当前位置: 首页 > news >正文

【深入浅出PyTorch】--3.2.PyTorch组成模块2

在深度学习模型的训练中,权重的初始值极为重要。一个好的初始值,会使模型收敛速度提高,使模型准确率更精确。一般情况下,我们不使用全0初始值训练网络。为了利于训练和减少收敛时间,我们需要对模型进行合理的初始化。PyTorch也在torch.nn.init中为我们提供了常用的初始化方法。 通过本章学习,你将学习到以下内容:

  • 常见的初始化函数

  • 初始化函数的使用

目录

1.初始化函数

1.1.初始化函数的封装

2.损失函数

2.1.二分类交叉熵损失

2.2.交叉熵损失函数

2.3.其他损失函数

3.训练与验证

3.1.训练

3.2.验证

4.优化算法

4.1.Optimizer属性

4.2.Optimizer方法


1.初始化函数

torch.nn.init 是 PyTorch 中用于神经网络参数(如权重、偏置)初始化的工具模块。它提供了一系列函数,用于对 torch.Tensor (张量)对象进行不同策略的初始化。

核心特点

  • 原地操作 (In-place):除了 calculate_gain,所有初始化函数的名称都带有下划线后缀(如 uniform_)。这表示它们会直接修改输入的张量(tensor)的值,而不是返回一个新的张量。
  • 目的:合理的初始化可以加速模型收敛,避免梯度消失或爆炸等问题。

以下是 torch.nn.init 提供的主要初始化函数:

函数名描述关键参数
uniform_(tensor, a=0.0, b=1.0)从均匀分布 U(a, b) 中采样来初始化张量。ab: 分布的上下界。
normal_(tensor, mean=0.0, std=1.0)从正态分布 N(mean, std) 中采样来初始化张量。meanstd: 均值和标准差。
constant_(tensor, val)将张量的所有元素填充为一个常数 valval: 要填充的常数值。
ones_(tensor)将张量的所有元素填充为 1。
zeros_(tensor)将张量的所有元素填充为 0。
eye_(tensor)为 2D 张量创建一个单位矩阵。对于更高维张量,最内层的两个维度构成单位矩阵,其余元素为 0。
dirac_(tensor, groups=1)为卷积层的权重初始化,使得初始时网络为恒等映射(仅适用于 3D4D5D 的 tensor)。groups: 卷积分组数。
xavier_uniform_(tensor, gain=1.0)Xavier/Glorot 均匀初始化。从以 0 为中心,[-limit, limit] 为范围的均匀分布中采样,其中 limit = gain * sqrt(6 / (fan_in + fan_out))gain: 缩放因子。
xavier_normal_(tensor, gain=1.0)Xavier/Glorot 正态初始化。从均值为 0,标准差为 gain * sqrt(2 / (fan_in + fan_out)) 的正态分布中采样。gain: 缩放因子。
kaiming_uniform_(tensor, a=0, mode='fan_in', nonlinearity='leaky_relu')Kaiming/He 均匀初始化。常用于 ReLU 及其变体激活函数的网络。a: 负斜率(用于 leaky_relu),mode'fan_in' 或 'fan_out'nonlinearity: 激活函数名。
kaiming_normal_(tensor, a=0, mode='fan_in', nonlinearity='leaky_relu')Kaiming/He 正态初始化。与 kaiming_uniform_ 类似,但从正态分布采样。参数同上。
orthogonal_(tensor, gain=1)生成一个(半)正交矩阵来初始化张量。对于非方阵,会进行奇异值分解(SVD)并用得到的正交基初始化。对 RNN 非常有效。gain: 应用于正交矩阵的缩放因子。
sparse_(tensor, sparsity, std=0.01)将张量初始化为一个稀疏矩阵。每个行向量中,有 sparsity 比例的元素被设置为 0,其余元素从 N(0, std) 中采样。sparsity: 稀疏度(0-1 之间),std: 非零元素分布的标准差。

