或“做相反的动作”(例如:unhappy, undo)。
      • Unsqueeze 就是 Squeeze 的反向操作,即展开、扩充
    • 在 PyTorch 中: unsqueeze() 的意思就是**“展开一个维度”“增加一个尺寸为 1 的维度”**。
  • 记忆点: squeeze压缩维度;unsqueeze展开维度。


2. unsqueeze(0) 是具体怎么加的?为什么就变成一个矩阵了?哪个方向加呢?

我们来用具体的矩阵形状和“人话”来形象化地解释 unsqueeze(0) 为什么是广播的关键,以及它如何将一个向量逻辑上变成一个矩阵。

形象化解释:unsqueeze(0) 与广播

假设我们的数据非常简单:每个样本只有 3 个特征。

1. 我们的目标:距离计算

我们要计算:新样本 xnewx_{\text{new}}xnew训练集 XtrainX_{\text{train}}Xtrain 中的所有样本 的特征差。

2. 原始形状(Python 和 PyTorch 的默认表示)
  • 新样本 xnewx_{\text{new}}xnew(向量):

    • 表示:[f1, f2, f3]
    • 形状 (Shape):(3,)
    • 人话:这是一个一维数组,PyTorch 默认把它当做 3 个元素的列表。
  • 训练集 XtrainX_{\text{train}}Xtrain(矩阵):

    • 假设有 5 个训练样本。
    • 表示:
      (a1a2a3b1b2b3c1c2c3d1d2d3e1e2e3)\begin{pmatrix}a_1 & a_2 & a_3 \\b_1 & b_2 & b_3 \\c_1 & c_2 & c_3 \\d_1 & d_2 & d_3 \\e_1 & e_2 & e_3\end{pmatrix}a1b1c1d1e1a2b2c2d2e2a3b3c3d3e3
    • 形状 (Shape):(5, 3)
    • 人话:这是一个 5 行 3 列的表格。
3. 失败的尝试:不使用 unsqueeze

如果直接计算 X_train - x_new,PyTorch 会报错或给出意想不到的结果,因为它不知道如何对齐 (5, 3)(3,)

4. 关键步骤:x_new.unsqueeze(0)

我们对新样本 xnewx_{\text{new}}xnew 执行 unsqueeze(0)

  • 动作: 在第 0 轴(最前面)添加一个尺寸为 1 的新维度。
  • 新形状 xnew_expandedx_{\text{new\_expanded}}xnew_expanded(1, 3)
  • 形象化表示(行向量矩阵):
    (f1f2f3)\begin{pmatrix}f_1 & f_2 & f_3\end{pmatrix}(f1f2f3)
    • 人话:它从一个“列表”变成了一个“只有 1 行的表格”。

为什么是“从列表到只有 1 行的表格”?

人话解释: 在编程语境中,一个向量(一维数组)在数据结构上非常像一个 Python 列表。当我们执行 unsqueeze(0) 时,我们是在逻辑上将它升级成一个矩阵(二维数组,也就是“表格”)。

详细解释:
  1. 原始状态(形状 (3,)):

    • 数据: [f1, f2, f3]
    • Python 视角: 这就是一个列表或者说是一个一维数组。在 PyTorch 中,它的形状是 (3,),代表只有 3 个元素,没有“行”或“列”的概念。
    • 数学视角: 这是一个向量
  2. unsqueeze(0) 之后(形状 (1, 3)):

    • 动作: 在最前面(第 0 轴)加入了数字 1。
    • 新数据: [[f1, f2, f3]]
    • Python/PyTorch 视角: 这是一个二维数组。它的形状是 (1, 3),意味着它有 1 行3 列
    • 形象化: 任何具有 (行数, 列数) 形状的结构,本质上就是一个表格(矩阵)。所以,一个 1 行的二维数组就是“只有 1 行的表格”。
关键点:数据格式的转换
格式/类型形状维度 (Dimension)形象化
Python 列表不适用N/A[f1, f2, f3]
原始张量(3,)1 维 (Vector)[f1, f2, f3]
unsqueeze(0)(1, 3)2 维 (Matrix)[[f1, f2, f3]] (1行3列的表格)

总结:

  • 并不是说原始张量是 Python 的 list 格式,而是说,它的一维形状 (3,) 在概念上类似于列表。
  • unsqueeze(0) 的作用是赋予它二维的身份 ((1, 3)),这个身份(1 行的表格)是激活广播机制所需要的,因为它现在可以和训练集的 (N, 3) 矩阵进行行级别的对齐了。
5. 广播机制 (Broadcasting) 的发生

