当前位置: 首页 > news >正文

深度学习入门(二)——反向传播与向量化推导


一、前言:梯度从哪来?

在第一篇里,我们讲过神经元和前向传播。
我们知道一个神经网络的基本结构:输入经过层层加权求和、非线性激活,最后得到输出。
接着通过损失函数计算误差。

但在实际训练时,模型不是“知道答案”的。
它只能根据输出和真实标签之间的**误差(Loss)**来判断:我做得对不对。
问题是,它该如何知道“哪里错了、错了多少、怎么改”?

答案就是:反向传播(Backpropagation)

反向传播的作用是:

告诉每个参数该往哪个方向调、调多少,才能让整体误差下降。

这就是神经网络能够自我学习的关键机制。
而实现这一点的基础,就是梯度


二、梯度的本质:变化的方向

我们先不急着讲复杂公式,先回到一个直觉问题:
当我们说“一个函数的梯度”时,它到底是什么?

在一维情况下,函数 f(x)f(x)f(x) 的梯度其实就是导数 f′(x)f'(x)f′(x),代表斜率。
如果 f′(x)>0f'(x) > 0f′(x)>0,我们要让函数变小,就往反方向(负方向)走一点。
这就是最朴素的梯度下降法。

在多维情况下,梯度就是偏导数的向量:

它指向函数增大的最快方向。
所以想让函数减小,就朝反方向走。

在神经网络中,每个参数 www 都参与损失的计算。
反向传播要做的,就是求出每个 www 对整体损失 LLL 的偏导数 ∂L∂w\frac{\partial L}{\partial w}∂w∂L​。

如果你能算出这个梯度,你就能训练模型。


三、前向传播回顾:信息是如何流动的

让我们先复习一个最简单的三层网络(输入层 → 隐藏层 → 输出层):

它的计算流程是:

  1. 隐藏层输入

  2. 隐藏层输出(激活)

  3. 输出层输入

  4. 输出层输出(预测)

  5. 损失函数

整个计算是从左到右的:输入 → 线性变换 → 激活 → 线性变换 → 输出。
这叫 前向传播(Forward Propagation)

但要更新参数,我们要知道“每个参数改动后,Loss 怎么变”。
也就是说,我们需要从输出往回传递“误差信息”——这就是反向传播。


四、链式法则:反向传播的核心

如果你只想记住反向传播的一句话,那就是——

反向传播 = 链式法则的系统应用。

链式法则告诉我们:如果一个变量依赖于另一个变量,那么它们的导数可以层层传递。

在神经网络中,层与层之间正好符合这种依赖关系:

因此可以通过链式法则一步步地把误差从输出层传回输入层。
每一层都只需要知道“自己输出的梯度”和“当前的局部导数”,就能求出“输入的梯度”。

这就是为什么反向传播算法能在复杂的多层结构中高效传播梯度。


五、反向传播的推导:一层一层地来

我们以刚才那三层网络为例,推导每一层的梯度。

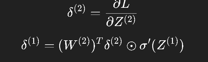
1. 输出层

损失函数 LLL 对输出 y^\hat{y}y^​ 的导数:

比如使用平方误差损失:

再往前一层:

因为

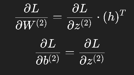
然后对参数求导:

再往前传:


2. 隐藏层

隐藏层的输出

其中 “⊙\odot⊙” 表示元素级乘法。

然后:

这就完成了从输出层到输入层的一次完整反向传播。


六、伪代码演示:一步步实现 BP 算法

我们可以把上面的推导写成伪代码:

# 前向传播
z1 = W1 @ x + b1
h = sigmoid(z1)
z2 = W2 @ h + b2
y_hat = z2  # 假设线性输出
loss = 0.5 * (y_hat - y)**2# 反向传播
dL_dyhat = y_hat - y
dL_dz2 = dL_dyhat * 1.0           # 因为 y_hat = z2
dL_dW2 = dL_dz2 @ h.T
dL_db2 = dL_dz2
dL_dh = W2.T @ dL_dz2
dL_dz1 = dL_dh * h * (1 - h)
dL_dW1 = dL_dz1 @ x.T
dL_db1 = dL_dz1# 参数更新
W1 -= lr * dL_dW1
b1 -= lr * dL_db1
W2 -= lr * dL_dW2
b2 -= lr * dL_db2

这个过程本质上就是矩阵形式的链式法则。
每一层只需要知道“上层传来的梯度”,再乘上本层的导数,就能求得自己的梯度。


七、向量化思想:从标量推导到矩阵运算

在上面的推导中,如果你仔细看,会发现每个变量其实都可以是向量或矩阵。
这就是**向量化(Vectorization)**的意义。

为什么要向量化?