增益计算 (Gain Calculation)

calculate_gain(nonlinearity, param=None)
功能:计算给定非线性激活函数(nonlinearity)的推荐增益(gain)值。这个值通常作为 xavier_* 和 kaiming_* 等初始化方法的 gain 参数传入,以获得更合适的初始化尺度。

常见非线性函数的增益值表

非线性函数 (nonlinearity)增益 (Gain)
Linear / Identity1
Conv{1,2,3}D1
Sigmoid1
Tanh5/3 ≈ 1.6667
ReLU√2 ≈ 1.4142
Leaky ReLU√(2 / (1 + neg_slope²))

说明

  • Leaky ReLU 的增益取决于其负斜率 neg_slope。例如,当 neg_slope=0.01 时,增益约为 1.4141。
  • 使用 calculate_gain 函数可以方便地获取这些值,例如:gain = torch.nn.init.calculate_gain('relu')

具体每一层设计的参数可以看上一章:

https://blog.csdn.net/qq_58602552/article/details/152280344?spm=1001.2014.3001.5501

举个例子:

import torch
import torch.nn as nn# 定义一个卷积层
conv = nn.Conv2d(1, 3, 3)  # 输入通道1,输出通道3,卷积核大小3x3
# 定义一个全连接(线性)层
linear = nn.Linear(10, 1)  # 输入维度10,输出维度1# 检查 conv 是否是 nn.Conv2d 类型
print(isinstance(conv, nn.Conv2d))    # 输出: True
# 检查 linear 是否是 nn.Conv2d 类型
print(isinstance(linear, nn.Conv2d))  # 输出: Falseprint(conv.weight.data)
print(linear.weight.data)# 对conv进行kaiming初始化
torch.nn.init.kaiming_normal_(conv.weight.data)
print(conv.weight.data)
# 对linear进行常数初始化
torch.nn.init.constant_(linear.weight.data,0.3)
print(linear.weight.data)
# #输出偏置项
# print(conv.bias.data)
# print(linear.bias.data)

1.1.初始化函数的封装

人们常常将各种初始化方法定义为一个initialize_weights()的函数并在模型初始后进行使用。

def initialize_weights(model):for m in model.modules():# 判断是否属于Conv2dif isinstance(m, nn.Conv2d):torch.nn.init.zeros_(m.weight.data)# 判断是否有偏置if m.bias is not None:torch.nn.init.constant_(m.bias.data,0.3)elif isinstance(m, nn.Linear):torch.nn.init.normal_(m.weight.data, 0.1)if m.bias is not None:torch.nn.init.zeros_(m.bias.data)elif isinstance(m, nn.BatchNorm2d):m.weight.data.fill_(1) 		 m.bias.data.zeros_()	

这段代码流程是遍历当前模型的每一层,然后判断各层属于什么类型,然后根据不同类型层,设定不同的权值初始化方法。我们可以通过下面的例程进行一个简短的演示:

# 模型的定义
class MLP(nn.Module):# 声明带有模型参数的层,这里声明了两个全连接层def __init__(self, **kwargs):# 调用MLP父类Block的构造函数来进行必要的初始化。这样在构造实例时还可以指定其他函数super(MLP, self).__init__(**kwargs)self.hidden = nn.Conv2d(1,1,3)self.act = nn.ReLU()self.output = nn.Linear(10,1)# 定义模型的前向计算,即如何根据输入x计算返回所需要的模型输出def forward(self, x):o = self.act(self.hidden(x))return self.output(o)mlp = MLP()
print(mlp.hidden.weight.data)
print("-------初始化-------")mlp.apply(initialize_weights)
# 或者initialize_weights(mlp)
print(mlp.hidden.weight.dat

注意: 我们在初始化时,最好不要将模型的参数初始化为0,因为这样会导致梯度消失,从而影响模型的训练效果。因此,我们在初始化时,可以使用其他初始化方法或者将模型初始化为一个很小的值,如0.01,0.1等。


2.损失函数

在深度学习广为使用的今天,我们可以在脑海里清晰的知道,一个模型想要达到很好的效果需要学习,也就是我们常说的训练。一个好的训练离不开优质的负反馈,这里的损失函数就是模型的负反馈。

