当前位置: 首页 > news >正文

小杰深度学习(four)——神经网络可解释性、欠拟合、过拟合

神经网络可解释性与欠拟合

1.1 神经网络的可解释性

神经网络的可解释性是指神经网络中每个决策或预测的可解释性。神经网络是一种黑箱模型,其决策或预测的结果往往难以解释。因此,可解释性是神经网络中的一个重要问题,它有助于助理解神经网络的行为,发现网络中的问题,并提高网络的可靠性和可信度。

通过可解释性分析,可以更好地理解神经网络的行为,发现网络中的问题,改进网络的性能和可靠性。同时,可解释性分析还可以帮助建立用户可信的神经网络系统,提高用户对系统的信任度。

提升神经网络可解释性的常用方法:

  • 全连接层:在输出层前添加,辅助解析决策逻辑。
  • Dropout 层:随机失活神经元抑制过拟合,间接增强可解释性。
  • 归一化层:标准化输入分布,缓解梯度消失并提升特征可解释性。
  • 注意力机制:聚焦关键特征,直观展现输入与预测的关联权重。

神经网络的可解释性对其应用至关重要,只有具备可解释性,才能增强人们对预测结果的信任并推动实际应用。

1.2 欠拟合的概念

欠拟合指模型在训练集上未能有效拟合数据,无法捕捉复杂关系与模式,导致训练误差和测试误差均较高。

造成欠拟合的常见原因:

  1. 数据量不足:训练数据匮乏,模型无法学习到足够特征与模式,导致预测误差大。
  2. 模型复杂度低:模型过于简单(如用线性模型拟合非线性数据),无法捕捉数据中的复杂关系。
  3. 正则化过度:强正则化迫使模型参数趋近于零,过度简化模型,忽略重要特征。

例子

模型因学习特征不足导致识别结果不准确,是欠拟合的典型表现,如下图所示:

欠拟合较易解决:项目中若出现欠拟合,可通过增加数据量(如数据增强)或采用更复杂模型(如换用深层网络)改善,核心问题是模型复杂度不足或数据信息有限。

1.3 散点输入

本实验中提供了一些散点,其分布如下图所示:

现在需要根据这些散点来拟合一条曲线来将这些点分类。

可以看到,这个神经网络其实还不是很复杂,当“隐藏层节点数量”选择“3”或“4”时,其网络结构如下图所示:

隐藏层节点数量=3

隐藏层节点数量=4

可以看到,隐藏层节点的数量越多,网络结构越复杂,其计算量也越加的复杂。

1.5 定义损失函数和优化器

前向模型定义完成后,就需要定义反向传播过程所用到的一些超参数了,在“定义损失函数和优化器”组件中,使用交叉熵损失函数。除此之外,可以自己选择学习率与优化器,优化器给出了两个选项,分别为SGD(随机梯度下降)和Adam,如下图所示:

1.6 开始迭代

通过“开始迭代”组件,设置模型的训练次数。

1.7 显示频率设置

为了能够更好的观察迭代过程中的现象,可以通过“显示频率设置”组件来设置每隔多少次显示一次当前的曲线拟合状态。

1.8 拟合线显示与输出

通过“拟合线显示与输出”组件,就可以观察到迭代过程中曲线的拟合状态了。

其中,参数的值会随着不断的迭代而实时更新,左边的图也是根据参数值而实时绘制的,右边的图则是以迭代次数为横坐标、损失值为纵坐标绘制的损失图。

1.9 试错

当定义前向模型中的隐藏层节点是2时,会发现永远无法形成拟合的边界,原因是一个节点对应着一条直线的w和b,两个节点只有两条直线,两条直线并不能形成闭合边界,所以最少需要三个节点才可以实现分类边界。

