深度学习项目--基于SE的ResNet50V2网络结构探究实验
- 🍨 本文为🔗365天深度学习训练营 中的学习记录博客
- 🍖 原作者:K同学啊
前言
- 注意力机制现在运用非常广泛,这一篇也是本人第一次学习注意力机制,做笔记记录;
- 实验:本人探索SE注意力机制结合ResNet50V2,在10轮的训练下,效果略好于ResNet50V2;
- 欢迎收藏 + 关注,本人将会持续更新
参考资料:
- https://blog.csdn.net/m0_37605642/article/details/135958384
- https://zhuanlan.zhihu.com/p/631398525
文章目录
- 1、知识学习
- 1.1、注意力机制简介
- 1.2、注意力机制原理
- 1.3、SENet
- 2、SE + ResNet探索实验
- 1、导入数据
- 1、导入库
- 2、查看数据信息和导入数据
- 3、展示数据
- 4、数据导入
- 5、数据划分
- 6、动态加载数据
- 2、构建ResNet-50V2网络
- 1、SE模块的搭建
- 2、搭建ResNetV2
- 3、搭建SE + ResNetV2
- 3、模型训练
- 1、构建训练集
- 2、构建测试集
- 3、设置超参数
- 4、模型训练
- 1、ResNet50V2
- 2、SE + ResNet50V2
- 5、结果可视化
1、知识学习
1.1、注意力机制简介
先介绍两个名词:随意线索,不随意线索,如图所示:

- 不随意线索:不随着自己的意思,就像上图左边所示,注意力集中在红色杯子;
- 不随意线索:随着自己的意思,带有目的性的,如图右边所示,注意力集中在书本。
1.2、注意力机制原理
🔥 这里只是介绍最原始的注意力机制,也称为:注意力分数。
📝 在cv中,卷积、全连接、池化层都只考虑不随意线索,卷积用卷积核提取特征,池化降维,每一次都是规律性质的运算。
注意力机制,本人再看概念的时候也懵懵懂懂的,但是结合实际例子就好多了,首先这里先介绍几个名词:
- Source:一些列<Key,Value>集合,键值对;
- Query:随意线索,也可以理解为目标值;
- Key,Value:Source中的Key、Value值;
- 权重系数:Query、Key的相关性,有相应的数学公式计算得出;
- Attention值:对Value进行加权求和。
有点抽象,先看个图,举个例子就好了:

目标:将中文的“我”,翻译成“me”;
在这里的Query、Key、Value可以理解为:
- Query:随意线索,这里就是
“我”,因为目标是将“我”翻译成“me”; - Key:重要特征值,计算Query与key的相关程度,就可以知道他与 哪一个Value值相匹配程度就更大了,因为Key和Value是一一对应的;
- Value:与Key成对出现,Query与哪一个特征Key相关性大,结果就是那一个Value。
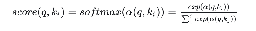
具体操作:
- 先根据 Query,Key计算两者的相关性,然后再通过
softmax函数得到 注意力分数,softmax函数是为了将输出值映射到[0, 1]之间。-
Key、Query相关性计算公式:
-

-
α ( q , k i ) \alpha(q, k_i) α(q,ki) 有很多变体,比如:加性注意力、缩放点积注意力等等。
-
加性注意力计算: α ( q , k i ) = w v T tanh ( W q q + W k k ) \alpha(q, k_i) = w_v^T \tanh(W_q q + W_k k) α(q,ki)=wvTtanh(Wqq+Wkk) , Wq,Wk是可训练的矩阵,将查询 (q) 和键 (k) 映射到新的空间,以捕捉它们之间的关系,可训练矩阵比较难理解,这个就是一个一个权重,相当于一元一次方程的斜率K,计算过程如下,用通义解释了一下,小编看来还是很容易理解的:
-

-
缩放点积注意力计算: α ( q , k i ) = Q K T d \alpha(q, k_i) = \frac{Q K^T}{\sqrt{d}} α(q,ki)=dQKT, 将Q,K相乘得来。
-
- 根据注意力分数进行加权求和,得到带注意力分数的 Value,以方便进行下游任务,在(1)中,我们得到了Query,Key的相关性,如果相关性越大,注意力分数就越高,反之越低;然后将注意力分数乘以对应的 Value,再进行加权求和;就比如:"我"和"me"的相关性较大,注意力分数就会越高;这样可以让下游任务理解"我"和"me"是匹配程度高,输出me。
1.3、SENet
通道注意力机制,顾名思义,通道注意力机制是通过计算每个通道channel的重要性程度;SENet是经典的一个网络结构。SENet通过学习通道间的关系(每个通道的重要性),提升了网络在特征表示中的表达能力,进而提升了模型的性能。

SENet三步核心操作解释:
1. Squeeze(挤压操作)
目的:将空间维度的信息压缩为全局特征,提取每个通道的全局统计信息。
过程:
- 全局平均池化:对输入特征图 ( x ) 进行全局平均池化(Global Average Pooling),将每个通道的空间信息(高度和宽度)压缩为一个标量值。
- 输出形状:例如,输入特征图形状为 ( (1, 32, 32, 10) ),经过挤压后输出形状变为 ( (1, 1, 1, 10) )。
- 作用:保留每个通道的整体空间分布信息,形成全局特征向量 ( z ),用于后续分析通道间的依赖关系。
2. Excitation(激励操作)
目的:学习通道间的依赖关系,生成每个通道的权重,量化其重要性。
过程:
- 全连接层结构:
- 降维层:第一个全连接层使用ReLU激活函数,将全局特征向量 ( z ) 的维度降低。
- 恢复维度层:第二个全连接层将特征恢复到原始通道数(例如从5维恢复到10维),并使用Sigmoid激活函数,生成通道权重 ( s ),值域为[0,1],这也说明了前后通道数量不变。
- 数学表达式:
s = F e x ( z ) = σ ( W 2 ⋅ ReLU ( W 1 ⋅ z ) ) s = F_{ex}(z) = \sigma\left( W_2 \cdot \text{ReLU}\left( W_1 \cdot z \right) \right) s=Fex(z)=σ(W2⋅ReLU(W1⋅z))
其中,( W 1 W_1 \ W1 ) 和 ( W 2 W_2 \ W2 ) 是可学习的权重矩阵,( σ \sigma σ ) 是Sigmoid函数。 - 作用:通过权重 ( s ) 反映每个通道对当前任务的贡献度(如重要通道的权重接近1,次要通道接近0)。
3. Scale(标尺操作)
目的:根据通道权重重新标定原始特征,增强重要通道,抑制次要通道,这样就更好注意重要特征了,**也就是上面说到的 随意线索 **。
过程:
- 通道级加权:将激励操作生成的权重 ( s ) 与原始特征图 ( x ) 逐通道相乘。
- 公式: y = x ⊙ s y = x \odot s y=x⊙s,其中,( ⊙ \odot ⊙) 表示逐元素乘法,( y ) 是重新标定后的特征图。
- 效果:重要通道的特征被放大,次要通道的特征被抑制,从而提升模型对关键特征的敏感性。
三步协同作用
- Squeeze 提取全局特征,为通道间关系的学习提供基础。
- Excitation 通过全连接层学习通道间的依赖,生成动态权重。
- Scale 将权重反馈到原始特征,实现通道级的特征重标定。
网络结构:
SENet是很灵活的,简单来说,可以加到任何卷积层后,但是加多了也可能过拟合😃😃😃😃😃😃,
下图是嫁到Inception、Residual中:

代码复现:
import torch.nn.functional as F
class SE(nn.Module):
def __init__(self, in_channels, ratio):
super().__init__()
# 压缩
self.squeeze = nn.AdaptiveAvgPool2d((1,1))
# 生成特征权重
self.compress = nn.Conv2d(in_channels, in_channels // ratio, 1, 1, 0) # 通道降维
self.excitation = nn.Conv2d(in_channels // ratio, in_channels, 1, 1, 0) # 通道回升
def forward(self, x):
t = x
x = self.squeeze(x)
x = self.compress(x)
x = F.relu(x)
x = self.excitation(x)
return t * F.sigmoid(x)
下面是SE + ResNet模型探索,数据:猴痘病图片;
2、SE + ResNet探索实验
1、导入数据
1、导入库
import torch
import torch.nn as nn
import torchvision
import numpy as np
import os, PIL, pathlib
# 设置设备
device = "cuda" if torch.cuda.is_available() else "cpu"
device
'cuda'
2、查看数据信息和导入数据
数据目录有两个文件:一个数据文件,一个权重。
data_dir = "./data/"
data_dir = pathlib.Path(data_dir)
# 类别数量
classnames = [str(path).split("\\")[0] for path in os.listdir(data_dir)]
classnames
['Monkeypox', 'Others']
3、展示数据
import matplotlib.pylab as plt
from PIL import Image
# 获取文件名称
data_path_name = "./data/Monkeypox/"
data_path_list = [f for f in os.listdir(data_path_name) if f.endswith(('jpg', 'png'))]
# 创建画板
fig, axes = plt.subplots(2, 8, figsize=(16, 6))
for ax, img_file in zip(axes.flat, data_path_list):
path_name = os.path.join(data_path_name, img_file)
img = Image.open(path_name) # 打开
# 显示
ax.imshow(img)
ax.axis('off')
plt.show()

4、数据导入
from torchvision import transforms, datasets
# 数据统一格式
img_height = 224
img_width = 224
data_tranforms = transforms.Compose([
transforms.Resize([img_height, img_width]),
transforms.ToTensor(),
transforms.Normalize( # 归一化
mean=[0.485, 0.456, 0.406],
std=[0.229, 0.224, 0.225]
)
])
# 加载所有数据
total_data = datasets.ImageFolder(root="./data/", transform=data_tranforms)
5、数据划分
# 大小 8 : 2
train_size = int(len(total_data) * 0.8)
test_size = len(total_data) - train_size
