当前位置: 首页 > news >正文

卫星几何处理

卫星几何定位模型

这实际上描述了一个空间几何关系:

📷 地面像点(X,Y,Z)在地心坐标系下的位置
卫星质心位置 + 卫星相机光线方向(在地固系下)× 比例因子 m

换句话说:

构建卫星影像像方二维坐标物方三维坐标物理模型,实现几何定位。

相机拍到的像素点,对应的光线(由相机坐标确定方向)经过多次坐标变换,被投影到地球表面,就得到该像素的地理位置

[X_{GPS},Y_{GPS},Z_{GPS}]

卫星质心在GPS下的坐标,这就是卫星在成像时刻的空间位置。由 定轨结果 提供

(x, y , f)

像点在相机坐标系下的坐标, 这定义了光线在相机坐标系下的方向向量。

  • x,y:像平面坐标(通常通过成像几何模型或相机内参获得)

  • f:焦距(相机主点到像平面的距离)

R_{camera}^{body}

这是相机坐标系 → 卫星机体坐标系的旋转矩阵,说明相机的安装姿态,例如相机光轴相对于卫星本体的俯仰、偏航、滚转角。由定标(外方位标定)确定

R_{body}^{J2000}

卫星机体坐标系 → 惯性坐标系(J2000) 的旋转矩阵,这表示卫星在成像时的姿态(即卫星朝向哪儿拍)。由定姿结果(星敏感器、陀螺仪)给出

R_{J2000}^{WGS84}

惯性坐标系(J2000) → 地固坐标系(WGS-84) 的旋转矩阵,与地球自转、岁差、章动有关
这是一个标准地球模型转换,由时间参数确定。

m

比例因子(或射线延伸系数),表示从相机出发沿光线方向延伸多远才能与地球相交。通过“相交地球椭球模型”求得。即确定光线与地球表面的交点。

定轨—定姿—定标

环节对应参数含义数据来源
🛰️ 定轨([X_{GPS}, Y_{GPS}, Z_{GPS}])确定卫星在地固系下的位置GPS / 星历数据
🔭 定姿(R^{J2000}_{body})确定卫星在惯性系中的姿态星敏感器 / 陀螺仪
📷 定标(R^{body}_{camera}),(f),内参描述相机相对卫星的安装误差地面标定 / 实测
🌎 坐标变换(R^{WGS84}_{J2000})将惯性系姿态转换到地固系地球模型计算
📍 地面定位(m) 求解光线与地球相交求交点数值求解
  • 卫星在轨道上(定轨) → 得到其在 WGS-84 系下的坐标

  • 卫星姿态传感器(定姿) → 得到机体在 J2000 系中的朝向

  • 相机安装矩阵(定标) → 得到相机相对机体方向

  • 三个旋转矩阵连乘,将相机视线方向转到地固坐标系

  • 光线方向 × 比例因子 m,加上卫星位置,就得地面点的坐标

基本坐标系

像平面坐标系:包括图像坐标系和焦面坐标系,描述像方点的二维坐标。

传感器坐标系:即相机坐标系,描述像方点的三维坐标。

卫星本体坐标系:基于整颗卫星构建的参考坐标系,星上各传感器的坐标基准

轨道坐标系:一种瞬时坐标系,多用于坐标之间的过渡、转换。

指向角模型

1. 起点:理想的严格物理模型

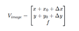
在理想情况下,我们使用针孔相机模型。一个像素 (x, y) 在相机坐标系中的方向向量是:
[x, y, f]^T

这个向量可以通过旋转和平移,转换到地球坐标系,从而进行定位。

2. 问题:现实世界的复杂性

现实中的相机远非理想:

  • 镜头畸变:导致光线弯曲,使得实际像点位置 (x+Δx, y+Δy) 偏离理想位置 (x, y)

  • 探测器安装误差:探测器的阵列可能不是完美的平面,或者与光轴不完全垂直。

  • 主点偏移:光轴与探测器平面的交点(主点)可能不在坐标原点 (0,0),而在 (x₀, y₀)

因此,第一个公式引入了这些修正:

  • x, y:探元的理想坐标。

  • x₀, y₀:主点偏移。

  • Δx, Δy:由镜头畸变引起的修正量。

  • f:焦距。

这个模型虽然精确,但参数过多且耦合紧密(例如,主点偏移和某些畸变参数效应相似),导致在轨标定时非常困难,容易产生不稳定的解,这就是所谓的“过度参数化、无法精确标定”的问题。

3. 解决方案:指向角模型

为了规避上述问题,工程师们想出了一个更聪明的方法:绕过所有复杂的内部物理参数,直接测量和建模每个探元的最终输出——它在惯性空间中的指向角度

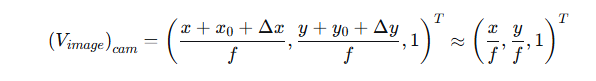
演变的关键一步是归一化:
我们将方向向量除以焦距 f,得到一个新的向量,其Z分量为1:

