5.7/Q1,GBD数据库最新文章解读
 文章题目:Global, regional, and national burden and trends of rheumatoid arthritis among the elderly population: an analysis based on the 2021 Global Burden of Disease study
 文章题目:Global, regional, and national burden and trends of rheumatoid arthritis among the elderly population: an analysis based on the 2021 Global Burden of Disease study
DOI:10.3389/fimmu.2025.1547763
中文标题:全球、区域和国家老年人群类风湿性关节炎的负担和趋势:基于 2021 年全球疾病负担研究的分析
发表杂志:Front Immunol
影响因子:1区,IF=5.7
发表时间:2025年4月
今天给大家分享一篇在2025年4月发表在《Front Immunol》(1区,IF=5.7)的文章。本研究的目的是调查老年人群RA 疾病负担。
研究方法:我们分析了1990-2021 年全球疾病负担 (GBD) 数据库中的老年类风湿性关节炎数据,重点关注三个主要指标:患病率、发病率和残疾调整生命年 (DALY)。百分比变化和估计年度百分比变化 (EAPC) 用于评估疾病负担的趋势。
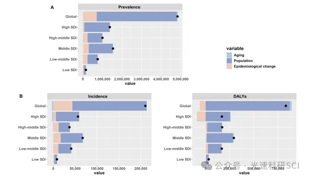
Table&Figure






结果解读:2021 年,全球老年类风湿性关节炎患病率、发病率和 DALY 分别为 7,919,136、334,291 和 1,549,877,与 1990 年相比增加了 157.59%、169.71% 和 116.53%。患病率和发病率均有所增加,EAPC 分别为 0.54 (95% CI: 0.5, 0.58) 和 0.75 (95% CI: 0.7, 0.79)。值得注意的是,女性的患病率是男性的 2.2 倍。DALY 率略有下降。在五个社会人口指数 (SDI) 地区中,高 SDI 地区在 2021 年的患病率、发病率和 DALY 病例数最高,分别为 2,821,305、114,994 和 483,579,占全球总数的 36%、34% 和 32%。该地区还记录了最高的患病率和发病率。相比之下,低 SDI 和中低 SDI 地区在患病率和发病率以及发病率方面都表现出最快的增长。在 65-69 岁年龄组中观察到最高的患病率和发病率。分解分析显示,疾病负担的上升主要归因于全球老年人口的增长。
结论:1990 年至 2021 年间,全球老年人群的类风湿性关节炎负担增加。高 SDI 地区的疾病负担最高。相比之下,低和中低 SDI 地区的疾病负担增长最迅速。与男性相比,女性表现出更高的负担,在 65-69 岁年龄组中观察到的负担最高。老年患者的早期诊断和治疗对于减轻不良结局和减轻负担至关重要。
大家在科研路上,可以借鉴这种研究方法,为自己的课题添砖加瓦。万层高楼平底起,一起加油呀!