train_data, test_data = torch.utils.data.random_split(total_data, [train_size, test_size])
6、动态加载数据
batch_size = 32
train_dl = torch.utils.data.DataLoader(
train_data,
batch_size=batch_size,
shuffle=True
)
test_dl = torch.utils.data.DataLoader(
test_data,
batch_size=batch_size,
shuffle=False
)
# 查看数据维度
for data, labels in train_dl:
print("data shape[N, C, H, W]: ", data.shape)
print("labels: ", labels)
break
data shape[N, C, H, W]: torch.Size([32, 3, 224, 224])
labels: tensor([0, 0, 0, 0, 1, 1, 1, 1, 0, 0, 1, 1, 1, 1, 0, 0, 1, 1, 1, 0, 0, 1, 1, 1,
0, 1, 1, 1, 1, 0, 1, 0])
2、构建ResNet-50V2网络
1、SE模块的搭建
import torch.nn.functional as F
class SE(nn.Module):
def __init__(self, in_channels, ratio):
super().__init__()
# 压缩
self.squeeze = nn.AdaptiveAvgPool2d((1,1))
# 生成特征权重
self.compress = nn.Conv2d(in_channels, in_channels // ratio, 1, 1, 0) # 通道降维
self.excitation = nn.Conv2d(in_channels // ratio, in_channels, 1, 1, 0) # 通道回升
def forward(self, x):
t = x
x = self.squeeze(x)
x = self.compress(x)
x = F.relu(x)
x = self.excitation(x)
return t * F.sigmoid(x)
# 测试
se = SE(in_channels=64, ratio=16)
output = se(torch.randn(32, 64, 32, 32))
print(output.shape)
torch.Size([32, 64, 32, 32])

2、搭建ResNetV2
'''
conv_shortcut: 采用什么样的残差连接,对应上面图的1、3模块
filters: 输出通道数
卷积核:默认为3
'''
class Block2(nn.Module):
def __init__(self, in_channel, filters, kernel_size=3, stride=1, conv_shortcut=False):
super().__init__()
# 第一个,preact,对应上图的前两层,bn、relu
self.preact = nn.Sequential(
nn.BatchNorm2d(in_channel),
nn.ReLU(True)
)
# 判断是否需要使用残差连接,上图展示的网络中,有3个模块,有两个有残差连接,有一个没有,没有的那一块卷积核为 1
self.shortcut = conv_shortcut
if self.shortcut: # 对应上图的第一块网络结构残差连接
self.short = nn.Conv2d(in_channel, 4 * filters, kernel_size=1, stride=stride, padding=0, bias=False) # padding默认为0, 4 * filtersz看源码得出, 输出通道
else:
self.short = nn.MaxPool2d(kernel_size=1, stride=stride, padding=0) if stride > 1 else nn.Identity() # nn.Identity() 对输入的数据X,不做任何操作
# 后面结果,三个模块都一样,我把他分层三个模块
# 模块一,看源码
self.conv1 = nn.Sequential(
nn.Conv2d(in_channel, filters, kernel_size=1, stride=1, bias=False),
nn.BatchNorm2d(filters),
nn.ReLU(True)
)
# 模块二
self.conv2 = nn.Sequential(
nn.Conv2d(filters, filters, kernel_size=kernel_size, stride=stride, padding=1, bias=False),
nn.BatchNorm2d(filters),
nn.ReLU(True)
)
# 模块三
self.conv3 = nn.Conv2d(filters, 4 * filters, kernel_size=1, stride=1)
def forward(self, x):
# 数据
x1 = self.preact(x)
if self.shortcut: # 这个时候,对应对一个模块
x2 = self.short(x1) # 这个时候输入的是 x1
else:
x2 = self.short(x) # 这个对应上面网络图第三个, 用的输入 x
x1 = self.conv1(x1)
x1 = self.conv2(x1)
x1 = self.conv3(x1)
x = x1 + x2 # 合并
return x
# 堆积
class Stack2(nn.Module):
def __init__(self, in_channel, filters, blocks, stride=2): # blocks代表上图中最左网络图,残差堆积 中 层数
super().__init__()
self.conv = nn.Sequential()
# 上面网络图中,最左部分,残差堆积是很相似的
self.conv.add_module(str(0), Block2(in_channel, filters, conv_shortcut=True)) # 参数,名字 + 模块
# 中间层
for i in range(1, blocks - 1): # 上面一层去除,中间剩下 blocks - 2
self.add_module(str(i), Block2(4 * filters, filters)) # 上一层输出:4 * filters,这一层回归filters
self.conv.add_module(str(blocks-1), Block2(4 * filters, filters, stride=stride)) # 这里的stride不一样
def forward(self, x):
x = self.conv(x)
return x
class ResNet50V2(nn.Module):
def __init__(self,
include_top=True, # 是否需要包含最定层
preact=True, # 是否需要预激活
use_bias=True, # 卷积层是否用偏置
input_shape=[224, 224, 3],
classes=1000, # 类别数量
pooling=None
):
super().__init__()
# 上图神经网络,最左边,最顶层, ZeroPad是感受野参数
self.conv1 = nn.Sequential()
self.conv1.add_module('conv', nn.Conv2d(3, 64, kernel_size=7, stride=2, padding=3, bias=use_bias))
# 这里的标准化,激活函数是可选的
if not preact:
self.conv1.add_module('bn', nn.BatchNorm2d(64))
self.conv1.add_module('relu', nn.ReLU())
self.conv1.add_module('max_pool', nn.MaxPool2d(kernel_size=3, stride=2, padding=1))
# 上图神经网络,最左边,中间层
self.conv2 = Stack2(64, 64, 3)
self.conv3 = Stack2(256, 128, 4)
self.conv4 = Stack2(512, 256, 6)
self.conv5 = Stack2(1024, 512, 3, stride=1) # 这些层数量变换挺有意思的
self.last = nn.Sequential()
if preact:
self.last.add_module('bn', nn.BatchNorm2d(2048))
self.last.add_module('relu', nn.ReLU(True))
if include_top:
self.last.add_module('avg_pool', nn.AdaptiveAvgPool2d((1, 1)))
self.last.add_module('flatten', nn.Flatten())
self.last.add_module('fc', nn.Linear(2048, classes))
else:
if pooling=='avg':
self.last.add_module('avg_pool', nn.AdaptiveAvgPool2d((1, 1)))
elif pooling=='max':
self.last.add_module('max_pool', nn.AdaptiveAMaxPool2d((1, 1)))
def forward(self, x):
x = self.conv1(x)
x = self.conv2(x)
x = self.conv3(x)
x = self.conv4(x)
x = self.conv5(x)
x = self.last(x)
return x
model1 = ResNet50V2(classes=len(classnames)).to(device)
model1
ResNet50V2(
(conv1): Sequential(
(conv): Conv2d(3, 64, kernel_size=(7, 7), stride=(2, 2), padding=(3, 3))
(max_pool): MaxPool2d(kernel_size=3, stride=2, padding=1, dilation=1, ceil_mode=False)
)
(conv2): Stack2(
(conv): Sequential(
(0): Block2(
(preact): Sequential(
(0): BatchNorm2d(64, eps=1e-05, momentum=0.1, affine=True, track_running_stats=True)
(1): ReLU(inplace=True)
)
(short): Conv2d(64, 256, kernel_size=(1, 1), stride=(1, 1), bias=False)
(conv1): Sequential(
(0): Conv2d(64, 64, kernel_size=(1, 1), stride=(1, 1), bias=False)
(1): BatchNorm2d(64, eps=1e-05, momentum=0.1, affine=True, track_running_stats=True)
