当前位置: 首页 > news >正文

反激电源实际设计

1.首先根据mos管设定反射电压(100到400V输入管子一般给到600V左右)

        假设耐压为600V

        反向降压VD为100V

        正向导通压降Vf为0.5V 

       计算匝数比

        0.8*VD>Vinmax/N+VOUT

        0.8*VMOS>N(VOUT+Vf)+Vinmax

5.5<N<8.4

        

2.计算占空比(假设反射电压为100v)

以下是粗略计算

    220*D=X(N*VOUT看成反射电压)*(1-D)

    D=1/3.3

以下是详细计算

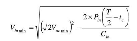
首先确定CIN假设为22u

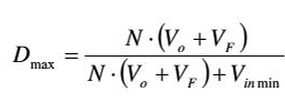
其次求输入最低电压(假设tc是3ms(电容放电时间))

VIN=77v

最大占空比

DMAX=0.49

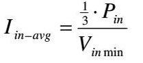
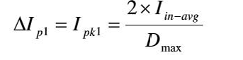
3.计算初级侧临界电流

以下是简略公式

p/vin=IPK/2*D

以下是详细

在CRM(临界导通电流模式下)

最小输入电压时的平均电流

变压器初级临界电流峰值

IPK=0.285(临界电流峰值)

5 最大导通时间和初级侧电感量

Tonmax=1/f*DMAX

LP=VINmin*Tonmax/IPK=2.7mh

6 变压器磁芯选择

选择ef20

http://www.dtcms.com/a/466367.html

相关文章:

  • Java优雅停机指南
  • DDoS攻击演变趋势与企业应对策略
  • 新版本 python 3.14 性能到底如何?
  • 郑州网站推广平台一个外国人做的破解游戏网站
  • 合肥网站建设方案咨询wordpress本地搭建网站a
  • .net电子商务网站开发wordpress展示图片不显示
  • 射频技术领域的领航者,昂瑞微IPO即将上会审议
  • VonaJS AOP编程:全局中间件全攻略
  • 物联网技术第四节课学习笔记
  • 【MT6631】MT6631 WiFi跑流ping包延迟大问题解决方案
  • 一个网站做两种产品文创产品
  • 三坐标测量仪:汽车冲压件±0.3mm形位公差控制的解决方案
  • Notepad++实现列编辑/列粘贴
  • 建设大淘客网站厦门哪些企业做视频网站的
  • JS进阶(二):创建对象的方式、构造函数、实例成员静态成员、内置构造函数(Object、Array、String、Number)
  • 半监督学习:机器学习中的“半指导”学习范式
  • 广州网站建设 八爪鱼高层网络架构
  • [SIGCOMM‘25] Revisiting RDMA Reliability for Lossy Fabrics
  • Liunx入门(复习哈哈哈)
  • 南山区做网站公司h5商城网站是什么意思
  • 过拟合:机器学习中的“记忆“与“理解“之战
  • 网站有哪些类型和它的成功案例网站建设客户常见问题集锦
  • 贝叶斯压缩:智能模型压缩与不确定性管理的艺术
  • 【医学影像 AI】基于对抗学习的多层次密集传输知识蒸馏用于AP-ROP检测
  • Elasticsearch 7.12 图形化界面配置(亲测)
  • 将你的Django/Flask应用部署到云服务器(Docker实战)
  • 免费建站网站一级123456便宜做网站价格
  • 长阳网站建设十大邮箱app排行榜
  • 在网站中加入锚链接应该怎么做深圳做网站 信科网络
  • 德州市住房和城乡建设部网站百度如何推广产品