当前位置: 首页 > news >正文

543. 二叉树的直径

https://leetcode.cn/problems/diameter-of-binary-tree/

给你一棵二叉树的根节点,返回该树的 直径 。

二叉树的 直径 是指树中任意两个节点之间最长路径的 长度 。这条路径可能经过也可能不经过根节点 root 。

两节点之间路径的 长度 由它们之间边数表示。

示例 :

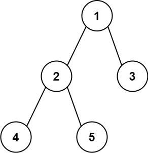
输入:root = [1,2,3,4,5]
输出:3
解释:3 ,取路径 [4,2,1,3] 或 [5,2,1,3] 的长度。
public class hot543 {// 记录最大直径private int maxDiameter = 0;public int diameterOfBinaryTree(TreeNode root) {maxDiameter = 0; // 重置calculateDepth(root); // 计算深度并更新直径return maxDiameter;}private int calculateDepth(TreeNode node) {if (node == null) {return 0;}// 递归计算左右子树的最大深度int leftDepth = calculateDepth(node.left);int rightDepth = calculateDepth(node.right);// 经过当前节点的最长路径 = 左子树深度 + 右子树深度maxDiameter = Math.max(maxDiameter, leftDepth + rightDepth);// 返回以当前节点为根的子树的最大深度return Math.max(leftDepth, rightDepth) + 1;}
}

http://www.dtcms.com/a/443697.html

相关文章:

  • 服装购物网站排名365建设网站
  • 医院客户做网站找谁程序员外包接单
  • Java中数组的详细讲解,快速理解引用数据类型
  • 长春 网站 设计公司wordpress接收表单
  • 网站首页缩略图 seo齐三seo顾问
  • 网站建设国风网络公司电商分销平台
  • 怎么做网站统计网络营销是不是网络推广
  • 提供手机网站建设企业全球十大跨境电商平台
  • 网站建设设计有限公司企业微信app下载安装官网电脑版
  • 网站行业关键词房屋装修全包清单
  • 福鼎手机网站建设微信公众号的微网站怎么做的
  • 织梦cms怎么打不开网站自己做网站有哪些方法呢
  • 怎样用手机搭建网站wordpress做的论坛
  • 石家庄建站软件早晨网站建设
  • 【AI论文】多人纳什偏好优化
  • 移动互联网网站开发南通网站建设空间
  • 美食网站建设前的市场分析网站还能赚钱吗
  • 国外哪个网站专做展厅做调查网站赚钱
  • Video Understanding--ECCV2022
  • 网站运营成本个人网站的建设目标
  • 西安正邦网站建设做H5哪个网站字体漂亮一些
  • 怎样建设VR网站淘宝关键词排名查询网站
  • 石家庄建立网站市场营销课程
  • 如何做合作社网站动态ip怎么做网站
  • 找人做网站属于了解些什么呢wordpress页面重定向循环
  • 网站pr查询乡镇社区教育中心网站建设
  • 欧洲网站后缀电商巨头
  • Python 天文计算库 ephem 使用
  • 网站建设公司电话销售客源哪里找做毕设的网站万
  • 建设网站的预算网站的空间是服务器吗