(2): ReLU(inplace=True)
)
(conv2): Sequential(
(0): Conv2d(64, 64, kernel_size=(3, 3), stride=(1, 1), padding=(1, 1), bias=False)
(1): BatchNorm2d(64, eps=1e-05, momentum=0.1, affine=True, track_running_stats=True)
(2): ReLU(inplace=True)
)
(conv3): Conv2d(64, 256, kernel_size=(1, 1), stride=(1, 1))
)
(2): Block2(
(preact): Sequential(
(0): BatchNorm2d(256, eps=1e-05, momentum=0.1, affine=True, track_running_stats=True)
(1): ReLU(inplace=True)
)
(short): MaxPool2d(kernel_size=1, stride=2, padding=0, dilation=1, ceil_mode=False)
(conv1): Sequential(
(0): Conv2d(256, 64, kernel_size=(1, 1), stride=(1, 1), bias=False)
(1): BatchNorm2d(64, eps=1e-05, momentum=0.1, affine=True, track_running_stats=True)
(2): ReLU(inplace=True)
)
(conv2): Sequential(
(0): Conv2d(64, 64, kernel_size=(3, 3), stride=(2, 2), padding=(1, 1), bias=False)
(1): BatchNorm2d(64, eps=1e-05, momentum=0.1, affine=True, track_running_stats=True)
(2): ReLU(inplace=True)
)
(conv3): Conv2d(64, 256, kernel_size=(1, 1), stride=(1, 1))
)
)
(1): Block2(
(preact): Sequential(
(0): BatchNorm2d(256, eps=1e-05, momentum=0.1, affine=True, track_running_stats=True)
(1): ReLU(inplace=True)
)
(short): Identity()
(conv1): Sequential(
(0): Conv2d(256, 64, kernel_size=(1, 1), stride=(1, 1), bias=False)
(1): BatchNorm2d(64, eps=1e-05, momentum=0.1, affine=True, track_running_stats=True)
(2): ReLU(inplace=True)
)
(conv2): Sequential(
(0): Conv2d(64, 64, kernel_size=(3, 3), stride=(1, 1), padding=(1, 1), bias=False)
(1): BatchNorm2d(64, eps=1e-05, momentum=0.1, affine=True, track_running_stats=True)
(2): ReLU(inplace=True)
)
(conv3): Conv2d(64, 256, kernel_size=(1, 1), stride=(1, 1))
)
)
(conv3): Stack2(
(conv): Sequential(
(0): Block2(
(preact): Sequential(
(0): BatchNorm2d(256, eps=1e-05, momentum=0.1, affine=True, track_running_stats=True)
(1): ReLU(inplace=True)
)
(short): Conv2d(256, 512, kernel_size=(1, 1), stride=(1, 1), bias=False)
(conv1): Sequential(
(0): Conv2d(256, 128, kernel_size=(1, 1), stride=(1, 1), bias=False)
(1): BatchNorm2d(128, eps=1e-05, momentum=0.1, affine=True, track_running_stats=True)
(2): ReLU(inplace=True)
)
(conv2): Sequential(
(0): Conv2d(128, 128, kernel_size=(3, 3), stride=(1, 1), padding=(1, 1), bias=False)
(1): BatchNorm2d(128, eps=1e-05, momentum=0.1, affine=True, track_running_stats=True)
(2): ReLU(inplace=True)
)
(conv3): Conv2d(128, 512, kernel_size=(1, 1), stride=(1, 1))
)
(3): Block2(
(preact): Sequential(
(0): BatchNorm2d(512, eps=1e-05, momentum=0.1, affine=True, track_running_stats=True)
(1): ReLU(inplace=True)
)
(short): MaxPool2d(kernel_size=1, stride=2, padding=0, dilation=1, ceil_mode=False)
(conv1): Sequential(
(0): Conv2d(512, 128, kernel_size=(1, 1), stride=(1, 1), bias=False)
(1): BatchNorm2d(128, eps=1e-05, momentum=0.1, affine=True, track_running_stats=True)
(2): ReLU(inplace=True)
)
(conv2): Sequential(
(0): Conv2d(128, 128, kernel_size=(3, 3), stride=(2, 2), padding=(1, 1), bias=False)
(1): BatchNorm2d(128, eps=1e-05, momentum=0.1, affine=True, track_running_stats=True)
(2): ReLU(inplace=True)
)
(conv3): Conv2d(128, 512, kernel_size=(1, 1), stride=(1, 1))
)
)
(1): Block2(
(preact): Sequential(
(0): BatchNorm2d(512, eps=1e-05, momentum=0.1, affine=True, track_running_stats=True)
(1): ReLU(inplace=True)
)
(short): Identity()
(conv1): Sequential(
(0): Conv2d(512, 128, kernel_size=(1, 1), stride=(1, 1), bias=False)
(1): BatchNorm2d(128, eps=1e-05, momentum=0.1, affine=True, track_running_stats=True)
(2): ReLU(inplace=True)
)
(conv2): Sequential(
(0): Conv2d(128, 128, kernel_size=(3, 3), stride=(1, 1), padding=(1, 1), bias=False)
(1): BatchNorm2d(128, eps=1e-05, momentum=0.1, affine=True, track_running_stats=True)
(2): ReLU(inplace=True)
)
(conv3): Conv2d(128, 512, kernel_size=(1, 1), stride=(1, 1))
)
(2): Block2(
(preact): Sequential(
(0): BatchNorm2d(512, eps=1e-05, momentum=0.1, affine=True, track_running_stats=True)
(1): ReLU(inplace=True)
)
(short): Identity()
(conv1): Sequential(
(0): Conv2d(512, 128, kernel_size=(1, 1), stride=(1, 1), bias=False)
(1): BatchNorm2d(128, eps=1e-05, momentum=0.1, affine=True, track_running_stats=True)
(2): ReLU(inplace=True)
)
(conv2): Sequential(
(0): Conv2d(128, 128, kernel_size=(3, 3), stride=(1, 1), padding=(1, 1), bias=False)
(1): BatchNorm2d(128, eps=1e-05, momentum=0.1, affine=True, track_running_stats=True)
(2): ReLU(inplace=True)
)
(conv3): Conv2d(128, 512, kernel_size=(1, 1), stride=(1, 1))
)
)
(conv4): Stack2(
(conv): Sequential(
(0): Block2(
(preact): Sequential(
(0): BatchNorm2d(512, eps=1e-05, momentum=0.1, affine=True, track_running_stats=True)
(1): ReLU(inplace=True)
)
(short): Conv2d(512, 1024, kernel_size=(1, 1), stride=(1, 1), bias=False)
(conv1): Sequential(
(0): Conv2d(512, 256, kernel_size=(1, 1), stride=(1, 1), bias=False)
(1): BatchNorm2d(256, eps=1e-05, momentum=0.1, affine=True, track_running_stats=True)
(2): ReLU(inplace=True)
)
(conv2): Sequential(
(0): Conv2d(256, 256, kernel_size=(3, 3), stride=(1, 1), padding=(1, 1), bias=False)
(1): BatchNorm2d(256, eps=1e-05, momentum=0.1, affine=True, track_running_stats=True)
(2): ReLU(inplace=True)
)
(conv3): Conv2d(256, 1024, kernel_size=(1, 1), stride=(1, 1))