代码

神经网络可解释性和欠拟合有图

#神经网络可解释性和欠拟合
import numpy as np
import  torch
import  torch.nn as nn
import torch.optim as optim
import matplotlib.pyplot as plt
# 1.散点输入
class1_points = np.array([[-2.8, 0.1], [0.4, 2.8], [-0.1, 1.9], [-2.0, 1.5], [-0.4, 0.4], [2.1, -0.0],[-0.8, 0.6], [0.4, -2.5], [0.1, -2.0], [-0.6, 1.6], [-1.5, 2.1], [-0.9, 1.2],[1.3, 1.7], [0.2, -0.0], [0.2, -0.1], [-2.1, -0.8], [-0.7, 1.6], [1.4, -1.2],[-0.8, -1.6], [-1.3, 1.1], [-1.2, -0.1], [-2.9, -0.4], [2.4, -1.2], [-2.7, -1.3],[-1.1, -1.9], [1.4, 0.5], [-1.0, 1.8], [2.2, 0.8], [0.9, 1.9], [1.8, -0.9],[1.4, -0.6], [-0.2, -0.7], [-0.3, -2.4], [-1.5, 0.4], [1.2, -0.5], [-1.8, 1.2],[-0.8, -1.7], [-1.7, -2.3], [-0.6, -0.4], [0.3, 1.8], [-0.9, -1.9], [1.6, -1.6],[0.8, -2.6], [-2.6, 1.2], [1.8, -1.0], [0.2, -0.9], [-0.4, -2.5], [1.5, 1.5],[2.2, -1.3], [-1.4, 1.2], [-0.4, 1.3], [-1.3, -1.2], [-2.2, 0.4], [-0.1, 2.9],[1.5, -2.4], [1.1, 2.3], [0.4, 2.8], [-0.8, -1.2], [-2.7, 0.4], [2.3, 1.1],[0.9, 1.0], [0.9, 0.7], [-1.8, 0.3], [-1.7, -0.4], [1.0, -0.3], [-1.1, -0.6],[-2.4, -0.4], [2.6, -1.4], [1.3, -0.7], [-0.0, 1.0], [-1.1, -2.4], [2.0, -0.5],[0.3, 2.3], [-0.6, -2.8], [0.6, -1.8], [0.9, -0.4], [1.0, -1.3], [-0.4, 0.2],[2.3, 0.1], [2.2, 0.5], [2.5, 0.2], [-2.1, -1.3], [-1.1, 1.0], [1.7, 1.5],[0.9, -1.0], [1.1, -2.2], [-0.2, -2.4], [0.7, -1.1], [-0.4, 0.3], [-0.0, -2.6],[-0.3, -0.1], [-1.8, -1.6], [-0.8, 2.5], [-1.9, -1.4], [-2.5, 1.2], [-2.3, -0.6],[-1.6, 0.1], [-1.9, 0.0], [1.1, -0.6], [-0.2, 2.7]])
class2_points = np.array([[5.1, 1.6], [-5.1, 1.2], [-4.6, 3.0], [-5.7, 0.5], [5.4, 2.5], [-4.5, -2.5],[4.9, -0.4], [1.4, 5.5], [1.4, 5.7], [4.2, -1.0], [-1.3, -4.8], [-4.4, -2.9],[-3.6, 3.4], [-3.4, -4.1], [-5.8, -0.1], [4.7, 3.0], [-1.4, 4.4], [2.5, -4.7],[2.7, 5.3], [4.1, -2.8], [-4.0, -2.5], [5.0, 0.5], [-4.0, 4.3], [5.0, 1.3],[3.3, 3.4], [2.2, 4.6], [2.8, 4.8], [4.0, -3.5], [4.6, -3.1], [0.5, 5.5],[-4.7, 3.1], [-5.7, 1.0], [2.8, -5.1], [-1.3, 4.9], [2.7, 5.2], [-4.9, 1.3],[4.1, -2.9], [-4.9, -3.3], [-4.6, 2.8], [-4.6, 3.1], [-1.8, 4.8], [-2.4, 5.3],[-5.2, 3.0], [-3.7, -4.4], [1.5, -5.0], [4.8, 1.1], [-0.6, -5.8], [0.7, -4.9],[0.2, 5.7], [5.8, -0.5], [-2.0, -4.0], [3.9, -3.1], [0.2, 5.1], [4.5, 1.5],[-1.4, -5.3], [5.0, -1.4], [5.1, 0.7], [5.0, -3.0], [-0.7, -5.1], [5.2, -1.5],[-0.7, 4.5], [2.1, 3.9], [-2.4, 5.0], [-0.8, 4.9], [-5.1, 0.3], [3.3, 3.6],[-0.4, -5.1], [3.8, 4.6], [-5.3, -2.5], [-5.5, -1.2], [0.6, 5.5], [-5.8, 0.8],[-5.3, 1.2], [2.0, -5.5], [5.7, 0.7], [-1.1, -4.7], [-0.0, 5.7], [-3.0, -4.8],[-3.5, -4.0], [4.9, 1.8], [-1.1, -5.5], [-2.7, 4.2], [-4.9, -1.6], [-0.2, -5.2],[2.5, 5.1], [-0.0, 5.4], [3.9, 4.4], [3.5, 4.8], [4.8, -1.9], [5.4, -1.0],[3.7, 4.6], [1.8, 5.2], [4.7, 3.4], [4.1, 2.3], [0.6, -5.4], [1.4, 5.5],[-5.5, 1.3], [4.2, 2.5], [-2.2, 3.9], [5.9, -0.4]])
#连接起来
points=np.concatenate((class1_points,class2_points),axis=0)
labels=np.concatenate((np.ones(len(class1_points)),np.zeros(len(class2_points))))
#2.定义模型
class Model(nn.Module):def __init__(self):super(Model,self).__init__()self.layer1=nn.Linear(2,4)self.layer2=nn.Linear(4,2)def forward(self,x):x=torch.sigmoid(self.layer1(x))x=self.layer2(x)return x
#7创建网格点 画等高线
xx,yy=np.meshgrid(np.linspace(-6.5,6.5,100),np.linspace(-6.5,6.5,100))
grid_points=np.c_[xx.ravel(),yy.ravel()]
#初始化模型
model=Model()
#3.定义优化器与损失函数
#定义学习率
lr=0.05
#定义损失函数(交叉熵)
cri=nn.CrossEntropyLoss()
#定义优化器
optimizer=optim.Adam(model.parameters(),lr=lr)
#4.迭代
epoches=1000
for epoch in range(1,epoches+1):#将numpy转化成tensorinput_data=torch.tensor(points,dtype=torch.float32)label_data=torch.tensor(labels,dtype=torch.long)#前向传播output=model(input_data)#计算损失loss=cri(output,label_data)#反向传播与优化#梯度清空optimizer.zero_grad()#计算梯度loss.backward()optimizer.step()print(loss.detach().cpu().item())# 5.显示频率设置if epoch == 1 or epoch % 20 == 0:print(f"epoch:{epoch},loss:{loss}")# 进行预测网格点grid_points_tensor = torch.tensor(grid_points, dtype=torch.float32)pre_result = model(grid_points_tensor).detach().numpy()# 获取其中的一类one_lables_prob = pre_result[:, 1].reshape(xx.shape)plt.cla()plt.scatter(class1_points[:, 0], class1_points[:, 1], c='r')plt.scatter(class2_points[:, 0], class2_points[:, 1], c='b')plt.contour(xx, yy, one_lables_prob, levels=[0.5])plt.pause(1)print('s')# 6.绘图
plt.show()

