当前位置: 首页 > news >正文

AI学习日记——神经网络参数的更新

目录

一、参数更新与SGD的局限性

1. 神经网络最优化问题的挑战

2. SGD方法及其实现

3. SGD的缺点分析

二、改进的优化算法

1. Momentum方法

2. AdaGrad方法

3. Adam方法

三、优化算法比较与实践

1. 四种方法可视化对比

2. 算法选择建议

总结


一、参数更新与SGD的局限性

1. 神经网络最优化问题的挑战

        神经网络的学习本质上是寻找使损失函数最小化的参数过程,这被称为最优化问题。然而,神经网络的最优化面临两大挑战:

  • 参数空间复杂:无法通过解析方法直接求得最优解

  • 参数数量庞大:深度网络中的参数可达数百万甚至数十亿

探险家比喻:寻找最优参数就像蒙眼探险家在广阔地形中寻找最深山谷,只能依靠脚下坡度(梯度)作为唯一线索。

2. SGD方法及其实现

随机梯度下降法(SGD)是最基础的优化方法,在《AI学习日记——线性回归》中有详细介绍:

数学表达式

代码实现

class SGD:
    def __init__(self, lr=0.01):        #一般情况下固定为0.01或0.001
        self.lr = lr                          # 学习率
    
    def update(self, params, grads):
        for key in params.keys():
            params[key] -= self.lr * grads[key]

使用示例

network = TwoLayerNet(...)
optimizer = SGD(lr=0.01)

for i in range(10000):
    x_batch, t_batch = get_mini_batch(...)          
    grads = network.gradient(x_batch, t_batch)  
    optimizer.update(network.params, grads)  # 更新参数

实例化optimizer负责完成参数更新,只需要将参数和梯度的信息传给optimizer。

3. SGD的缺点分析

SGD在处理非均向函数(多变量时【不同方向/不同变量】上的“坡度”不同)时效率低下:

  • 呈"之"字形移动路径,搜索效率低

  • 梯度方向并不总指向最小值方向

  • 对所有变量使用相同的学习率

二、改进的优化算法

1. Momentum方法

        Momentum模拟了物理学中的动量概念,使优化过程像小球在斜面上滚动。让每个点加上上一个点的更新方向向量,模拟惯性。

数学原理

Python实现

class Momentum:
    def __init__(self, lr=0.01, momentum=0.9):
        self.lr = lr
        self.momentum = momentum                #惯性学习率
        self.v = None                  # 保存的上一个点的更新方向
    
    def update(self, params, grads):
        if self.v is None:
            self.v = {}
            for key, val in params.items():
                self.v[key] = np.zeros_like(val)
        
        for key in params.keys():
            self.v[key] = self.momentum * self.v[key] - self.lr * grads[key]
            params[key] += self.v[key]

优势

  • 抑制"之"字形振荡

  • 在梯度方向一致的维度上加速

  • 在梯度方向变化的维度上减速

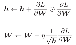
2. AdaGrad方法

        AdaGrad为每个参数自适应地调整学习率a。除以h:以前的所有梯度值的平方和 开根,用来判断此前移动幅度大小。更新幅度大,学习率下降大;更新幅度小,学习率下降的小。

数学原理

Python实现

class AdaGrad:
    def __init__(self, lr=0.01):
        self.lr = lr
        self.h = None                  # 梯度平方和累积
    
    def update(self, params, grads):
        if self.h is None:
            self.h = {}
            for key, val in params.items():
                self.h[key] = np.zeros_like(val)
        
        for key in params.keys():
            self.h[key] += grads[key] * grads[key]
            params[key] -= self.lr * grads[key] / (np.sqrt(self.h[key]) + 1e-7)         #防止梯度为0

特点

  • 频繁更新的参数学习率变小

  • 稀疏更新的参数学习率保持较大

  • 自动进行学习率衰减

局限性

  • 学习过程中更新量会越来越小

  • 可能过早停止学习(可通过RMSProp改进)

3. Adam方法

        Adam结合了Momentum和AdaGrad的优点,是当前最流行的优化算法。

核心思想

  • 使用动量项加速收敛

  • 自适应调整每个参数的学习率

  • 包含偏置校正机制

Python实现

非常复杂,这里不展示update细节,宏观理解即可,包含一阶矩估计,二阶矩估计偏执矫正的思想。

class Adam:
    def __init__(self, lr=0.001, beta1=0.9, beta2=0.999):
        self.lr = lr
        self.beta1 = beta1                  # 一次momentum系数
        self.beta2 = beta2                  # 二次momentum系数
        self.iter = 0
        self.m = None                        # 一次momentum
        self.v = None                         # 二次momentum
    
    def update(self, params, grads):
        # 具体实现包含偏置校正等细节
        # ...

        

超参数设置

  • 学习率α:通常设为0.001

  • β1:0.9(一次momentum系数)

  • β2:0.999(二次momentum系数)

三、优化算法比较与实践

1. 四种方法可视化对比

        在测试函数 f(x, y) = (1/20)x² + y² 上的表现:

2. 算法选择建议

  • 首选Adam:在大多数情况下表现良好

  • 备用SGD:当Adam效果不佳时尝试

  • 学习率调整:Adam的默认学习率0.001通常效果很好

  • 批量大小:与优化算法配合调整


总结

        本文介绍了神经网络优化的主要方法及其改进。首先分析了SGD的局限性,包括效率低下和单一学习率问题。随后详细介绍了三种改进算法:Momentum(模拟物理动量)、AdaGrad(自适应学习率)和Adam(结合两者优势)。通过可视化对比,Adam在多数情况下表现最优,建议作为首选算法,同时保留SGD作为备选方案。实践时需注意学习率和批量大小的调整。

http://www.dtcms.com/a/450132.html

相关文章:

  • Java进阶教程,全面剖析Java多线程编程,多线程和堆内存栈内存的关系,笔记20
  • 建设春风摩托车官方网站百度站长论坛
  • 长春企业网站建设公司建设银行广州招聘网站
  • 网站 开发 周期定制app开发软件
  • 怎么做网站 ppt货代网站制作
  • 2025-10-06 Python不基础12——class原理
  • 龙泉驿建设局网站谷歌seo是什么职业
  • 从东方仙盟筑基期看 JavaScript 动态生成图片技术-东方仙盟
  • 怎么做电脑网站后台谷歌seo推广服务
  • 【笔记】2.1.1.1 电化学定义与组件特征
  • ISO 11452系列子标准介绍 道路车辆窄带辐射电磁能电干扰的部件试验方
  • 南宁网站制作工具山东建设厅执业资格注册中心网站
  • WebStorm对个人免费开放
  • 免费1级做爰片在线观看网站wordpress QQ登录注册
  • Git仓库Python文件Pylint静态分析
  • 青岛网站建设网站设计游乐网站设计
  • 盘锦网站开发推荐几个做网站比较好的公司
  • 10.6 作业
  • Dnsmasq 详细介绍与应用指南
  • MinIO 控制台功能减少使用mc操作
  • 【多线程-进阶】常⻅的锁策略
  • 通过类比理解TCP\IP五层协议
  • R脚本--PCA分析系列1_v1.0
  • 大模型面试题剖析:深入解析 Transformer 与 MoE 架构
  • wordpress首页没有显示文章图片绵阳网站建设优化
  • VR大空间资料 04 —— VRAF使用体验和源码分析
  • LabVIEW定时循环中止功能
  • 南昌中企动力做的网站怎么样宁波妇科
  • Async++ 源码分析10--ref_count.h
  • 单页面竞价网站网站+建设设计