)
(5): Block2(
(preact): Sequential(
(0): BatchNorm2d(1024, eps=1e-05, momentum=0.1, affine=True, track_running_stats=True)
(1): ReLU(inplace=True)
)
(short): MaxPool2d(kernel_size=1, stride=2, padding=0, dilation=1, ceil_mode=False)
(conv1): Sequential(
(0): Conv2d(1024, 256, kernel_size=(1, 1), stride=(1, 1), bias=False)
(1): BatchNorm2d(256, eps=1e-05, momentum=0.1, affine=True, track_running_stats=True)
(2): ReLU(inplace=True)
)
(conv2): Sequential(
(0): Conv2d(256, 256, kernel_size=(3, 3), stride=(2, 2), padding=(1, 1), bias=False)
(1): BatchNorm2d(256, eps=1e-05, momentum=0.1, affine=True, track_running_stats=True)
(2): ReLU(inplace=True)
)
(conv3): Conv2d(256, 1024, kernel_size=(1, 1), stride=(1, 1))
)
)
(1): Block2(
(preact): Sequential(
(0): BatchNorm2d(1024, eps=1e-05, momentum=0.1, affine=True, track_running_stats=True)
(1): ReLU(inplace=True)
)
(short): Identity()
(conv1): Sequential(
(0): Conv2d(1024, 256, kernel_size=(1, 1), stride=(1, 1), bias=False)
(1): BatchNorm2d(256, eps=1e-05, momentum=0.1, affine=True, track_running_stats=True)
(2): ReLU(inplace=True)
)
(conv2): Sequential(
(0): Conv2d(256, 256, kernel_size=(3, 3), stride=(1, 1), padding=(1, 1), bias=False)
(1): BatchNorm2d(256, eps=1e-05, momentum=0.1, affine=True, track_running_stats=True)
(2): ReLU(inplace=True)
)
(conv3): Conv2d(256, 1024, kernel_size=(1, 1), stride=(1, 1))
)
(2): Block2(
(preact): Sequential(
(0): BatchNorm2d(1024, eps=1e-05, momentum=0.1, affine=True, track_running_stats=True)
(1): ReLU(inplace=True)
)
(short): Identity()
(conv1): Sequential(
(0): Conv2d(1024, 256, kernel_size=(1, 1), stride=(1, 1), bias=False)
(1): BatchNorm2d(256, eps=1e-05, momentum=0.1, affine=True, track_running_stats=True)
(2): ReLU(inplace=True)
)
(conv2): Sequential(
(0): Conv2d(256, 256, kernel_size=(3, 3), stride=(1, 1), padding=(1, 1), bias=False)
(1): BatchNorm2d(256, eps=1e-05, momentum=0.1, affine=True, track_running_stats=True)
(2): ReLU(inplace=True)
)
(conv3): Conv2d(256, 1024, kernel_size=(1, 1), stride=(1, 1))
)
(3): Block2(
(preact): Sequential(
(0): BatchNorm2d(1024, eps=1e-05, momentum=0.1, affine=True, track_running_stats=True)
(1): ReLU(inplace=True)
)
(short): Identity()
(conv1): Sequential(
(0): Conv2d(1024, 256, kernel_size=(1, 1), stride=(1, 1), bias=False)
(1): BatchNorm2d(256, eps=1e-05, momentum=0.1, affine=True, track_running_stats=True)
(2): ReLU(inplace=True)
)
(conv2): Sequential(
(0): Conv2d(256, 256, kernel_size=(3, 3), stride=(1, 1), padding=(1, 1), bias=False)
(1): BatchNorm2d(256, eps=1e-05, momentum=0.1, affine=True, track_running_stats=True)
(2): ReLU(inplace=True)
)
(conv3): Conv2d(256, 1024, kernel_size=(1, 1), stride=(1, 1))
)
(4): Block2(
(preact): Sequential(
(0): BatchNorm2d(1024, eps=1e-05, momentum=0.1, affine=True, track_running_stats=True)
(1): ReLU(inplace=True)
)
(short): Identity()
(conv1): Sequential(
(0): Conv2d(1024, 256, kernel_size=(1, 1), stride=(1, 1), bias=False)
(1): BatchNorm2d(256, eps=1e-05, momentum=0.1, affine=True, track_running_stats=True)
(2): ReLU(inplace=True)
)
(conv2): Sequential(
(0): Conv2d(256, 256, kernel_size=(3, 3), stride=(1, 1), padding=(1, 1), bias=False)
(1): BatchNorm2d(256, eps=1e-05, momentum=0.1, affine=True, track_running_stats=True)
(2): ReLU(inplace=True)
)
(conv3): Conv2d(256, 1024, kernel_size=(1, 1), stride=(1, 1))
)
)
(conv5): Stack2(
(conv): Sequential(
(0): Block2(
(preact): Sequential(
(0): BatchNorm2d(1024, eps=1e-05, momentum=0.1, affine=True, track_running_stats=True)
(1): ReLU(inplace=True)
)
(short): Conv2d(1024, 2048, kernel_size=(1, 1), stride=(1, 1), bias=False)
(conv1): Sequential(
(0): Conv2d(1024, 512, kernel_size=(1, 1), stride=(1, 1), bias=False)
(1): BatchNorm2d(512, eps=1e-05, momentum=0.1, affine=True, track_running_stats=True)
(2): ReLU(inplace=True)
)
(conv2): Sequential(
(0): Conv2d(512, 512, kernel_size=(3, 3), stride=(1, 1), padding=(1, 1), bias=False)
(1): BatchNorm2d(512, eps=1e-05, momentum=0.1, affine=True, track_running_stats=True)
(2): ReLU(inplace=True)
)
(conv3): Conv2d(512, 2048, kernel_size=(1, 1), stride=(1, 1))
)
(2): Block2(
(preact): Sequential(
(0): BatchNorm2d(2048, eps=1e-05, momentum=0.1, affine=True, track_running_stats=True)
(1): ReLU(inplace=True)
)
(short): Identity()
(conv1): Sequential(
(0): Conv2d(2048, 512, kernel_size=(1, 1), stride=(1, 1), bias=False)
(1): BatchNorm2d(512, eps=1e-05, momentum=0.1, affine=True, track_running_stats=True)
(2): ReLU(inplace=True)
)
(conv2): Sequential(
(0): Conv2d(512, 512, kernel_size=(3, 3), stride=(1, 1), padding=(1, 1), bias=False)
(1): BatchNorm2d(512, eps=1e-05, momentum=0.1, affine=True, track_running_stats=True)
(2): ReLU(inplace=True)
)
(conv3): Conv2d(512, 2048, kernel_size=(1, 1), stride=(1, 1))
)
)
(1): Block2(
(preact): Sequential(
(0): BatchNorm2d(2048, eps=1e-05, momentum=0.1, affine=True, track_running_stats=True)
(1): ReLU(inplace=True)
)
(short): Identity()
(conv1): Sequential(
(0): Conv2d(2048, 512, kernel_size=(1, 1), stride=(1, 1), bias=False)
(1): BatchNorm2d(512, eps=1e-05, momentum=0.1, affine=True, track_running_stats=True)
(2): ReLU(inplace=True)
)
(conv2): Sequential(