所以在PyTorch中,损失函数是必不可少的。它是数据输入到模型当中,产生的结果与真实标签的评价指标,我们的模型可以按照损失函数的目标来做出改进。

下面我们将开始探索PyTorch的所拥有的损失函数。这里将列出PyTorch中常用的损失函数(一般通过torch.nn调用),并详细介绍每个损失函数的功能介绍、数学公式和调用代码。当然,PyTorch的损失函数还远不止这些,在解决实际问题的过程中需要进一步探索、借鉴现有工作,或者设计自己的损失函数。

经过本节的学习,你将收获:

  • 在深度学习中常见的损失函数及其定义方式

  • PyTorch中损失函数的调用

2.1.二分类交叉熵损失

torch.nn.BCELoss(weight=None, size_average=None, reduce=None, reduction='mean')

计算预测值和真实值的一个差距.

功能:计算二分类任务时的交叉熵(Cross Entropy)函数。在二分类中,label是{0,1}。对于进入交叉熵函数的input为概率分布的形式。一般来说,input为sigmoid激活层的输出,或者softmax的输出。

参数名类型说明
weightTensor 或 None一个手动重新缩放每个批次元素损失的张量。它通常是一个包含每个类别权重的 1D 张量,用于处理类别不平衡问题。如果指定,必须是 Tensor 类型。
size_averagebool已弃用。指定是否对输出进行平均。如果 True,则损失将对 batch size 求平均。
reducebool已弃用。指定是否将输出根据 size_average 进行归约(reduction)。
reductionstr指定应用于输出的归约方式。可选值为:'none':不进行归约,返回原始 loss;'mean':返回所有 loss 的平均值;'sum':返回所有 loss 的总和。此参数取代了已弃用的 size_average 和 reduce
import torch
import torch.nn as nnm = nn.Sigmoid()
loss = nn.BCELoss()input = torch.randn(3, requires_grad=True)
target = torch.empty(3).random_(2)output = loss(m(input), target)
print(output)
print(output.backward())

2.2.交叉熵损失函数

torch.nn.CrossEntropyLoss(weight=None, size_average=None, ignore_index=-100, reduce=None, reduction='mean')

参数名类型默认值说明
weightTensor 或 NoneNone手动赋予每个类别的权重,形状为 (C,)。常用于处理类别不平衡问题。例如:weight=torch.tensor([1.0, 2.0, 1.0]) 给第2类更高权重。
ignore_indexint-100指定一个目标值,该值对应的 loss 不参与梯度计算且不影响平均。常用于忽略 padding 或无效标签(如语义分割中的“背景”或 NLP 中的 <pad>)。
reductionstr'mean'损失的归约方式:
• 'none':不归约,返回每个样本的 loss(形状 (N,)
• 'mean':返回所有非忽略样本 loss 的平均值
• 'sum':返回所有非忽略样本 loss 的总和
label_smoothingfloat0.0标签平滑系数,范围 [0, 1]。用于防止模型对预测过于自信,提升泛化能力。当 α > 0 时,真实标签概率从 1 变为 1-α,其余类别均匀分配 α/(C-1)
import torch
import torch.nn as nn# 定义损失函数
criterion = nn.CrossEntropyLoss()# 假设 batch_size=2, num_classes=3
logits = torch.randn(2, 3, requires_grad=True)
# 示例 logits: tensor([[ 1.2, -0.5,  0.3],
#                      [-0.8,  1.0,  0.6]])target = torch.tensor([0, 2])  # 真实类别:第一个样本属于类0,第二个属于类2# 计算损失
loss = criterion(logits, target)
print("Loss:", loss.item())# 反向传播
loss.backward()
print("Gradient on logits:\n", logits.grad)