神经网络的过拟合

1. 原理

1.1 过拟合的概念

过拟合是指模型过于复杂,即模型对训练数据的拟合能力过强,导致模型在训练数据上的表现很好,但在测试数据上的表现较差

例如下图,模型训练中过拟合与提前停止策略的示意图

横轴是训练迭代次数(模型学习数据的轮次),纵轴是错误率(预测结果的误差)。

训练集(虚线):迭代越多,模型对训练数据 “学” 得越熟,错误率持续下降(但可能因死记硬背偏离真实规律)。

验证集(实线):前期随训练,错误率同步下降(模型泛化有效);但迭代超临界点后,错误率反弹(模型开始 “死记” 训练集细节,对新数据(验证集)预测变差,即过拟合)。

提前停止:验证集错误率触底反弹前,及时终止训练(虚线标注处),可避免模型过拟合,保留较好泛化能力。

总结,这张图教你 “别让模型学太‘呆’”—— 当验证集效果从变好转向变差时,赶紧停,防止过拟合!

造成过拟合的常见原因:

  1. 数据量不足,模型易过度学习训练数据噪声与细节,致测试表现差。
  2. 模型过复杂,会过度学习训练数据细节、噪声,导致在测试数据上的表现较差。
  3. 正则化强度不足,模型易过度学习训练数据细节、噪声,让测试表现变差(后续章节介绍正则化 )。
  4. 数据量比例不均衡,复杂模型易将少量特例当噪声去除,引发识别偏差,此为 AI 需解决的 “长尾效应”—— 因多数数据常见、少量数据特例占比低,模型学习时易忽视特例,将某些真实存在但出现频率较低的特征,错误地判定为 “不属于目标群体的普遍规律”,进而忽略或排除这些特征的现象 。