(0): Conv2d(512, 512, kernel_size=(3, 3), stride=(1, 1), padding=(1, 1), bias=False)
(1): BatchNorm2d(512, eps=1e-05, momentum=0.1, affine=True, track_running_stats=True)
(2): ReLU(inplace=True)
)
(conv3): Conv2d(512, 2048, kernel_size=(1, 1), stride=(1, 1))
)
)
(last): Sequential(
(bn): BatchNorm2d(2048, eps=1e-05, momentum=0.1, affine=True, track_running_stats=True)
(relu): ReLU(inplace=True)
(avg_pool): AdaptiveAvgPool2d(output_size=(1, 1))
(flatten): Flatten(start_dim=1, end_dim=-1)
(fc): Linear(in_features=2048, out_features=2, bias=True)
)
)
3、搭建SE + ResNetV2
这里只加了一层,在卷积展开为全连接层前,具体看代码,但是想要实验效果,还需要查阅相关论文,进行相关实验。
'''
conv_shortcut: 采用什么样的残差连接,对应上面图的1、3模块
filters: 输出通道数
卷积核:默认为3
'''
class Block2(nn.Module):
def __init__(self, in_channel, filters, kernel_size=3, stride=1, conv_shortcut=False):
super().__init__()
# 第一个,preact,对应上图的前两层,bn、relu
self.preact = nn.Sequential(
nn.BatchNorm2d(in_channel),
nn.ReLU(True)
)
# 判断是否需要使用残差连接,上图展示的网络中,有3个模块,有两个有残差连接,有一个没有,没有的那一块卷积核为 1
self.shortcut = conv_shortcut
if self.shortcut: # 对应上图的第一块网络结构残差连接
self.short = nn.Conv2d(in_channel, 4 * filters, kernel_size=1, stride=stride, padding=0, bias=False) # padding默认为0, 4 * filtersz看源码得出, 输出通道
else:
self.short = nn.MaxPool2d(kernel_size=1, stride=stride, padding=0) if stride > 1 else nn.Identity() # nn.Identity() 对输入的数据X,不做任何操作
# 后面结果,三个模块都一样,我把他分层三个模块
# 模块一,看源码
self.conv1 = nn.Sequential(
nn.Conv2d(in_channel, filters, kernel_size=1, stride=1, bias=False),
nn.BatchNorm2d(filters),
nn.ReLU(True)
)
# 模块二
self.conv2 = nn.Sequential(
nn.Conv2d(filters, filters, kernel_size=kernel_size, stride=stride, padding=1, bias=False),
nn.BatchNorm2d(filters),
nn.ReLU(True)
)
# 模块三
self.conv3 = nn.Conv2d(filters, 4 * filters, kernel_size=1, stride=1)
def forward(self, x):
# 数据
x1 = self.preact(x)
if self.shortcut: # 这个时候,对应对一个模块
x2 = self.short(x1) # 这个时候输入的是 x1
else:
x2 = self.short(x) # 这个对应上面网络图第三个, 用的输入 x
x1 = self.conv1(x1)
x1 = self.conv2(x1)
x1 = self.conv3(x1)
x = x1 + x2 # 合并
return x
# 堆积
class Stack2(nn.Module):
def __init__(self, in_channel, filters, blocks, stride=2): # blocks代表上图中最左网络图,残差堆积 中 层数
super().__init__()
self.conv = nn.Sequential()
# 上面网络图中,最左部分,残差堆积是很相似的
self.conv.add_module(str(0), Block2(in_channel, filters, conv_shortcut=True)) # 参数,名字 + 模块
# 中间层
for i in range(1, blocks - 1): # 上面一层去除,中间剩下 blocks - 2
self.add_module(str(i), Block2(4 * filters, filters)) # 上一层输出:4 * filters,这一层回归filters
self.conv.add_module(str(blocks-1), Block2(4 * filters, filters, stride=stride)) # 这里的stride不一样
def forward(self, x):
x = self.conv(x)
return x
class ResNet50V2(nn.Module):
def __init__(self,
include_top=True, # 是否需要包含最定层
preact=True, # 是否需要预激活
use_bias=True, # 卷积层是否用偏置
input_shape=[224, 224, 3],
classes=1000, # 类别数量
pooling=None
):
super().__init__()
# 上图神经网络,最左边,最顶层, ZeroPad是感受野参数
self.conv1 = nn.Sequential()
self.conv1.add_module('conv', nn.Conv2d(3, 64, kernel_size=7, stride=2, padding=3, bias=use_bias))
# 这里的标准化,激活函数是可选的
if not preact:
self.conv1.add_module('bn', nn.BatchNorm2d(64))
self.conv1.add_module('relu', nn.ReLU())
self.conv1.add_module('max_pool', nn.MaxPool2d(kernel_size=3, stride=2, padding=1))
# 上图神经网络,最左边,中间层
self.conv2 = Stack2(64, 64, 3)
self.conv3 = Stack2(256, 128, 4)
self.conv4 = Stack2(512, 256, 6)
# ------------------ 添加注意力机制
self.se = SE(1024, 16)
self.conv5 = Stack2(1024, 512, 3, stride=1) # 这些层数量变换挺有意思的
self.last = nn.Sequential()
if preact:
self.last.add_module('bn', nn.BatchNorm2d(2048))
self.last.add_module('relu', nn.ReLU(True))
if include_top:
self.last.add_module('avg_pool', nn.AdaptiveAvgPool2d((1, 1)))
self.last.add_module('flatten', nn.Flatten())
self.last.add_module('fc', nn.Linear(2048, classes))
else:
if pooling=='avg':
self.last.add_module('avg_pool', nn.AdaptiveAvgPool2d((1, 1)))
elif pooling=='max':
self.last.add_module('max_pool', nn.AdaptiveAMaxPool2d((1, 1)))
def forward(self, x):
x = self.conv1(x)
x = self.conv2(x)
x = self.conv3(x)
x = self.conv4(x)
# 注意力机制
x = self.se(x)
x = self.conv5(x)
x = self.last(x)
return x
model2 = ResNet50V2(classes=len(classnames)).to(device)
model2
ResNet50V2(
(conv1): Sequential(
(conv): Conv2d(3, 64, kernel_size=(7, 7), stride=(2, 2), padding=(3, 3))
(max_pool): MaxPool2d(kernel_size=3, stride=2, padding=1, dilation=1, ceil_mode=False)
)
(conv2): Stack2(
(conv): Sequential(
(0): Block2(
(preact): Sequential(
(0): BatchNorm2d(64, eps=1e-05, momentum=0.1, affine=True, track_running_stats=True)
(1): ReLU(inplace=True)
)
(short): Conv2d(64, 256, kernel_size=(1, 1), stride=(1, 1), bias=False)
(conv1): Sequential(
(0): Conv2d(64, 64, kernel_size=(1, 1), stride=(1, 1), bias=False)
(1): BatchNorm2d(64, eps=1e-05, momentum=0.1, affine=True, track_running_stats=True)
(2): ReLU(inplace=True)
)
(conv2): Sequential(
(0): Conv2d(64, 64, kernel_size=(3, 3), stride=(1, 1), padding=(1, 1), bias=False)
(1): BatchNorm2d(64, eps=1e-05, momentum=0.1, affine=True, track_running_stats=True)
(2): ReLU(inplace=True)
)
(conv3): Conv2d(64, 256, kernel_size=(1, 1), stride=(1, 1))
)
(2): Block2(
(preact): Sequential(
(0): BatchNorm2d(256, eps=1e-05, momentum=0.1, affine=True, track_running_stats=True)
(1): ReLU(inplace=True)
)
