当前位置: 首页 > news >正文

98.验证二叉搜索树(二叉树算法题)

98.验证二叉搜索树

力扣题目链接

给你一个二叉树的根节点 root ,判断其是否是一个有效的二叉搜索树。

有效 二叉搜索树定义如下:

  • 节点的左子树只包含 严格小于 当前节点的数。
  • 节点的右子树只包含 严格大于 当前节点的数。
  • 所有左子树和右子树自身必须也是二叉搜索树。

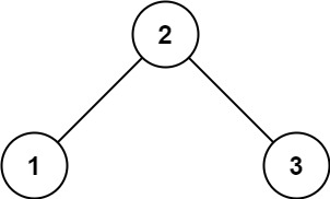
示例 1:

输入:root = [2,1,3]
输出:true

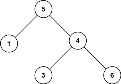
示例 2:

输入:root = [5,1,4,null,null,3,6]
输出:false
解释:根节点的值是 5 ,但是右子节点的值是 4 。

提示:

  • 树中节点数目范围在[1, 104] 内
  • -231 <= Node.val <= 231 - 1

递归法

可以递归中序遍历将二叉搜索树转变成一个数组,

然后只要比较一下,这个数组是否是有序的,注意二叉搜索树中不能有重复元素


/*** 验证二叉搜索树(Valid Binary Search Tree)* * 核心思想:* 二叉搜索树(BST)的中序遍历(左 -> 根 -> 右)结果是一个严格递增的有序序列。* 因此,我们可以先进行中序遍历,将节点值存入列表,然后检查该列表是否严格递增。* 如果存在任意一个元素小于或等于前一个元素,则说明不是有效的BST。*/
class Solution {// 用于存储中序遍历结果的列表// 遍历完成后,list中应为一个严格递增的序列(如果是BST)private List<Integer> list;/*** 主方法:判断给定的二叉树是否为有效的二叉搜索树(BST)* * @param root 二叉树的根节点* @return 如果是有效的BST返回true;否则(如存在逆序或重复值)返回false*/public boolean isValidBST(TreeNode root) {// 初始化列表,确保每次调用时list为空// 相当于清空上一次的结果,避免干扰list = new ArrayList<>();// 调用中序遍历方法,将整棵树的节点值按中序顺序加入listtraversal(root);// 遍历list,检查是否严格递增(即:list[i] > list[i-1])for (int i = 1; i < list.size(); i++) {// 如果当前元素小于或等于前一个元素,说明不是严格递增// 根据BST定义,不允许有重复值,因此不能相等if (list.get(i) <= list.get(i - 1)) {return false; // 立即返回false,不是有效BST}}// 所有元素都满足严格递增,说明是有效的BSTreturn true;}/*** 辅助方法:执行中序遍历(Inorder Traversal)* 中序遍历顺序:左子树 -> 根节点 -> 右子树* 对于BST,这会生成一个从小到大排序的序列* * @param root 当前正在遍历的节点*/public void traversal(TreeNode root) {// 递归终止条件:如果当前节点为空,直接返回if (root == null) {return;}// 1. 先递归遍历左子树// 左子树的所有节点值都应小于当前根节点的值traversal(root.left);// 2. 访问当前根节点// 将当前节点的值添加到列表中// 此时,左子树已遍历完,开始处理根节点list.add(root.val);// 3. 最后递归遍历右子树// 右子树的所有节点值都应大于当前根节点的值traversal(root.right);}
}

迭代法

可以用迭代法模拟二叉树中序遍历,对前中后序迭代法生疏的同学可以看这两篇二叉树:听说递归能做的,栈也能做! (opens new window),二叉树:前中后序迭代方式统一写法(opens new window)

迭代法中序遍历稍加改动就可以了,代码如下:

//使用統一迭代法
class Solution {public boolean isValidBST(TreeNode root) {Stack<TreeNode> stack = new Stack<>();TreeNode pre = null;if(root != null)stack.add(root);        while(!stack.isEmpty()){TreeNode curr = stack.peek();if(curr != null){stack.pop();if(curr.right != null)stack.add(curr.right);stack.add(curr);stack.add(null);if(curr.left != null)stack.add(curr.left);}else{stack.pop();TreeNode temp = stack.pop();if(pre != null && pre.val >= temp.val)return false;pre = temp;}}return true;}
}

http://www.dtcms.com/a/457879.html

相关文章:

  • linux信号(2)——从“暂停咖啡机”看SIGINT:用户与程序的“紧急停止按钮”
  • asp网站安全南京移动网站建设
  • leetcode hot100 中等难度 day05-刷题
  • 企业网站每年的费用wordpress目录魔板
  • 做一个小公司网站多少钱网站备案归属地
  • Access调用Azure翻译:轻松实现系统多语言切换
  • R语言从入门到精通Day5之【数据输入】
  • 网站开发挣不挣钱南通网站建设知识
  • 仿手机底部导航栏制作
  • 二维码生成的技术原理与全场景实践
  • 做网站 嵌入支付wordpress优化攻略
  • Chromium Embedded Framework (CEF)的构建及运行
  • 批量替换yaml文件url字段
  • “软件维护” 分 4 类?用 “奶茶店售后” 讲透更正 / 适应性 / 完善性维护
  • 恋爱ppt模板免费下载网站网站建设项目风险管理的主要内容
  • 网站主机选择98建筑人才网
  • Windows中在QTCreator中调试,提示缺少debug information files问题的解决
  • 做宠物店网站的素材seo一级域名和二级域名
  • 施工工地云监管平台,工程建设现场管理,智慧工地云平台源码,以AI、物联网、BIM技术为手段,对施工现场进行立体化、全方位、全时段管理
  • 用单调栈高效解决 “首尾均为最大值” 的子数组计数问题(Leetcode 3113)
  • 企业网站自己可以做吗wordpress 登陆 插件
  • 初学c#-c#和.NET Framework - onecopper
  • 大沥南庄网站建设网站开发建设流程
  • nvMolKit:一套基于GPU加速的RDKit核心函数集
  • LOBE-GS:分块致密化效率提升
  • 福州建设招聘信息网站pt网站怎么下载与做
  • dede免费手机网站模板象山seo的优化
  • 央视支持新消费模式:积分助力商家锁客,复购率翻倍
  • 专业政务软件开发北京移动端网站优化
  • 怎样提高网站访问速度一起做网站欧洲站