当前位置: 首页 > news >正文

前缀和--

前缀和就是一个数组中从第一个元素开始到当前元素的累加和

设有数组:
a₁, a₂, a₃, …, aₙ

定义前缀和数组 S 为:
S₀ = 0
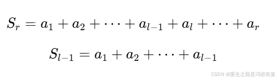
Sᵢ = a₁ + a₂ + … + aᵢ (i 从 1 到 n)

常用于快速计算一段连续区间的和
在这里插入图片描述
在这里插入图片描述
二维前缀和:求矩阵中某块元素的和

http://www.dtcms.com/a/130342.html

相关文章:

  • 消息中间件——RocketMQ(一)
  • 【复旦微FM33 MCU 底层开发指南】高级定时器ATIM
  • 齐次坐标系统:什么是齐次坐标?为什么要引入齐次坐标?
  • Go - 内存逃逸
  • C语言--实现图的基本操作
  • 探秘 LangChain 函数定义
  • Java 性能优化:从原理到实践的全面指南
  • #systemverilog# 关于基于systemveriog验证平台的RTL+TB文件编译顺序问题的讨论
  • c++11--std::forwaord--完美转发
  • zk源码-7.ZAB协议和数据存储二
  • arm_math.h、arm_const_structs.h 和 arm_common_tables.h
  • 游戏引擎学习第217天
  • Day14:关于MySQL的索引——创、查、删
  • 【腾讯云智】20250329笔试算法题
  • QT聊天项目开发DAY02
  • NIPS2024论文 End-to-End Ontology Learning with Large Language Models
  • SpringBoot-Web开发
  • 网络空间安全(56)Laravel框架讲解
  • NoSQL入门指南:Redis与MongoDB的Java实战
  • gdb调试之.gdbinit 文件的用法
  • 最大子序和问题——动态规划/贪心算法解决
  • 2025年AI语音克隆工具全面评估与选型指南
  • Redis-基本概念
  • shield.io网站|markdown中适用的“徽标”
  • 使用ADB工具分析Android应用崩溃原因:以闪动校园为例
  • Gateway-网关-分布式服务部署
  • Python10天突击--Day 2: 实现观察者模式
  • 【LeetCode 热题100】二叉树构造题精讲:前序 + 中序建树 有序数组构造 BST(力扣105 / 108)(Go语言版)
  • 基于SpringBoot的宠物健康咨询系统(源码+数据库+万字文档)
  • OpenHarmony5.0.2 USB摄像头适配