(short): MaxPool2d(kernel_size=1, stride=2, padding=0, dilation=1, ceil_mode=False)
(conv1): Sequential(
(0): Conv2d(256, 64, kernel_size=(1, 1), stride=(1, 1), bias=False)
(1): BatchNorm2d(64, eps=1e-05, momentum=0.1, affine=True, track_running_stats=True)
(2): ReLU(inplace=True)
)
(conv2): Sequential(
(0): Conv2d(64, 64, kernel_size=(3, 3), stride=(2, 2), padding=(1, 1), bias=False)
(1): BatchNorm2d(64, eps=1e-05, momentum=0.1, affine=True, track_running_stats=True)
(2): ReLU(inplace=True)
)
(conv3): Conv2d(64, 256, kernel_size=(1, 1), stride=(1, 1))
)
)
(1): Block2(
(preact): Sequential(
(0): BatchNorm2d(256, eps=1e-05, momentum=0.1, affine=True, track_running_stats=True)
(1): ReLU(inplace=True)
)
(short): Identity()
(conv1): Sequential(
(0): Conv2d(256, 64, kernel_size=(1, 1), stride=(1, 1), bias=False)
(1): BatchNorm2d(64, eps=1e-05, momentum=0.1, affine=True, track_running_stats=True)
(2): ReLU(inplace=True)
)
(conv2): Sequential(
(0): Conv2d(64, 64, kernel_size=(3, 3), stride=(1, 1), padding=(1, 1), bias=False)
(1): BatchNorm2d(64, eps=1e-05, momentum=0.1, affine=True, track_running_stats=True)
(2): ReLU(inplace=True)
)
(conv3): Conv2d(64, 256, kernel_size=(1, 1), stride=(1, 1))
)
)
(conv3): Stack2(
(conv): Sequential(
(0): Block2(
(preact): Sequential(
(0): BatchNorm2d(256, eps=1e-05, momentum=0.1, affine=True, track_running_stats=True)
(1): ReLU(inplace=True)
)
(short): Conv2d(256, 512, kernel_size=(1, 1), stride=(1, 1), bias=False)
(conv1): Sequential(
(0): Conv2d(256, 128, kernel_size=(1, 1), stride=(1, 1), bias=False)
(1): BatchNorm2d(128, eps=1e-05, momentum=0.1, affine=True, track_running_stats=True)
(2): ReLU(inplace=True)
)
(conv2): Sequential(
(0): Conv2d(128, 128, kernel_size=(3, 3), stride=(1, 1), padding=(1, 1), bias=False)
(1): BatchNorm2d(128, eps=1e-05, momentum=0.1, affine=True, track_running_stats=True)
(2): ReLU(inplace=True)
)
(conv3): Conv2d(128, 512, kernel_size=(1, 1), stride=(1, 1))
)
(3): Block2(
(preact): Sequential(
(0): BatchNorm2d(512, eps=1e-05, momentum=0.1, affine=True, track_running_stats=True)
(1): ReLU(inplace=True)
)
(short): MaxPool2d(kernel_size=1, stride=2, padding=0, dilation=1, ceil_mode=False)
(conv1): Sequential(
(0): Conv2d(512, 128, kernel_size=(1, 1), stride=(1, 1), bias=False)
(1): BatchNorm2d(128, eps=1e-05, momentum=0.1, affine=True, track_running_stats=True)
(2): ReLU(inplace=True)
)
(conv2): Sequential(
(0): Conv2d(128, 128, kernel_size=(3, 3), stride=(2, 2), padding=(1, 1), bias=False)
(1): BatchNorm2d(128, eps=1e-05, momentum=0.1, affine=True, track_running_stats=True)
(2): ReLU(inplace=True)
)
(conv3): Conv2d(128, 512, kernel_size=(1, 1), stride=(1, 1))
)
)
(1): Block2(
(preact): Sequential(
(0): BatchNorm2d(512, eps=1e-05, momentum=0.1, affine=True, track_running_stats=True)
(1): ReLU(inplace=True)
)
(short): Identity()
(conv1): Sequential(
(0): Conv2d(512, 128, kernel_size=(1, 1), stride=(1, 1), bias=False)
(1): BatchNorm2d(128, eps=1e-05, momentum=0.1, affine=True, track_running_stats=True)
(2): ReLU(inplace=True)
)
(conv2): Sequential(
(0): Conv2d(128, 128, kernel_size=(3, 3), stride=(1, 1), padding=(1, 1), bias=False)
(1): BatchNorm2d(128, eps=1e-05, momentum=0.1, affine=True, track_running_stats=True)
(2): ReLU(inplace=True)
)
(conv3): Conv2d(128, 512, kernel_size=(1, 1), stride=(1, 1))
)
(2): Block2(
(preact): Sequential(
(0): BatchNorm2d(512, eps=1e-05, momentum=0.1, affine=True, track_running_stats=True)
(1): ReLU(inplace=True)
)
(short): Identity()
(conv1): Sequential(
(0): Conv2d(512, 128, kernel_size=(1, 1), stride=(1, 1), bias=False)
(1): BatchNorm2d(128, eps=1e-05, momentum=0.1, affine=True, track_running_stats=True)
(2): ReLU(inplace=True)
)
(conv2): Sequential(
(0): Conv2d(128, 128, kernel_size=(3, 3), stride=(1, 1), padding=(1, 1), bias=False)
(1): BatchNorm2d(128, eps=1e-05, momentum=0.1, affine=True, track_running_stats=True)
(2): ReLU(inplace=True)
)
(conv3): Conv2d(128, 512, kernel_size=(1, 1), stride=(1, 1))
)
)
(conv4): Stack2(
(conv): Sequential(
(0): Block2(
(preact): Sequential(
(0): BatchNorm2d(512, eps=1e-05, momentum=0.1, affine=True, track_running_stats=True)
(1): ReLU(inplace=True)
)
(short): Conv2d(512, 1024, kernel_size=(1, 1), stride=(1, 1), bias=False)
(conv1): Sequential(
(0): Conv2d(512, 256, kernel_size=(1, 1), stride=(1, 1), bias=False)
(1): BatchNorm2d(256, eps=1e-05, momentum=0.1, affine=True, track_running_stats=True)
(2): ReLU(inplace=True)
)
(conv2): Sequential(
(0): Conv2d(256, 256, kernel_size=(3, 3), stride=(1, 1), padding=(1, 1), bias=False)
(1): BatchNorm2d(256, eps=1e-05, momentum=0.1, affine=True, track_running_stats=True)
(2): ReLU(inplace=True)
)
(conv3): Conv2d(256, 1024, kernel_size=(1, 1), stride=(1, 1))
)
(5): Block2(
(preact): Sequential(
(0): BatchNorm2d(1024, eps=1e-05, momentum=0.1, affine=True, track_running_stats=True)
(1): ReLU(inplace=True)
)
(short): MaxPool2d(kernel_size=1, stride=2, padding=0, dilation=1, ceil_mode=False)
(conv1): Sequential(
(0): Conv2d(1024, 256, kernel_size=(1, 1), stride=(1, 1), bias=False)
(1): BatchNorm2d(256, eps=1e-05, momentum=0.1, affine=True, track_running_stats=True)
(2): ReLU(inplace=True)
)
(conv2): Sequential(
