当前位置: 首页 > news >正文

输入一个正整数,将其各位数字倒序输出(如输入123,输出321)

之前的解法:

 这种方法仅支持三位数。

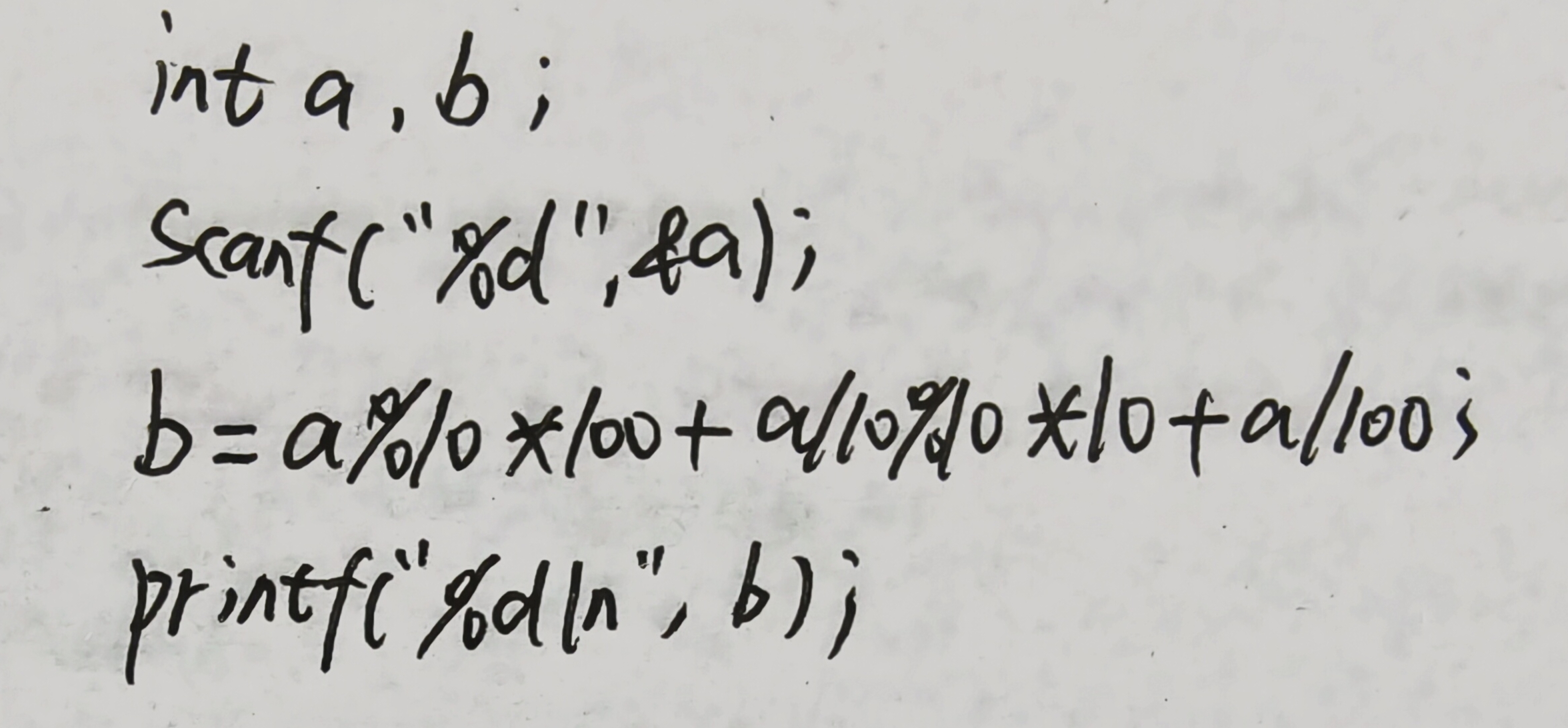
学了while之后,可以利用循环解决。

 这种方法动态构建逆序数,支持任意长度的正整数。

http://www.dtcms.com/a/190778.html

相关文章:

  • 【行为型之模板方法模式】游戏开发实战——Unity标准化流程与可扩展架构的核心实现
  • Prometheus 的介绍与部署(入门)
  • 第二章 变量和运算符
  • git push 报错:send-pack: unexpected disconnect while reading sideband packet
  • c#队列及其操作
  • vscode调试c/c++
  • 在linux中,如何使用malloc()函数向操作系统申请堆内存,使用free()函数释放内存。
  • python打包exe报错:处理文件时错误:Excel xlsx file; not supported
  • Python常见问题
  • 深入理解 Dijkstra 算法:原理、实现与优化
  • openfeign与dubbo调用下载excel实践
  • 如何获得sqoop-1.4.6.2.3.99.0-195.jar
  • 保持视频二维码不变,更新视频的内容
  • GMT之Bash语言使用
  • 濒危仙草的重生叙事:九仙尊米斛花节如何以雅集重构中医药文化IP
  • Qt原型模式实现与应用
  • (4)python开发经验
  • BRPickerView
  • ansible进阶02
  • 鸿蒙OSUniApp 制作动态加载的瀑布流布局#三方框架 #Uniapp
  • 【ios越狱包安装失败?uniapp导出ipa文件如何安装到苹果手机】苹果IOS直接安装IPA文件
  • C++引用编程练习
  • 文件名是 ‪E:\20250512_191204.mp4, EV软件录屏,未保存直接关机损坏, 如何修复?
  • 数据统计分析及可视化
  • 最佳实践PPT | 数据架构设计总体规划方案数据中台架构数据架构图解决方案
  • 如何用Jsoup库提取商品名称和价格?
  • 企业网络新选择:软件定义架构下的MPLS
  • 【PostgreSQL数据分析实战:从数据清洗到可视化全流程】附录-D. 扩展插件列表(PostGIS/PostgREST等)
  • TTS-Web-Vue系列:Vue3实现内嵌iframe文档显示功能
  • idea插件使用