当前位置: 首页 > news >正文

考研数学笔记(概率统计篇)

亚当夏娃公式

在这里插入图片描述

在这里插入图片描述

常见分布及其期望方差

在这里插入图片描述
在这里插入图片描述
在这里插入图片描述

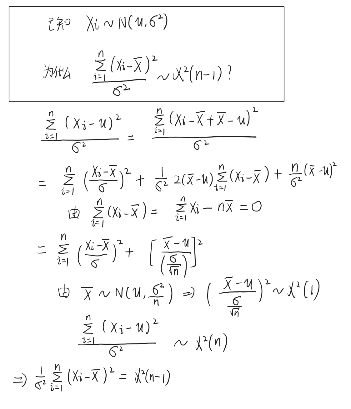
统计量及其分布

在这里插入图片描述

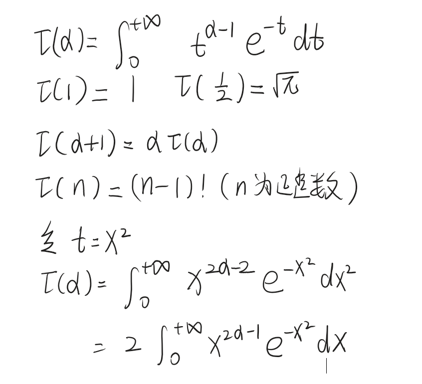
伽马函数

在这里插入图片描述

在这里插入图片描述

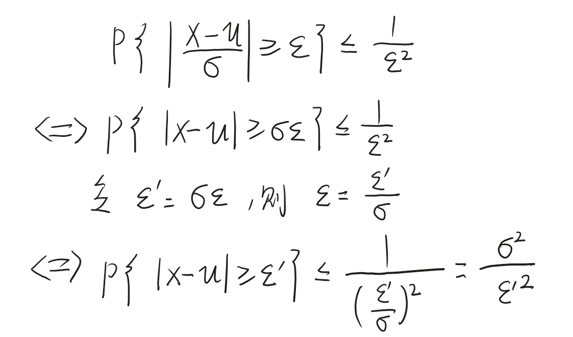
切比雪夫不等式

在这里插入图片描述
请问上面俩式子是等价的嘛?
在这里插入图片描述

大数定律

当样本量n 趋近于无穷时,样本均值依概率收敛于总体的期望
在这里插入图片描述

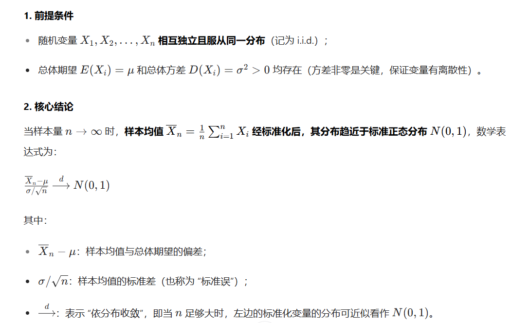
中心极限定理

现有n个独立同分布的随机变量X1 ~ Xn,无论 Xi 服从什么分布,只要我们对样本均值进行标准化,当样本容量n趋近于无穷时,得到的随机变量一定服从标准正态分布
在这里插入图片描述