(0): Conv2d(256, 256, kernel_size=(3, 3), stride=(2, 2), padding=(1, 1), bias=False)
(1): BatchNorm2d(256, eps=1e-05, momentum=0.1, affine=True, track_running_stats=True)
(2): ReLU(inplace=True)
)
(conv3): Conv2d(256, 1024, kernel_size=(1, 1), stride=(1, 1))
)
)
(1): Block2(
(preact): Sequential(
(0): BatchNorm2d(1024, eps=1e-05, momentum=0.1, affine=True, track_running_stats=True)
(1): ReLU(inplace=True)
)
(short): Identity()
(conv1): Sequential(
(0): Conv2d(1024, 256, kernel_size=(1, 1), stride=(1, 1), bias=False)
(1): BatchNorm2d(256, eps=1e-05, momentum=0.1, affine=True, track_running_stats=True)
(2): ReLU(inplace=True)
)
(conv2): Sequential(
(0): Conv2d(256, 256, kernel_size=(3, 3), stride=(1, 1), padding=(1, 1), bias=False)
(1): BatchNorm2d(256, eps=1e-05, momentum=0.1, affine=True, track_running_stats=True)
(2): ReLU(inplace=True)
)
(conv3): Conv2d(256, 1024, kernel_size=(1, 1), stride=(1, 1))
)
(2): Block2(
(preact): Sequential(
(0): BatchNorm2d(1024, eps=1e-05, momentum=0.1, affine=True, track_running_stats=True)
(1): ReLU(inplace=True)
)
(short): Identity()
(conv1): Sequential(
(0): Conv2d(1024, 256, kernel_size=(1, 1), stride=(1, 1), bias=False)
(1): BatchNorm2d(256, eps=1e-05, momentum=0.1, affine=True, track_running_stats=True)
(2): ReLU(inplace=True)
)
(conv2): Sequential(
(0): Conv2d(256, 256, kernel_size=(3, 3), stride=(1, 1), padding=(1, 1), bias=False)
(1): BatchNorm2d(256, eps=1e-05, momentum=0.1, affine=True, track_running_stats=True)
(2): ReLU(inplace=True)
)
(conv3): Conv2d(256, 1024, kernel_size=(1, 1), stride=(1, 1))
)
(3): Block2(
(preact): Sequential(
(0): BatchNorm2d(1024, eps=1e-05, momentum=0.1, affine=True, track_running_stats=True)
(1): ReLU(inplace=True)
)
(short): Identity()
(conv1): Sequential(
(0): Conv2d(1024, 256, kernel_size=(1, 1), stride=(1, 1), bias=False)
(1): BatchNorm2d(256, eps=1e-05, momentum=0.1, affine=True, track_running_stats=True)
(2): ReLU(inplace=True)
)
(conv2): Sequential(
(0): Conv2d(256, 256, kernel_size=(3, 3), stride=(1, 1), padding=(1, 1), bias=False)
(1): BatchNorm2d(256, eps=1e-05, momentum=0.1, affine=True, track_running_stats=True)
(2): ReLU(inplace=True)
)
(conv3): Conv2d(256, 1024, kernel_size=(1, 1), stride=(1, 1))
)
(4): Block2(
(preact): Sequential(
(0): BatchNorm2d(1024, eps=1e-05, momentum=0.1, affine=True, track_running_stats=True)
(1): ReLU(inplace=True)
)
(short): Identity()
(conv1): Sequential(
(0): Conv2d(1024, 256, kernel_size=(1, 1), stride=(1, 1), bias=False)
(1): BatchNorm2d(256, eps=1e-05, momentum=0.1, affine=True, track_running_stats=True)
(2): ReLU(inplace=True)
)
(conv2): Sequential(
(0): Conv2d(256, 256, kernel_size=(3, 3), stride=(1, 1), padding=(1, 1), bias=False)
(1): BatchNorm2d(256, eps=1e-05, momentum=0.1, affine=True, track_running_stats=True)
(2): ReLU(inplace=True)
)
(conv3): Conv2d(256, 1024, kernel_size=(1, 1), stride=(1, 1))
)
)
(se): SE(
(squeeze): AdaptiveAvgPool2d(output_size=(1, 1))
(compress): Conv2d(1024, 64, kernel_size=(1, 1), stride=(1, 1))
(excitation): Conv2d(64, 1024, kernel_size=(1, 1), stride=(1, 1))
)
(conv5): Stack2(
(conv): Sequential(
(0): Block2(
(preact): Sequential(
(0): BatchNorm2d(1024, eps=1e-05, momentum=0.1, affine=True, track_running_stats=True)
(1): ReLU(inplace=True)
)
(short): Conv2d(1024, 2048, kernel_size=(1, 1), stride=(1, 1), bias=False)
(conv1): Sequential(
(0): Conv2d(1024, 512, kernel_size=(1, 1), stride=(1, 1), bias=False)
(1): BatchNorm2d(512, eps=1e-05, momentum=0.1, affine=True, track_running_stats=True)
(2): ReLU(inplace=True)
)
(conv2): Sequential(
(0): Conv2d(512, 512, kernel_size=(3, 3), stride=(1, 1), padding=(1, 1), bias=False)
(1): BatchNorm2d(512, eps=1e-05, momentum=0.1, affine=True, track_running_stats=True)
(2): ReLU(inplace=True)
)
(conv3): Conv2d(512, 2048, kernel_size=(1, 1), stride=(1, 1))
)
(2): Block2(
(preact): Sequential(
(0): BatchNorm2d(2048, eps=1e-05, momentum=0.1, affine=True, track_running_stats=True)
(1): ReLU(inplace=True)
)
(short): Identity()
(conv1): Sequential(
(0): Conv2d(2048, 512, kernel_size=(1, 1), stride=(1, 1), bias=False)
(1): BatchNorm2d(512, eps=1e-05, momentum=0.1, affine=True, track_running_stats=True)
(2): ReLU(inplace=True)
)
(conv2): Sequential(
(0): Conv2d(512, 512, kernel_size=(3, 3), stride=(1, 1), padding=(1, 1), bias=False)
(1): BatchNorm2d(512, eps=1e-05, momentum=0.1, affine=True, track_running_stats=True)
(2): ReLU(inplace=True)
)
(conv3): Conv2d(512, 2048, kernel_size=(1, 1), stride=(1, 1))
)
)
(1): Block2(
(preact): Sequential(
(0): BatchNorm2d(2048, eps=1e-05, momentum=0.1, affine=True, track_running_stats=True)
(1): ReLU(inplace=True)
)
(short): Identity()
(conv1): Sequential(
(0): Conv2d(2048, 512, kernel_size=(1, 1), stride=(1, 1), bias=False)
(1): BatchNorm2d(512, eps=1e-05, momentum=0.1, affine=True, track_running_stats=True)
(2): ReLU(inplace=True)
)
(conv2): Sequential(
(0): Conv2d(512, 512, kernel_size=(3, 3), stride=(1, 1), padding=(1, 1), bias=False)
(1): BatchNorm2d(512, eps=1e-05, momentum=0.1, affine=True, track_running_stats=True)
(2): ReLU(inplace=True)
)
(conv3): Conv2d(512, 2048, kernel_size=(1, 1), stride=(1, 1))
)
)
(last): Sequential(