这个近似成立是因为 x₀, y₀, Δx, Δy 相对于 f 都是小量。这个向量的X和Y分量,在几何上恰好等于指向角正切值

这里,ψₓ 和 ψ_y 就是指向角

  • ψₓ:光线在X-Z平面上的投影与Z轴的夹角。

  • ψ_y:光线在Y-Z平面上的投影与Z轴的夹角。

至此,我们成功地将问题从“求解一堆难以分离的内部几何参数”转变为了“直接为每个探元标定其唯一的指向角”。

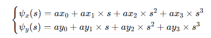
核心模型公式

这个公式描述的是指向角随探元号变化的规律

  • s (探元号)

    • 含义:探测器上每个敏感单元的编号。对于线阵推扫式卫星相机,这通常是从一端到另一端(例如,从0到11999)的序列号。

    • 作用:自变量。模型认为,一个探元的指向角主要由它在探测器上的位置决定。

  • ψₓ(s)ψ_y(s)

    • 含义:探元号 s 所对应的探测单元,其光线的指向角

    • 单位:通常是弧度。

    • 作用:因变量。这是我们最终要得到的量,用于构建几何定位模型。

  • 多项式系数 ax₀, ax₁, ax₂, ax₃, ay₀, ay₁, ay₂, ay₃

    • 含义:描述指向角与探元号之间函数关系的系数。这里使用了一个三次多项式来拟合这种关系。

    • 为什么是三次多项式? 一次多项式(线性)只能描述均匀变化的视场;二次多项式可以描述对称的弯曲;三次多项式则能更好地拟合由于镜头畸变、探测器翘曲等引起的非对称、非线性的畸变。这在精度和复杂度之间取得了很好的平衡。

    • 如何得到? 这些系数是通过在轨几何定标来确定的。具体方法是:让卫星拍摄已知精确地理坐标的地面控制点,然后通过平差计算,反演出能使所有控制点投影误差最小的这一组系数。

工作流程与优势总结

  1. 定标阶段

    • 卫星对已知控制点区域成像。

    • 通过平差算法,解算出一组最优的指向角模型系数 (ax₀...ax₃, ay₀...ay₃)

    • 这些系数被固化,作为相机参数的一部分。

  2. 定位阶段

    • 对于图像中的任何一个像素(其探元号为 s),代入指向角模型,直接计算出它的指向角 ψₓ(s)  ψy(s)

    • 根据 tan(ψₓ) 和 tan(ψ_y) 得到相机坐标系下的归一化方向向量 (tan(ψₓ), tan(ψy), 1)

    • 后续流程不变:利用卫星的姿态和轨道数据,将这个方向向量转换到地固坐标系,与卫星位置向量结合,通过共线方程解算出地面点的精确坐标。

优势

  • 强健性:避免了物理模型参数之间的强相关性,解算更稳定。

  • 精度高:直接对标最终几何定位精度,模型简单有效。

  • 实用性强:非常适合于在轨标定和业务化处理。

http://www.dtcms.com/a/486127.html

相关文章:

  • 【个人成长笔记】在Ubuntu中的Linux系统安装sogoupinyin搜狗输入法完整版(亲测有效)
  • 3d驱动模型。如何让人物说话?什么情况下需要训练wav2lip模型,自己训练的好处是什么?操作步骤是?
  • 画册什么网站做方便做外汇著名网站
  • CRMEB标准版PHP订单发货全解析
  • Flink 窗口 Join 与区间 Join 实战详解
  • 分布式监控体系:从指标采集到智能告警的完整之道
  • 《Muduo网络库:实现one loop per thread设计模式》
  • 怎么注册网站卖东西哪有培训网站开发
  • makefile概述
  • 用R处理nc文件
  • GaussDB DN动态内存使用满导致DN主备切换
  • 湖南微网站开发北京市建设规划网站
  • TCP与UDP:传输层双雄的核心对比
  • 安化网站建设怎样建个人网站 步骤
  • 并查集-547.省份的数量-力扣(LeetCode)
  • 生命周期全景图:从componentDidMount到getSnapshotBeforeUpdate
  • p2p做网站plc编程入门基础知识
  • 学院个人信息|基于SprinBoot+vue的学院个人信息管理系统(源码+数据库+文档)
  • Unity AB包加载与依赖管理全解析
  • 基于Springboot的游戏网站的设计与实现45nuv3l8(程序+源码+数据库+调试部署+开发环境)带论文文档1万字以上,文末可获取,系统界面在最后面。
  • 深入理解 Vue.js 原理
  • 基于bert-base-chinese的外卖评论情绪分类项目
  • OpenSSL EVP编程介绍
  • 网站服务器组建中国国际贸易网站
  • 上新!功夫系列高通量DPU卡 CONFLUX®-2200P 全新升级,带宽升 40% IOPS提60%,赋能多业务场景。
  • Spring Boot 3零基础教程,properties文件中配置和类的属性绑定,笔记14
  • 以数据智能重构 OTC 连锁增长逻辑,覆盖网络与合作生态双维赛跑
  • 【推荐100个unity插件】基于节点的程序化无限地图生成器 —— MapMagic 2
  • 71_基于深度学习的布料瑕疵检测识别系统(yolo11、yolov8、yolov5+UI界面+Python项目源码+模型+标注好的数据集)
  • 工控机做网站服务器网络模块