二叉树 - JS - 2
一、递归问题的统一套路(4步法)
1. 明确递归的定义(函数的作用)
- 关键问题:这个递归函数到底要完成什么任务?
- 示例: - 二叉树路径问题:dfs(node, path)的作用是「记录从根到当前节点的路径」。
- 斐波那契数列:fib(n)的作用是「返回第 n 个斐波那契数」。
 
- 二叉树路径问题:
2. 确定递归终止条件
- 原则:在问题无法再分解(最小子问题)时终止。
- 常见终止条件: - 二叉树问题:if (node == null) return...
- 数组/字符串问题:if (index >= length) return...
- 数值问题:if (n == 0 || n == 1) return...
 
- 二叉树问题:
3. 处理当前层逻辑
- 操作:对当前数据做处理(如计算、选择、拼接等)。
- 示例: - 二叉树路径:path += node.val
- 全排列问题:swap(nums[i], nums[start])
 
- 二叉树路径:
4. 递推到下一层
- 缩小问题规模:通过参数变化进入子问题。
- 关键点: - 参数如何传递?(如 dfs(node.left, path + "->"))
- 是否需要回溯?(如组合问题要撤销选择)
 
- 参数如何传递?(如 
二、二叉树操作
257.二叉树的所有路径
题目描述
257. 二叉树的所有路径
给你一个二叉树的根节点
root,按 任意顺序 ,返回所有从根节点到叶子节点的路径。叶子节点 是指没有子节点的节点。
示例 1:
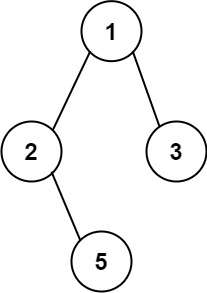
输入:root = [1,2,3,null,5] 输出:["1->2->5","1->3"]示例 2:
输入:root = [1] 输出:["1"]提示:
- 树中节点的数目在范围
[1, 100]内
-100 <= Node.val <= 100
解题思路
这道题可以使用 深度优先搜索(DFS) 来遍历所有可能的路径。具体步骤如下:
- 递归遍历:从根节点开始,递归访问左子树和右子树。
- 记录路径:在递归过程中,维护当前路径的字符串。
- 到达叶子节点时保存路径:当遇到叶子节点(没有左右子节点)时,将当前路径加入结果列表。
/*** Definition for a binary tree node.* function TreeNode(val, left, right) {*     this.val = (val===undefined ? 0 : val)*     this.left = (left===undefined ? null : left)*     this.right = (right===undefined ? null : right)* }*/
/*** @param {TreeNode} root* @return {string[]}*/
var binaryTreePaths = function (root) {const paths = [];// 深度优先const dfs = (node, path) => {if (!node) return;// 当前节点加入路径path += node.val;// 如果是叶子节点,保存路径if (!node.left && !node.right) {paths.push(path);return;}// 继续递归左子树和右子树path += "->";dfs(node.left, path);dfs(node.right, path);};dfs(root, "");return paths;
}404.左叶子之和
题目描述
404. 左叶子之和
给定二叉树的根节点
root,返回所有左叶子之和。示例 1:
输入: root = [3,9,20,null,null,15,7] 输出: 24 解释: 在这个二叉树中,有两个左叶子,分别是 9 和 15,所以返回 24示例 2:
输入: root = [1] 输出: 0提示:
- 节点数在
[1, 1000]范围内
-1000 <= Node.val <= 1000
解题思路
- 识别左叶子节点: - 必须是某个节点的左子节点。
- 必须没有左右子节点(即叶子节点)。
 
- 递归遍历: - 检查当前节点的左子节点是否是叶子节点,如果是则累加其值。
- 递归处理左子树和右子树。
 
/*** Definition for a binary tree node.* function TreeNode(val, left, right) {*     this.val = (val===undefined ? 0 : val)*     this.left = (left===undefined ? null : left)*     this.right = (right===undefined ? null : right)* }*/
/*** @param {TreeNode} root* @return {number}*/
var sumOfLeftLeaves = function (root) {if (!root) return 0;let sum = 0;// 检查左子节点是否是左叶子if (root.left && !root.left.left && !root.left.right) {sum += root.left.val;}// 递归处理左右子树sum += sumOfLeftLeaves(root.left);sum += sumOfLeftLeaves(root.right);return sum;
};


