当前位置: 首页 > news >正文

0.1 基础阶段错题汇总


引言

主要用于总结分析基础阶段数学错题,分析题型,总结考点。持续更新


一、高数

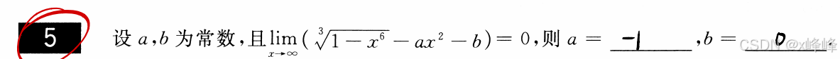
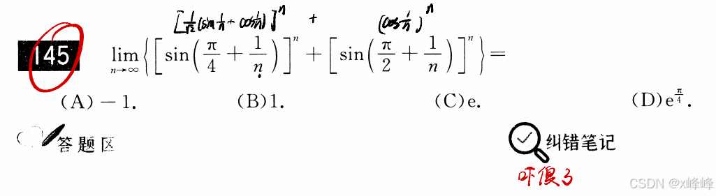
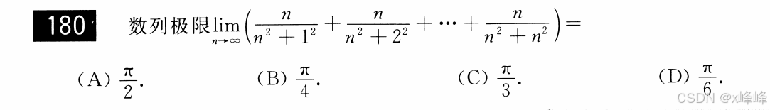
1.1 函数、连续、极限

1 武忠祥 660

在这里插入图片描述
在这里插入图片描述
在这里插入图片描述
在这里插入图片描述
在这里插入图片描述
在这里插入图片描述
在这里插入图片描述
在这里插入图片描述
在这里插入图片描述

1.2 一元函数微分学

1 武忠祥 660

在这里插入图片描述
在这里插入图片描述
在这里插入图片描述
在这里插入图片描述
在这里插入图片描述
在这里插入图片描述
在这里插入图片描述
在这里插入图片描述
在这里插入图片描述
在这里插入图片描述
在这里插入图片描述
在这里插入图片描述
在这里插入图片描述

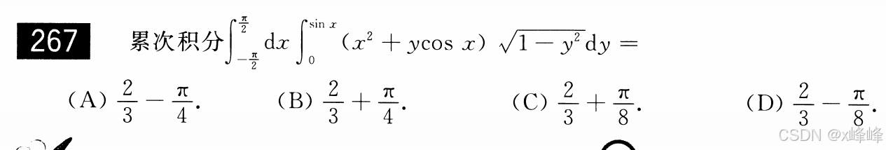
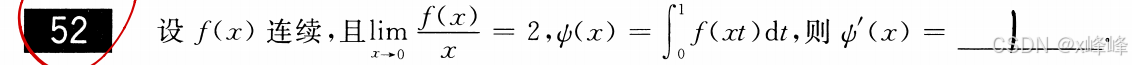
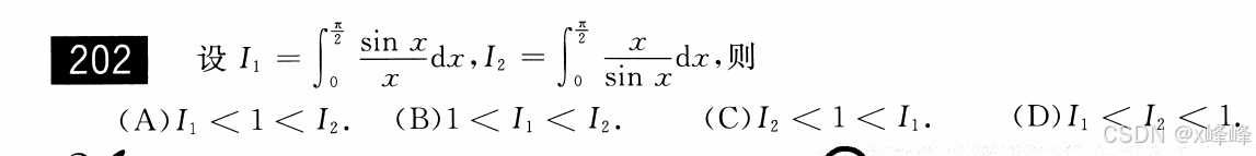
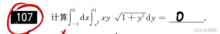
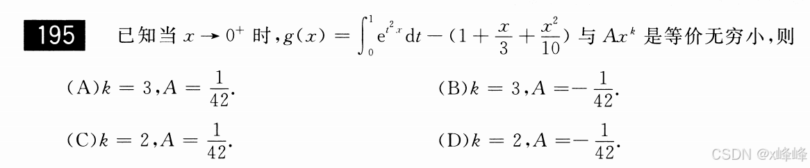
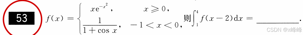
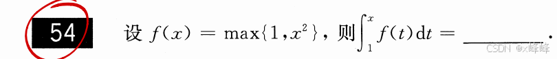
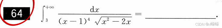
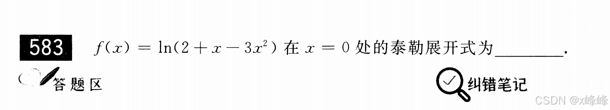
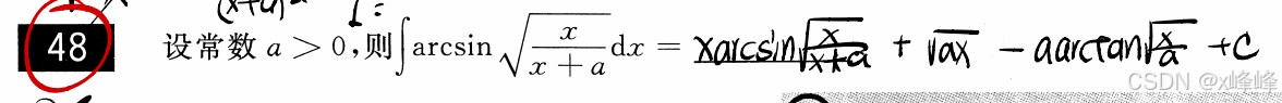
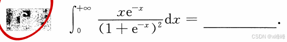
1.3 一元函数积分学

1 武忠祥 660

在这里插入图片描述
在这里插入图片描述
在这里插入图片描述
在这里插入图片描述
61
在这里插入图片描述
在这里插入图片描述
在这里插入图片描述
在这里插入图片描述
在这里插入图片描述
在这里插入图片描述
在这里插入图片描述
在这里插入图片描述
在这里插入图片描述
在这里插入图片描述
在这里插入图片描述
在这里插入图片描述
在这里插入图片描述