2.3.其他损失函数

损失函数名称类名功能描述计算公式(简化)
L1 损失nn.L1Loss()计算预测值与真实值之间绝对误差
MSE 损失nn.MSELoss()计算预测值与真实值之间平方误差
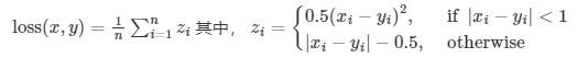
平滑 L1 损失nn.SmoothL1Loss(beta=1.0)L1 的平滑版本,对离群点更鲁棒
泊松负对数似然损失nn.PoissonNLLLoss(log_input=True, full=False, eps=1e-8)用于泊松分布回归任务
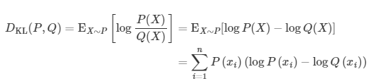
KL 散度损失nn.KLDivLoss(log_target=False)衡量两个概率分布之间的相对熵
Margin Ranking Lossnn.MarginRankingLoss(margin=0.0)用于排序任务,衡量两样本相似性
多标签边界损失nn.MultiLabelMarginLoss()多标签分类任务中的 Hinge 损失
二分类 Soft Margin 损失nn.SoftMarginLoss()二分类 logistic 损失,基于 sigmoid
多分类折页损失nn.MultiMarginLoss(p=1, margin=1.0, weight=None)多分类 hinge loss
三元组损失nn.TripletMarginLoss(margin=1.0, p=2)学习样本间距离度量(anchor, positive, negative)
Hinge Embedding Lossnn.HingeEmbeddingLoss(margin=1.0)对嵌入向量进行 hinge 损失计算

输入x应为两个输入之差的绝对值

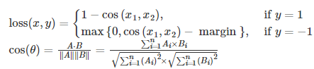
余弦相似度损失nn.CosineEmbeddingLoss(margin=0.0)基于余弦距离衡量两个向量相似性
CTC 损失nn.CTCLoss(blank=0, zero_infinity=False)用于时序数据(如语音、OCR),处理输入输出对齐问题对输入和目标的可能排列的概率进行求和,产生一个损失值,这个损失值对每个输入节点来说是可分的

3.训练与验证

我们在完成了模型的训练后,需要在测试集/验证集上完成模型的验证,以确保我们的模型具有泛化能力、不会出现过拟合等问题。在PyTorch中,训练和评估的流程是一致的,只是在训练过程中需要将模型的参数进行更新,而在评估过程中则不需要更新参数。

经过本节的学习,你将收获:

  • PyTorch的训练/评估模式的开启

  • 完整的训练/评估流程

完成了上述设定后就可以加载数据开始训练模型了。首先应该设置模型的状态:如果是训练状态,那么模型的参数应该支持反向传播的修改;如果是验证/测试状态,则不应该修改模型参数。在PyTorch中,模型的状态设置非常简便,如下的两个操作二选一即可:

model.train()   # 训练状态
model.eval()   # 验证/测试状态

3.1.训练

一个完整的图像分类的训练过程如下所示:

def train(epoch):# 将模型设置为训练模式,启用 BatchNorm 和 Dropout 等训练专用层model.train()# 初始化当前轮次的总损失为0train_loss = 0# 遍历训练数据加载器,获取每个批次的数据和对应标签for data, label in train_loader:# 将输入数据和标签移动到GPU上进行加速计算data, label = data.cuda(), label.cuda()# 清空优化器中上一步的梯度信息,避免梯度累积optimizer.zero_grad()# 前向传播:将数据输入模型,得到输出结果output = model(data)# 计算当前批次输出与真实标签之间的损失值loss = criterion(output, label)# 反向传播:计算梯度loss.backward()# 更新模型参数optimizer.step()# 累加当前批次的损失值(乘以样本数量,用于后续计算平均损失)train_loss += loss.item() * data.size(0)# 计算整个训练集上的平均损失train_loss = train_loss / len(train_loader.dataset)# 打印当前轮次和训练损失,保留6位小数print('Epoch: {} \tTraining Loss: {:.6f}'.format(epoch, train_loss))