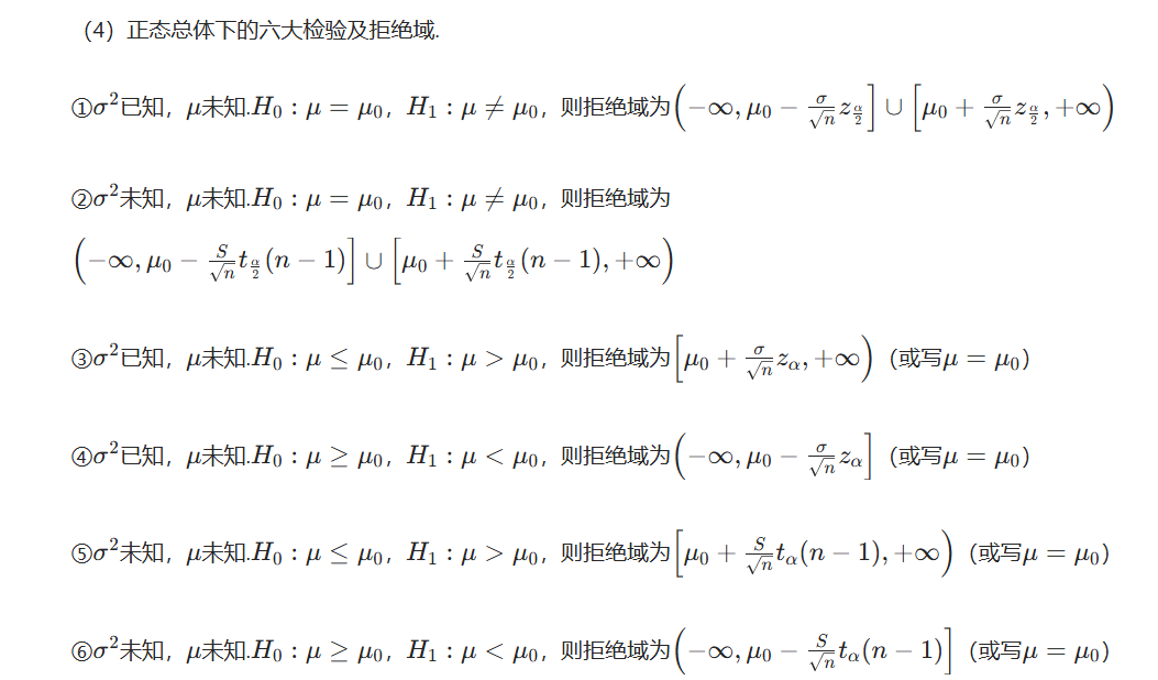
如何求假设检验过程中的拒绝域

在这里插入图片描述

http://www.dtcms.com/a/486793.html

相关文章:

  • HT6809:重塑音频体验的立体声 D 类功率放大器
  • Flutter对话框AlertDialog使用指南
  • 玩Android Flutter版本,通过项目了解Flutter项目快速搭建开发
  • 大数据毕业设计选题推荐-基于大数据的商店购物趋势分析与可视化系统-大数据-Spark-Hadoop-Bigdata
  • 网站标题符号的应用龙岩整站优化
  • 运维知识图谱的构建与应用
  • MySQL中RUNCATE、DELETE、DROP 的基本介绍
  • php企业网站 源码asp网站耗资源
  • 【LeetCode】四数之和
  • 网站进不去怎么解决网络营销策略
  • 旗讯 OCR:破解全行业表格处理痛点,让数据从 “识别” 到 “可用” 一步到位
  • 测试开发笔试
  • 数据库的创建,查看,修改,删除,字符集编码和校验操作
  • C语言初步学习:数组的增删查改
  • 【组队学习】Post-training-of-LLMs TASK02
  • 系统设计相关知识总结
  • 做视频的模板下载网站xunsearch做搜索网站
  • 做企业网站需要人维护么电子商务推广
  • Linux驱动开发原理详解:从入门到实践
  • HarmonyOS之Environment
  • 鸿蒙仓颉:如何获取全局定义的Context以及使用方法
  • 银河麒麟V10的X86架构部署postgresql,解决信创离线部署兼容问题
  • 如何建设物流网站智慧团建官网手机版登录
  • 寄生虫网站代做工程公司取名字大全
  • 用户体验就是新SEO:如何同时提升搜索者满意度和搜索排名
  • SpringBoot的IOC和DI学习
  • 《道德经》第十七章
  • 长宁区网站制作设计wordpress添加微信分享功能
  • vue做pc网站某网站seo诊断分析和优化方案
  • AWS MSK IAM 认证访问权限配置指南