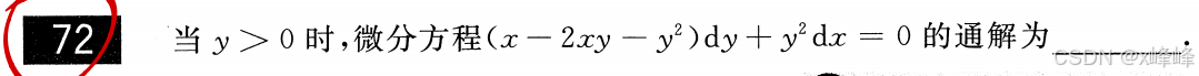
1.4 微分方程

1 武忠祥 660

在这里插入图片描述
在这里插入图片描述

在这里插入图片描述
在这里插入图片描述
在这里插入图片描述

在这里插入图片描述

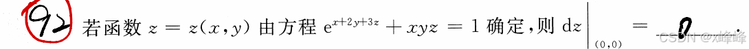
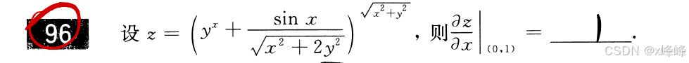
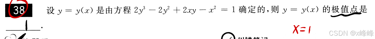
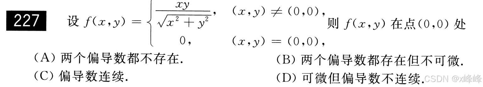
1.5 多元函数微分学

1 武忠祥 660

在这里插入图片描述

在这里插入图片描述

在这里插入图片描述

在这里插入图片描述
在这里插入图片描述
在这里插入图片描述
在这里插入图片描述
在这里插入图片描述
在这里插入图片描述
在这里插入图片描述
在这里插入图片描述
在这里插入图片描述

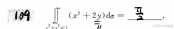
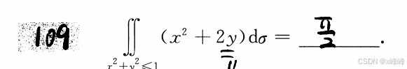
1.6 二重积分

1 武忠祥 660

在这里插入图片描述
在这里插入图片描述

在这里插入图片描述
在这里插入图片描述
在这里插入图片描述
在这里插入图片描述
在这里插入图片描述

在这里插入图片描述

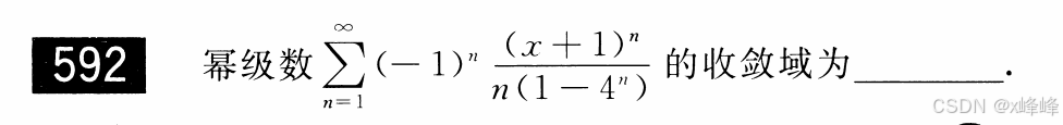
1.7 无穷级数

1 武忠祥 660

在这里插入图片描述

在这里插入图片描述

在这里插入图片描述

在这里插入图片描述
在这里插入图片描述
在这里插入图片描述
在这里插入图片描述
在这里插入图片描述
在这里插入图片描述
在这里插入图片描述

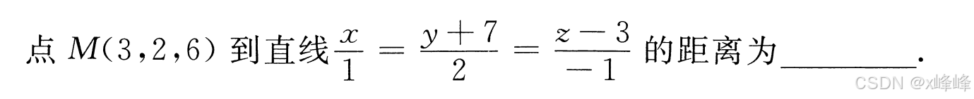
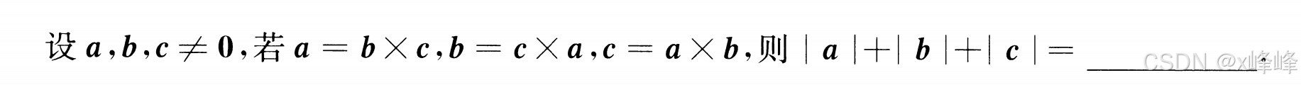
1.8 空间几何与场论

1 武忠祥 660

在这里插入图片描述
在这里插入图片描述
在这里插入图片描述
在这里插入图片描述
在这里插入图片描述

1.9 多元函数积分学

1 武忠祥 660


二、线代

2.1 行列式

1 汤家凤 1800 基础篇

在这里插入图片描述
在这里插入图片描述
在这里插入图片描述

在这里插入图片描述

2.2 矩阵

1 汤家凤 1800 基础篇

在这里插入图片描述
在这里插入图片描述
在这里插入图片描述
在这里插入图片描述
在这里插入图片描述
在这里插入图片描述
在这里插入图片描述


三、概率


总结

每周复习一次。
在这里插入图片描述

http://www.dtcms.com/a/170846.html

相关文章:

  • 前端 uni-app 初步使用指南
  • SpringMVC-第二章之RequestMapping注解详解
  • 一篇撸清 Http,SSE 与 WebSocket
  • 性能优化实践:性能监控体系
  • PyTorch_标量张量和数字的转换
  • React--》掌握react构建拖拽交互的技巧
  • Nginx 核心功能之正反代理
  • 以下是在 Ubuntu 上的几款PDF 阅读器,涵盖轻量级、功能丰富和特色工具:
  • 基于开源链动2+1模式AI智能名片S2B2C商城小程序的爆品力构建研究
  • Linux网络编程 day3 五一结假
  • 【翻译、转载】MCP 提示 (Prompts)
  • 数据库Mysql_联合查询
  • ES6入门---第二单元 模块五:模块化
  • 去打印店怎么打印手机文件,网上打印平台怎么打印
  • flink常用算子整理
  • PyQt5基本介绍
  • MyBatis 核心类详解与架构解析:从入门到源码级理解
  • Kotlin协程解析
  • 网狐旗舰大联盟组件源码私测笔记:结构分层、UI重构与本地实操全流程
  • RockyLinux9.3-24小时制
  • RabbitMQ 深度解析:从核心组件到复杂应用场景
  • Docker 渡渡鸟镜像同步站 使用教程
  • 【SimSession 】3:中继服务 linux和windows实现及MFC集成实现
  • 【PostgreSQL数据分析实战:从数据清洗到可视化全流程】3.2 缺失值检测与处理(NULL值填充/删除策略)
  • 数理性能大幅提升|暴雨一体机适配DeepSeek Prover v2
  • 在 Ubuntu 系统中,查看已安装程序的方法
  • 广东省考备考(第一天5.4)—言语
  • 【KWDB 创作者计划】_KWDB 性能优化与调优
  • C++负载均衡远程调用学习之上报功能与存储线程池
  • iview table组件 自定义表头