3.2.验证

对应的,一个完整图像分类的验证过程如下所示:

def val(epoch):       # 将模型设置为评估模式(关闭 Dropout、BatchNorm 等的训练行为)model.eval()# 初始化验证阶段的总损失为 0val_loss = 0# 使用 torch.no_grad() 上下文管理器,禁用梯度计算,节省内存并加快推理速度with torch.no_grad():# 遍历验证数据加载器(val_loader),获取每个批次的数据和标签for data, label in val_loader:# 将输入数据和标签移动到 GPU 上(如果可用)data, label = data.cuda(), label.cuda()# 将数据输入模型,得到输出(通常是类别 logits)output = model(data)# 对输出取每一行最大值的索引,得到预测的类别标签preds = torch.argmax(output, 1)# 计算当前批次的损失值loss = criterion(output, label)# 累加当前批次的损失值(乘以该批次样本数量,用于后续计算平均损失)val_loss += loss.item() * data.size(0)# 累加正确预测的数量(注意:这里变量 running_accu 未定义,应为错误!)# 正确写法应是先定义 running_accu = 0,或使用其他变量如 running_correctsrunning_accu += torch.sum(preds == label.data)# 计算整个验证集上的平均损失:总损失 / 验证集样本总数val_loss = val_loss / len(val_loader.dataset)# 打印当前 epoch 的验证损失(注意:这里写的是 "Training Loss",应为笔误)# 建议改为 "Validation Loss"print('Epoch: {} \tTraining Loss: {:.6f}'.format(epoch, val_loss))

对于图像分类任务,我们还可以使用sklearn.metrics中的classification_report函数来计算模型的准确率、召回率、F1值等指标,如下所示:

from sklearn.metrics import classification_report
"""
将下方代码的labels和preds替换为模型预测出来的所有label和preds,
target_names替换为类别名称,
既可得到模型的分类报告
"""
print(classification_report(labels.cpu(), preds.cpu(), target_names=class_names))

除此之外,我们还可以使用torchevaltorchmetric来对模型进行评估。

4.优化算法

深度学习的目标是通过不断改变网络参数,使得参数能够对输入做各种非线性变换拟合输出,本质上就是一个函数去寻找最优解,只不过这个最优解是一个矩阵,而如何快速求得这个最优解是深度学习研究的一个重点,以经典的resnet-50为例,它大约有2000万个系数需要进行计算,那么我们如何计算出这么多系数,有以下两种方法:

  1. 第一种是直接暴力穷举一遍参数,这种方法从理论上行得通,但是实施上可能性基本为0,因为参数量过于庞大。

  2. 为了使求解参数过程更快,人们提出了第二种办法,即BP+优化器逼近求解。

因此,优化器是根据网络反向传播的梯度信息来更新网络的参数,以起到降低loss函数计算值,使得模型输出更加接近真实标签。

经过本节的学习,你将收获:

  • 了解PyTorch的优化器

  • 学会使用PyTorch提供的优化器进行优化

  • 优化器的属性和构造

  • 优化器的对比

也就是找到损失最小,准确率最高,一般都是前向传播+反向传播+优化算法

PyTorch很人性化的给我们提供了一个优化器的库torch.optim,在这里面提供了多种优化器。

  • torch.optim.SGD

  • torch.optim.ASGD

  • torch.optim.Adadelta

  • torch.optim.Adagrad

  • torch.optim.Adam

  • torch.optim.AdamW

  • torch.optim.Adamax

  • torch.optim.RAdam

  • torch.optim.NAdam

  • torch.optim.SparseAdam

  • torch.optim.LBFGS

  • torch.optim.RMSprop

  • torch.optim.Rprop

以上这些优化算法均继承于Optimizer,下面我们先来看下所有优化器的基类Optimizer。定义如下:

class Optimizer(object):def __init__(self, params, defaults):        self.defaults = defaultsself.state = defaultdict(dict)self.param_groups = []

4.1.Optimizer属性

名称类型描述
param_groupslist of dict存储优化器管理的参数组列表。每个参数组是一个字典,包含 'params'(参数列表)和其他超参数(如 lrmomentum 等)。这是与参数交互的核心结构。
statedict存储每个参数的状态信息(如动量缓冲区、历史梯度等)。键通常是参数对象(Parameter),值是包含状态张量的字典。不同优化器(如 Adam、SGD)在此存储不同的状态变量。
defaultsdict

