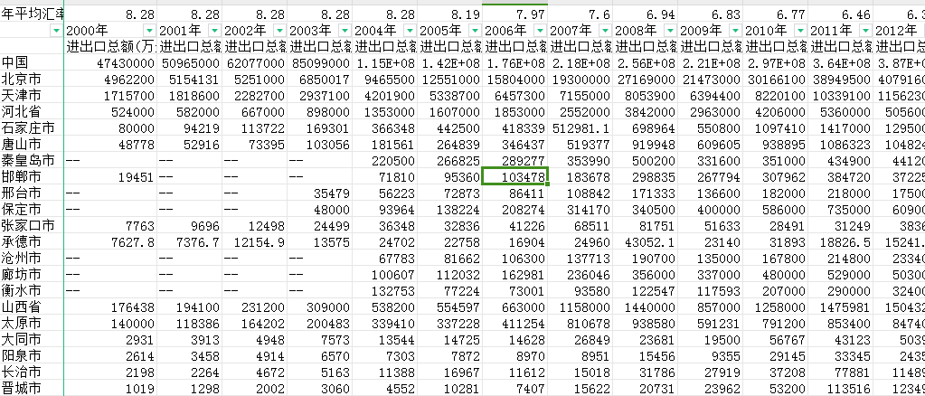
2000-2023年各地级市进出口总额/地级市对外经济贸易数据
2000-2023年各地级市进出口总额/地级市对外经济贸易数据
1、时间:2000-2023年
2、指标:进出口总额
3、单位:万美元
4、来源:城市年鉴、各省年鉴、城市公报、2021、2022、2023年为城市统计年鉴中进口额出口额加总之后换算成万美元
5、范围:300+地级市
6、用途:可用于衡量地级市对外开放度数据
7、指标解释:
进出口总额是指实际进出我国国境的货物总金额。进出口总额用以观察一个国家在对外贸易方面的总规模。
8、缺失情况:具体缺失情况参看下面链接内数据预览,缺失值已标黄:
链接: https://pan.baidu.com/s/1ZAbYkRANcfOTJYO3qSX3NQ
提取码: baxs
9、下载链接:
2000-2023年各地级市进出口总额/地级市对外经济贸易数据
https://download.csdn.net/download/m0_71334485/90873286