(bn): BatchNorm2d(2048, eps=1e-05, momentum=0.1, affine=True, track_running_stats=True)
(relu): ReLU(inplace=True)
(avg_pool): AdaptiveAvgPool2d(output_size=(1, 1))
(flatten): Flatten(start_dim=1, end_dim=-1)
(fc): Linear(in_features=2048, out_features=2, bias=True)
)
)
model2(torch.randn(32, 3, 224, 224).to(device)).shape
torch.Size([32, 2])
3、模型训练
1、构建训练集
def train(dataloader, model, loss_fn, optimizer):
size = len(dataloader.dataset)
batch_size = len(dataloader)
train_acc, train_loss = 0, 0
for X, y in dataloader:
X, y = X.to(device), y.to(device)
# 训练
pred = model(X)
loss = loss_fn(pred, y)
# 梯度下降法
optimizer.zero_grad()
loss.backward()
optimizer.step()
# 记录
train_loss += loss.item()
train_acc += (pred.argmax(1) == y).type(torch.float).sum().item()
train_acc /= size
train_loss /= batch_size
return train_acc, train_loss
2、构建测试集
def test(dataloader, model, loss_fn):
size = len(dataloader.dataset)
batch_size = len(dataloader)
test_acc, test_loss = 0, 0
with torch.no_grad():
for X, y in dataloader:
X, y = X.to(device), y.to(device)
pred = model(X)
loss = loss_fn(pred, y)
test_loss += loss.item()
test_acc += (pred.argmax(1) == y).type(torch.float).sum().item()
test_acc /= size
test_loss /= batch_size
return test_acc, test_loss
3、设置超参数
loss_fn = nn.CrossEntropyLoss() # 损失函数
learn_lr = 1e-4 # 超参数
optimizer1 = torch.optim.Adam(model1.parameters(), lr=learn_lr) # 优化器
optimizer2 = torch.optim.Adam(model2.parameters(), lr=learn_lr) # 优化器
4、模型训练
1、ResNet50V2
train_acc1 = []
train_loss1 = []
test_acc1 = []
test_loss1 = []
epoches = 10
for i in range(epoches):
model1.train()
epoch_train_acc, epoch_train_loss = train(train_dl, model1, loss_fn, optimizer1)
model1.eval()
epoch_test_acc, epoch_test_loss = test(test_dl, model1, loss_fn)
train_acc1.append(epoch_train_acc)
train_loss1.append(epoch_train_loss)
test_acc1.append(epoch_test_acc)
test_loss1.append(epoch_test_loss)
# 输出
template = ('Epoch:{:2d}, Train_acc:{:.1f}%, Train_loss:{:.3f}, Test_acc:{:.1f}%, Test_loss:{:.3f}')
print(template.format(i + 1, epoch_train_acc*100, epoch_train_loss, epoch_test_acc*100, epoch_test_loss))
print("Done")
Epoch: 1, Train_acc:65.7%, Train_loss:0.634, Test_acc:67.4%, Test_loss:0.631
Epoch: 2, Train_acc:71.6%, Train_loss:0.546, Test_acc:73.4%, Test_loss:0.552
Epoch: 3, Train_acc:76.2%, Train_loss:0.480, Test_acc:72.7%, Test_loss:0.589
Epoch: 4, Train_acc:81.0%, Train_loss:0.434, Test_acc:76.9%, Test_loss:0.499
Epoch: 5, Train_acc:84.7%, Train_loss:0.342, Test_acc:82.1%, Test_loss:0.550
Epoch: 6, Train_acc:87.6%, Train_loss:0.306, Test_acc:80.2%, Test_loss:0.430
Epoch: 7, Train_acc:89.7%, Train_loss:0.232, Test_acc:83.0%, Test_loss:0.425
Epoch: 8, Train_acc:92.0%, Train_loss:0.189, Test_acc:81.1%, Test_loss:0.489
Epoch: 9, Train_acc:93.2%, Train_loss:0.181, Test_acc:80.7%, Test_loss:0.494
Epoch:10, Train_acc:95.6%, Train_loss:0.124, Test_acc:83.4%, Test_loss:0.550
Done
2、SE + ResNet50V2
train_acc2 = []
train_loss2 = []
test_acc2 = []
test_loss2 = []
epoches = 10
for i in range(epoches):
model2.train()
epoch_train_acc, epoch_train_loss = train(train_dl, model2, loss_fn, optimizer2)
model2.eval()
epoch_test_acc, epoch_test_loss = test(test_dl, model2, loss_fn)
train_acc2.append(epoch_train_acc)
train_loss2.append(epoch_train_loss)
test_acc2.append(epoch_test_acc)
test_loss2.append(epoch_test_loss)
# 输出
template = ('Epoch:{:2d}, Train_acc:{:.1f}%, Train_loss:{:.3f}, Test_acc:{:.1f}%, Test_loss:{:.3f}')
print(template.format(i + 1, epoch_train_acc*100, epoch_train_loss, epoch_test_acc*100, epoch_test_loss))
print("Done")
Epoch: 1, Train_acc:65.1%, Train_loss:0.641, Test_acc:66.2%, Test_loss:0.677
Epoch: 2, Train_acc:71.3%, Train_loss:0.563, Test_acc:73.2%, Test_loss:0.558
Epoch: 3, Train_acc:76.2%, Train_loss:0.469, Test_acc:76.5%, Test_loss:0.532
Epoch: 4, Train_acc:80.7%, Train_loss:0.418, Test_acc:76.7%, Test_loss:0.634
Epoch: 5, Train_acc:84.1%, Train_loss:0.355, Test_acc:83.0%, Test_loss:0.444
Epoch: 6, Train_acc:87.7%, Train_loss:0.299, Test_acc:78.6%, Test_loss:0.614
Epoch: 7, Train_acc:92.6%, Train_loss:0.195, Test_acc:81.6%, Test_loss:0.578
Epoch: 8, Train_acc:92.9%, Train_loss:0.174, Test_acc:81.1%, Test_loss:0.610
Epoch: 9, Train_acc:93.5%, Train_loss:0.156, Test_acc:83.2%, Test_loss:0.468
Epoch:10, Train_acc:95.7%, Train_loss:0.121, Test_acc:84.1%, Test_loss:0.509
Done
5、结果可视化
import matplotlib.pyplot as plt
#隐藏警告
import warnings
warnings.filterwarnings("ignore") #忽略警告信息
epochs_range = range(epoches)
plt.figure(figsize=(12, 3))
plt.subplot(1, 2, 1)
plt.plot(epochs_range, train_acc1, label='Training Accuracy')
plt.plot(epochs_range, test_acc1, label='Test Accuracy')
plt.plot(epochs_range, train_acc2, label='Training_SE Accuracy')
plt.plot(epochs_range, test_acc2, label='Test_SE Accuracy')
plt.legend(loc='lower right')
plt.title('Training Accuracy')
plt.subplot(1, 2, 2)
plt.plot(epochs_range, train_loss1, label='Training Loss')
plt.plot(epochs_range, test_loss1, label='Test Loss')
plt.plot(epochs_range, train_loss2, label='Training_SE Loss')
plt.plot(epochs_range, test_loss2, label='Test_SE Loss')
plt.legend(loc='upper right')
plt.title('Training= Loss')
plt.show()

从准确率来看,加了注意力机制的稍好一点,想要更进一步探究,还需要跑多几次,多几次实验