存储优化器的默认超参数。在初始化参数组时,未指定的超参数会从 defaults 中获取。

{'lr': 0.1, 'momentum': 0.9, 'dampening': 0, 'weight_decay': 0, 'nesterov': False}

4.2.Optimizer方法

__init__(self, params, defaults)构造函数初始化优化器。输入 params(可迭代的 Parameter 对象或参数组),并设置 defaults。负责构建 param_groups 和初始化 state
zero_grad(set_to_none=False)方法将所有被管理参数的梯度置零。set_to_none=True 时将 grad 属性设为 None(节省内存,推荐使用)。
step(closure=None)抽象方法核心优化步骤。执行一次参数更新。closure 是一个可选的无参函数,用于重新计算损失(在需要重新前向传播的场景,如 L-BFGS 中使用)。子类必须实现此方法。
add_param_group(param_group)方法向优化器动态添加一个新的参数组 param_group(字典,包含 'params' 和超参数)。用于在训练中为新层或不同超参数的层添加优化。
state_dict()方法返回优化器的状态字典,包含 state 和 param_groups。用于保存优化器状态(如检查点)。
load_state_dict(state_dict)方法从 state_dict() 返回的字典加载优化器状态。确保模型结构和参数未改变,否则可能出错。

其他方法:

__getstate__()魔法方法定义对象被 pickle 序列化时的行为。通常用于支持 torch.save
__setstate__(state)魔法方法定义对象被 pickle 反序列化时的行为。通常用于支持 torch.load
__repr__()魔法方法返回优化器的字符串表示,便于调试和打印。
share_memory()方法(较少使用)将优化器状态张量移动到共享内存,支持多进程训练。
__class____dict__ 等内置属性Python 对象的标准属性,用于反射和元编程。
import os
import torch# 设置权重:创建一个 2x2 的张量,从标准正态分布中采样,并开启梯度追踪
weight = torch.randn((2, 2), requires_grad=True)# 手动设置梯度:将 weight 的梯度设为全 1 的 2x2 矩阵
weight.grad = torch.ones((2, 2))# 输出更新前的权重数据和梯度
print("更新前的权重数据(weight.data):\n{}".format(weight.data))
print("当前梯度(weight.grad):\n{}".format(weight.grad))# 实例化 SGD 优化器
# 传入参数列表 [weight],设置学习率 lr=0.1,动量 momentum=0.9
optimizer = torch.optim.SGD([weight], lr=0.1, momentum=0.9)# 执行一步优化:根据当前梯度和动量更新参数
optimizer.step()# 查看执行 step 后的权重数据和梯度(注意:step 不会清空 grad)
print("执行 optimizer.step() 后的权重数据(weight.data):\n{}".format(weight.data))
print("梯度仍未清零(weight.grad):\n{}".format(weight.grad))# 清零梯度:将所有被优化器管理的参数的梯度置为零(或 None)
optimizer.zero_grad()# 检查梯度是否已清零
print("执行 optimizer.zero_grad() 后的梯度(应为全 0):\n{}".format(weight.grad))# 输出优化器的参数组信息(param_groups)
# 包含学习率、动量等超参数及参数列表
print("optimizer.param_groups 是:\n{}".format(optimizer.param_groups))# 检查 weight 是否是同一个对象(通过内存地址 id 判断)
# 输出优化器内部保存的参数与原始 weight 的内存地址
print("优化器中的 weight 地址: {}".format(id(optimizer.param_groups[0]['params'][0])))
print("外部定义的 weight 地址: {}".format(id(weight)))
print("两者是否为同一对象: {}".format(id(optimizer.param_groups[0]['params'][0]) == id(weight)))
print("说明:优化器直接引用原始参数,而非复制,因此共享同一内存对象。\n")# 新增第二个参数 weight2
weight2 = torch.randn((3, 3), requires_grad=True)# 向优化器动态添加新的参数组
# 设置该组的学习率更低(lr=0.0001),并启用 Nesterov 动量
optimizer.add_param_group({"params": weight2, 'lr': 0.0001, 'nesterov': True})# 查看添加新参数后的 param_groups
print("添加 weight2 后的 optimizer.param_groups 是:\n{}".format(optimizer.param_groups))# 获取优化器当前的状态字典(包含 param_groups 和 state)
opt_state_dict = optimizer.state_dict()
print("调用 step 前的 state_dict:\n", opt_state_dict)# 连续执行 50 次优化步骤(模拟训练过程)
# 注意:由于没有真实损失函数和反向传播,梯度仍保持为初始值或未更新
# 实际中应在每次 step 前进行 loss.backward() 和 zero_grad()
for _ in range(50):optimizer.step()# 查看多次更新后的状态字典(动量状态已被累积更新)
print("执行 50 次 step 后的 state_dict:\n", optimizer.state_dict())# 保存优化器状态到本地文件
save_path = os.path.join(r"D:\pythonProject\深度学习\pytorch\基础学习\优化器", "optimizer_state_dict.pkl")
torch.save(optimizer.state_dict(), save_path)
print("✅ 优化器状态已保存至:", save_path)# 加载之前保存的优化器状态
loaded_state_dict = torch.load(save_path)
optimizer.load_state_dict(loaded_state_dict)
print("✅ 成功加载优化器状态")
print("加载的状态字典内容:\n", loaded_state_dict)# 最后输出优化器的关键属性信息# defaults: 优化器的默认超参数配置
print("\n--- optimizer.defaults(默认超参数)---")
print(optimizer.defaults)# state: 存储每个参数的优化状态(如动量缓冲区)
print("\n--- optimizer.state(参数状态缓存)---")
print(optimizer.state)
# 提示:state 的键是参数对象,值是状态字典(如 'momentum_buffer')# param_groups: 当前所有参数组的配置
print("\n--- optimizer.param_groups(参数组配置)---")
print(optimizer.param_groups)print("\n🎉 程序执行完毕")