下图为有过拟合现象的例子,因模型学习的 “细节” 特征过多,识别新动物时,会因 “细节” 特征不匹配致识别结果不准。

1.2 欠拟合与过拟合的区别

欠拟合因模型学习能力不足,未能捕捉数据复杂关系;

过拟合因模型学习能力过强,过度学习训练数据细节与噪声,导致泛化能力差。

1.3 散点输入

本实验中提供了一些散点,其分布如下图所示:

现在我们需要根据这些散点来拟合一条线。

其中,横坐标为输入特征,纵坐标为预测结果。

1.4 定义前向模型

根据上面的散点我们可以得到:最少可以使用一个来拟合这条线,但是这是提前知道可以使用一个参数w即可实现目的,但是实际上大部分的数据没办法通过绘图将其表示出来,所以就需要随便搭建一个神经网络来拟合这条曲线。在“定义前向模型”组件中,规定好了一个完整的神经网络,如下图所示。

其中包含了一个输入层、三个隐藏层和一个输出层。输入层有一个节点,用来接收输入特征x;这三层隐藏层都用了很多的节点用来计算;最后输出层使用一个节点来输出拟合结果。

1.5 定义损失函数和优化器

前向模型定义完成后,就需要定义反向传播过程所用到的一些超参数了,在“定义损失函数和优化器” 组件中,我们给出了MSE(均方误差损失函数,拟合问题),并且已经选好了优化器为Adam,为了保证能够过拟合,所以学习率也固定为0.005,如下图所示:

1.6 开始迭代

通过“开始迭代”组件,设置模型的训练次数。

1.7 显示频率设置

为了能够更好的观察迭代过程中的现象,可以通过“显示频率设置”组件来设置每隔多少次显示一次当前的曲线拟合状态。

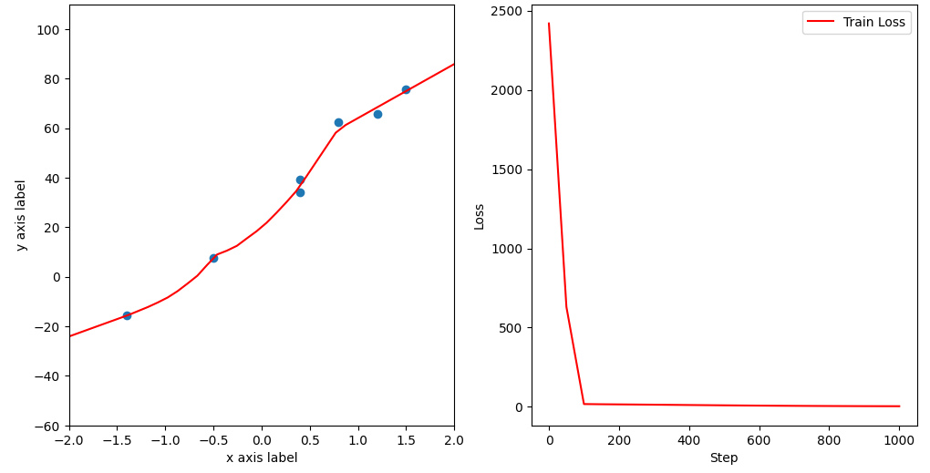
1.8 拟合线显示与输出

通过“拟合线显示与输出”组件,就可以观察到迭代过程中曲线的拟合状态了。

如上图所示,过拟合的状态下,其拟合的曲线想拟合每一个点,这是由于神经网络过度学习了每个点的特征,从而导致拟合的曲线对每个点都非常敏感,影响其拟合的结果。

过拟合的解决方案是比较复杂的,因为正常情况下,欠拟合解决方案比较简单,网络简单,多搞点比较深层次的网络,让网络复杂起来就可以了,数据量太少,多搞点数据。

在过拟合中的数据量太少,多搞点数据,还有一个就是网络太复杂,需要你去弄一个更简单的网络,但是更简单的网络,当网络更简单的时候,代表它的性能不一定是最好的。比如在不断的提出神经网络的时候或者算法的时候,新的算法往往比旧的算法好,不能因为新的算法过拟合,再去使用旧的算法。最优的方式是用新的算法,加一些技巧,让它去拟合你的数据,在你的数据上表现的更好。新的算法不只是网络参数的变多或者层数的变多,它还代表着更加新的技术和更可解释性的一些技巧。