现在我们要计算 XtrainX_{\text{train}}Xtrain 减去 xnew_expandedx_{\text{new\_expanded}}xnew_expanded

  • 运算: Xtrain(5,3)−xnew_expanded(1,3)X_{\text{train}} (5, 3) - x_{\text{new\_expanded}} (1, 3)Xtrain(5,3)xnew_expanded(1,3)

  • 广播的逻辑:

    1. 比较右侧维度: 都是 3,完美匹配。
    2. 比较左侧维度: 左边是 5,右边是 1。当其中一个维度是 1 时,就可以进行广播!
    3. PyTorch 的动作: PyTorch 会逻辑上(不复制内存)将 xnew_expandedx_{\text{new\_expanded}}xnew_expanded 沿着第 0 轴(行方向)复制 5 次,使它的形状也变成 (5, 3)
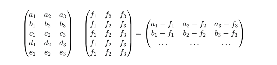
  • 最终运算效果:

    在这里插入图片描述

总结:为什么是关键?

unsqueeze(0) 就是给单个样本加上一个 “我是批量” 的维度(即尺寸为 1 的第 0 维)。这使得 PyTorch 能够识别出:“哦,你这是要用这一行数据去对齐并处理所有行。” 从而高效地在不写循环的情况下,计算出新样本与所有训练样本的特征差。

“在第 0 个位置(最前面)增加一个维度”这个动作,是在张量形状的逻辑结构上发生的,而不是物理数据本身的改变。

A. 为什么变成矩阵?(维度的变化)

在张量(或 NumPy 数组)中:

张量术语形状 (Shape)含义
向量 (Vector)(N,)一维,通常代表一个样本
矩阵 (Matrix)(N, M)二维,通常代表 N 个样本,每个样本 M 个特征
更高维张量(A, B, C, ...)三维或更高维

关键记忆点: unsqueeze(0) 就是给张量穿上一个“外套”,从 (特征数) 变成 (1, 特征数),从而让它具备了批量处理的资格,能够与整个数据集进行广播运算

http://www.dtcms.com/a/494318.html

相关文章:

  • 消息中间件选型的艺术:如何在RocketMQ、Kafka、RabbitMQ中做出正确决策
  • Java 反射机制核心类详解:Class、Constructor、Method、Field
  • 如何建立一个网站查询数据韶关市住房和城乡建设管理局网站
  • 【CSS 技巧】实现半透明边框的正确方式 —— 使用 background-clip: padding-box
  • CSS学习笔记(一):Flex布局全攻略
  • 【CSS 技巧】CSS 多层阴影(box-shadow)炫酷边框效果详解
  • Flink Data Source 理论与实践架构、时序一致性、容错恢复、吞吐建模与实现模式
  • 深度学习领域的重要突破:YOLOv3 目标检测技术解析
  • 工作事项管理小工具——HTML版
  • 快速上手 Tailwind CSS:一份现代化的样式解决方案
  • 【文档】部署开源项目 mayfly-go
  • asp.net网站很快吗界面设计与制作主要学什么
  • 告别云盘依赖:ZFile+cpolar构建你的私有文件管理中心
  • 【软考备考】软考 数据总线、地址总线、控制总线详解
  • python+uniapp基于微信小程序的旅游信息系统
  • 基于偏振相机---太阳子午线计算技术
  • 专题:2025年游戏科技的AI革新研究报告:全球市场趋势研究报告|附130+份报告PDF、数据仪表盘汇总下载
  • 珠海市企业网站制作品牌做电影网站技术
  • 宽依赖的代价:Spark 与 MapReduce Shuffle 的数据重分布对比
  • CSC格式:稀疏矩阵的列式压缩存储指南
  • 12.docker swarm
  • C/C++内存管理详解:从基础原理到自定义内存池原理
  • 品质好物推荐怎么上大淘客网站如何做seo
  • Linux是怎么工作的--第二章
  • Web爬虫指南
  • AI越狱攻防战:揭秘大模型安全威胁
  • 《简易制作 Linux Shell:详细分析原理、设计与实践》
  • 网站 营销方案怎么在网站上添加广告代码
  • 前端面试题+算法题(三)
  • 吕口*音乐多销*-程序系统方案