http://www.dtcms.com/a/456748.html

相关文章:

  • [C++] --- 常用设计模式
  • vite 怎么阻止某一页面的热更新
  • 邯郸网站设计做网站的一般尺寸
  • 【Linux系列】并发世界的基石:透彻理解 Linux 进程 — 进程优先级切换调度
  • 上海做网站技术做海报找素材网站
  • 全志 H3 armbian 备份
  • 【AI论文】DeepSearch:借助蒙特卡洛树搜索,以可验证奖励突破强化学习的瓶颈
  • 汽车信息安全新国标落地指南:GB 44496-2024测试验收实践
  • php网站怎么注入做网站都有备案吗
  • 大兴网站建设多少钱怎么建个网站
  • Java 大视界 -- Java 大数据机器学习模型在电商供应链库存协同管理与成本控制中的应用(421)
  • 【调研】加密货币/BTC/区块链的发展历史(2025)
  • 个人用云计算学习笔记 --20 (Nginx 服务器)
  • 【密码学实战】openHiTLS passwd命令行:专业密码哈希生成工具
  • form-data与x-www-form-urlencoded
  • 黑龙江省建设网官方网站中卫市平面设计培训学校
  • 《投资-105》价值投资者的认知升级与交易规则重构 - 如何从投资的角度看一下创业公司是否能够加入?你不是在找一份工作,你是在选择下一个5年的人生资产。
  • 前端梳理体系从常问问题去完善-框架篇(react生态)
  • 基于单片机的双档输出数字直流电压源设计
  • FastDDS
  • leetcode LCR.衣橱整理
  • 基于单片机的自动存包柜设计
  • 竞价关键词排名软件保山网站建设优化
  • 电力市场学习笔记(1):什么是电力现货交易
  • 单例模式:原理、实现与演进
  • 用AI帮忙,开发刷题小程序:微信小程序中实现Markdown图片解析与渲染功能详解
  • 天津魔方网站建设WordPress模板转换typecho
  • 小工具大体验:rlwrap加持下的Oracle/MySQL/SQL Server命令行交互
  • AI智能体的未来:从语言泛化到交互革命
  • 云计算划分标准与Kubernetes NetworkPolicy深度解析