代码

import numpy as np
import torch
import torch.nn as nn
import matplotlib.pyplot as plt# 1.创造数据,数据集
points = np.array([[-0.5, 7.7], [1.2, 65.8], [0.4, 39.2], [-1.4, -15.7],[1.5, 75.6], [0.4, 34.0], [0.8, 62.3]])
# 分离特征和标签
x_train = points[:, 0]
y_train = points[:, 1]# 2.定义前向模型
class Model(nn.Module):#定义初始化def __init__(self):super(Model,self).__init__()self.layer1=nn.Linear(1,2)# self.layer2=nn.Linear(16,32)# self.layer3=nn.Linear(32,16)self.layer4=nn.Linear(2,1)#前向过程def forward(self,x):#线性层后都跟着激活函数,实现非线性化x=torch.tanh(self.layer1(x))# x=torch.relu(self.layer2(x))# x=torch.relu(self.layer3(x))# 最后一层是拟合回归不用激活x=self.layer4(x)return xmodel=Model()# 3.定义损失函数和优化器
#定义学习率
lr=0.05
#定义损失函数,这里是回归问题用mse
cri=torch.nn.MSELoss()
#定义优化器
optimizer=torch.optim.Adam(model.parameters(),lr=lr)#7.画图
fig,(ax1,ax2) =plt.subplots(1,2,figsize=(12,6))
epoch_list=[]
loss_list=[]
# 4.开始迭代
epoches=1000
for epoch in range(1,epoches+1):#数据转化为tensorx_train_tensor=torch.tensor(x_train,dtype=torch.float32).unsqueeze(1)y_train_tensor=torch.tensor(y_train,dtype=torch.float32)#数据输入模型前向传播pre_result=model(x_train_tensor)#计算损失loss=cri(pre_result.squeeze(1),y_train_tensor)loss_list.append(loss.detach().numpy())epoch_list.append(epoch)#优化更新#梯度清零optimizer.zero_grad()#反向传播loss.backward()#参数更新optimizer.step()# 5.显示频率设置if epoch==1 or epoch%20==0:print(f"epoch:{epoch},loss:{loss}")# 6.绘图ax1.cla()ax1.scatter(x_train,y_train)x_range=torch.tensor(np.linspace(-2,2,100),dtype=torch.float32)y_range=model(x_range.unsqueeze(1))ax1.plot(x_range.detach().numpy(),y_range.detach().numpy().squeeze(1))ax2.cla()ax2.plot(epoch_list,loss_list)plt.pause(1)
plt.show()

实验结果为:

http://www.dtcms.com/a/427648.html

相关文章:

  • 【手撕机器学习 03】从“生数据”到“黄金特征”:机器学习项目中价值最高的一步
  • 网站关键字优化教程株洲发布信息网
  • 昆明优化网站公司在与客户谈网页广告时如何让客户相信网站流量
  • UNIX下C语言编程与实践21-UNIX 文件访问权限控制:st_mode 与权限宏的解析与应用
  • 瑞芯微RK35XX系列FFmpeg硬件编解码实测,详细性能对比!
  • php网站后台搭建wordpress购买返现
  • 首架机下线!“四川造”大型载客eVTOL筑低空新里程碑
  • 基于STM32与influxDB的电力监控系统-13
  • 250925-0930技术总结
  • AI 重塑实体经济:从技术落地到价值创造的实践路径
  • 认识软件测试
  • 网站服务器数据库湛江网站建设公司哪个好
  • 动手实现简单Vue.js ,探索Vue原理
  • UNIX下C语言编程与实践18-UNIX 文件存储原理:目录、i 节点、数据块协同存储文件的过程
  • 珠宝怎么做网站wordpress 活动报名插件
  • 除自身以外数组的乘积
  • 爬虫逆向--Day25Day26--原型链补环境
  • 拍拍灯电路(用咪头识别拍拍动作)
  • 极限!ubuntu系统联网
  • 第三章 字典与集合
  • 网站设计的价格沪深300指数基金
  • Java-01-基础篇-JDK日志(JUL)
  • (基于江协科技)51单片机入门:7.LED点阵屏
  • 江协科技 CAN总线入门课程(错误处理)
  • 网站的建设与规划方案企业网站建设要素
  • antdv- Tooltip 文字提示组件
  • 算法题(222):摆花
  • 如何向alexa提交网站wordpress custom login
  • SpringCloud电商微服务项目衣拉客搭建指南
  • dev c++工具下载 dev c++安装包下载 dev c++软件网盘资源分享