因为在深度学习中,数据往往是批量的。
我们不可能一个样本一个样本地算梯度,否则计算效率太低。
GPU 的强大之处就是能同时对成千上万个样本做矩阵运算。

比如批量大小为 BBB,输入维度为 nnn,那么:

则整个前向传播可以写成:

反向传播同样用矩阵表示:

其中:

这种表示方式非常紧凑,而且与现代深度学习框架(如 PyTorch、TensorFlow)的实现完全一致。


八、数值稳定性与梯度爆炸/消失

理解反向传播的过程中,你可能听过两个著名的问题:
梯度消失(Vanishing Gradient)梯度爆炸(Exploding Gradient)

它们都与链式法则的“乘法效应”有关。

假设网络有很多层,每一层都有导数
那么梯度传回输入层时是这些导数的连乘积:

如果这些导数平均小于 1(如 sigmoid),那么乘积会迅速趋近 0,导致梯度几乎消失。
如果大于 1,则可能迅速膨胀,导致梯度爆炸。

这两个问题都会让训练变得极不稳定。

常见的解决办法包括:

  • 使用 ReLU 激活(避免梯度饱和);

  • 使用合适的权重初始化(如 Xavier、He 初始化);

  • 对梯度进行裁剪(gradient clipping)。


九、从理论到工程:反向传播是如何实现的?

在框架层面,反向传播是通过**计算图(Computational Graph)**自动完成的。

简单来说,框架在前向传播时会记录每个操作的输入、输出和导数规则;
然后在反向阶段,根据依赖关系自动应用链式法则。

伪代码大概这样:

# 自动求导的基本逻辑
def backward(node):if node.grad is None:node.grad = 0for parent, local_grad in node.dependencies:parent.grad += node.grad * local_gradbackward(parent)

这就是 PyTorch 的 autograd 机制背后的核心思想。
因此我们在写网络时不需要手动写出每一层的导数,框架会帮我们自动完成。


十、总结:反向传播是一种思维方式

反向传播并不是一个“复杂的算法”,而是一种计算思想

它告诉我们:

  • 当一个系统由层层可导函数组成时,我们可以用链式法则逐层传播信息;

  • 每一层都只需要知道局部导数,不需要全局信息;

  • 当所有层的梯度都算完,整个系统就能自动调整。

这其实是一种极具启发性的“分治思想”:
复杂问题被拆成简单模块,每个模块只需关心输入与输出之间的关系。
这种设计哲学贯穿了整个深度学习体系。


十一、结语:梯度之后,才是优化的开始

反向传播让我们“能”训练神经网络,
但它本身不决定“训得好不好”。
真正决定学习速度和效果的,是我们下一篇要讲的内容——优化算法

它们回答的是另一个更深的问题:

“既然我们知道了梯度,那应该怎么走,才能最快、最稳地到达最优点?”


下一篇预告:

深度学习入门(三)——优化算法与实战技巧
我们将从最基础的梯度下降讲起,一步步理解动量、RMSProp、Adam 等优化算法的内在逻辑与工程细节。

http://www.dtcms.com/a/469552.html

相关文章:

  • C++设计模式之行为型模式:状态模式(State)
  • 免费自助建站网站一览网络营销推广方法有哪几种
  • 小伙做网站浦东做网站公司
  • Java对象与字符串相互转化的方式
  • 纪检网站建设计划wordpress 防止被黑
  • MXIC旺宏NOR Flash实现微秒级光形切换
  • 5、docker存储卷
  • docker搭建高性能运营级流媒体服务框架ZLMediaKit——筑梦之路
  • 完美迁移:将 nvm 和 npm 完全安装到 Windows D 盘
  • 从零到一:用 Vue 打造一个零依赖、插件化的 JS 库
  • 创建好git项目仓库后如何将本地项目传上去
  • wordpress图片主题模板下载南山网站优化
  • 做外贸大大小小的网站有哪些新手如何做外贸生意
  • langchain4j+SpringBoot+DashScope(灵积)整合
  • MATLAB实现直流电法和大地电磁法的一维正演计算
  • IBM 开源轻量级多模态文档理解模型 Granite-Docling:258M 参数,精准还原 PDF、截图中的公式、表格与代码
  • Python PDF文档加密与保护:确保你的文件安全
  • 【Conda】Conda虚拟环境配置系统环境变量,Jupter可使用
  • 网站网页和网址的关系湘潭seo
  • 对象集合里的id用逗号拼装几种方式
  • 框架--MybatisPlus
  • Coze源码分析-资源库-编辑数据库-前端源码-核心逻辑与接口
  • TikTok SDE OA 2025 真题解析与秋招趋势
  • idea 中 mapper.xml黄线警告怎么去掉
  • NXP - MDK460的调试设置
  • 15.UE-游戏逆向-DumpUE struct
  • 百度统计api兰州企业网站排名优化
  • 网站右下角悬浮窗口js代码 兼容各浏览器页面置换算法课程设计
  • NeurIPS 2025 | 华中科大小米等提出语义提示扩散Transformer,实现精准深度估计新范式!
  • Ansible-playbook剧本