3.5/Q1,GBD数据库最新一区文章解读
文章题目:Global burden of low vision and blindness due to age-related macular degeneration from 1990 to 2021 and projections for 2050
DOI:10.1186/s12889-024-21047-x
中文标题:1990年至2021年因年龄相关性黄斑变性导致的低视力和失明的全球负担以及2050年的预测
发表杂志:BMC Public Health
影响因子:1区,IF=3.5
发表时间:2024年12月
今天给大家分享一篇在2024年12月发表在《BMC Public Health》(1区,IF=3.5)的文章。本研究旨在评估1990年至2021年AMD相关视力低下和失明的全球负担和趋势,并预测了2050年的情况。
研究方法:数据来自2021年全球疾病负担(GBD 2021)研究,涵盖204个国家和地区。每100,000人口计算了针对视力低下和AMD失明的关键指标,包括患病人数、年度伤残调整生命年(DALY)、年龄标准化患病率(ASPR)和年龄标准化DALY率(ASDALYR)。趋势分析使用估计年度百分比变化(EAPC)方法,K均值聚类确定具有相似负担和趋势的区域。自回归综合移动平均线(ARIMA)和指数平滑(ES)模型提供了未来预测。
Table&Figure











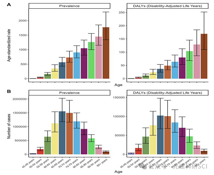
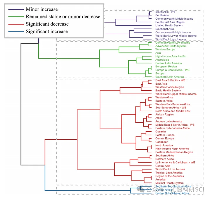
结果解读:全球范围内,患病病例总数和DALY大幅增加。因AMD导致的低视力和失明患病人数从1990年的3,640,180例(95% UI:3,037,098 - 4,353,902例)增加到2021年的8,057,521例(95% UI:6,705,284-9,823,238例)。DALY从1990年的302,902例(95% UI:206,475 - 421,952例)增加到2021年的578,020例(95% UI:401,241-797,570例)。从1990年到2021年,AMD相关低视力和失明的ASPR和ASDALYR均呈下降趋势。每100,000人口的ASPR为94(95% UI:78.32至114.42),EAPC为-0.26(95% CI:-0.31至-0.22),每100,000人口的ASDALYR为6.78(95% UI:4.7至9.32),EAPC为-0.94(95% CI:-1.01至-0.88)。AMD相关低视力与失明的疾病负担随年龄增长而增加,女性患者的负担略高于男性。按社会人口指数(SDI)进行区域分层显示,SDI较低的地区AMD相关低视力与失明的负担高于SDI较高的地区。1990年至2021年,ASPR和ASDALYR显著增加,主要出现在撒哈拉以南非洲的南部和中部地区。此外,患病率和DALY的增加因地区、国家和社会经济发展水平而异。ARIMA模型预测,到2050年,因AMD导致的低视力和失明的患病人数将达到13,880,610(95% CI:9,805,575-17,955,645),DALY将为764,731(95% CI:683,535-845,926)。ES模型预测,到2050年,AMD相关低视力与失明的患病人数将达到9,323,124(95% CI:5,222,474-13,423,774),DALY为641,451(95% CI:383,588-899,318)。
结论:本研究显示,1990年至2021年,全球AMD相关低视力和失明患病人数及导致的DALY在过去30年间呈上升趋势,且与年龄、性别、社会经济地位、地理位置等因素相关。预测模型显示,随着人口老龄化,AMD导致的低视力和失明患者人数及导致的DALY将持续上升。预计到2050年,全球将有超过900万人受到AMD相关视力丧失的影响,其中女性受影响尤为严重。本研究结果可为公共卫生规划、资源配置和医疗政策制定提供数据支持,确保有效应对未来AMD相关低视力和失明增加带来的挑战。
大家在科研路上,可以借鉴这种研究方法,为自己的课题添砖加瓦。万层高楼平底起,一起加油呀!
